Suppr超能文献

2,3,7,8-四氯二苯并对二恶英(TCDD)对人颗粒细胞的跨代传递作用:微小 RNA 的作用。

Transgenerational Transmission of 2,3,7,8-Tetrachlorodibenzo-p-dioxin (TCDD) Effects in Human Granulosa Cells: The Role of MicroRNAs.

机构信息

Unité d'Endocrinologie-Gynécologie Pédiatrique, Service de Pédiatrie, Hôpital Arnaud-de-Villeneuve, CHU Montpellier, Université de Montpellier, 34295 Montpellier, France.

Centre de Référence Maladies Rares du Développement Génital, Constitutif Sud, Hôpital Lapeyronie, CHU Montpellier, Université de Montpellier, 34295 Montpellier, France.

出版信息

Int J Mol Sci. 2024 Jan 17;25(2):1144. doi: 10.3390/ijms25021144.

Abstract

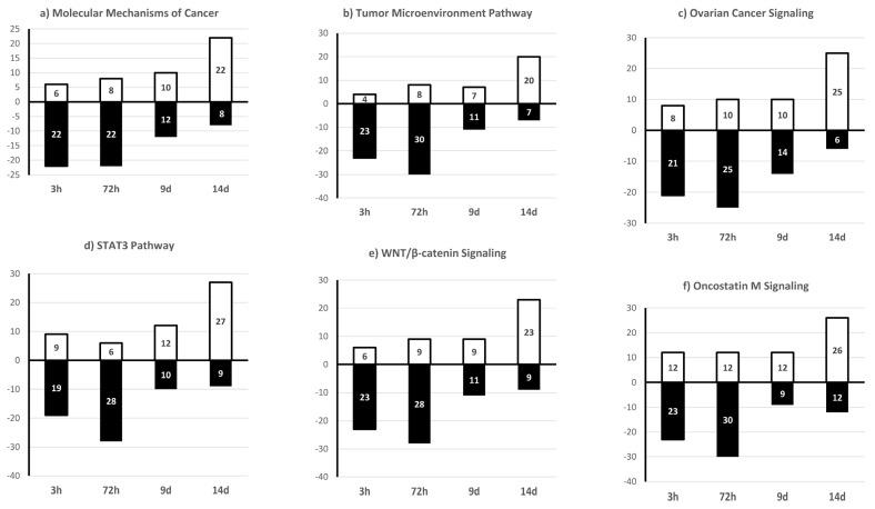
Endocrine-disrupting chemicals (EDCs) might contribute to the increase in female-specific cancers in Western countries. 2,3,7,8-tetrachlordibenzo-p-dioxin (TCDD) is considered the "prototypical toxicant" to study EDCs' effects on reproductive health. Epigenetic regulation by small noncoding RNAs (sncRNAs), such as microRNAs (miRNA), is crucial for controlling cancer development. The aim of this study was to analyze transcriptional activity and sncRNA expression changes in the KGN cell line after acute (3 h) and chronic (72 h) exposure to 10 nM TCDD in order to determine whether sncRNAs' deregulation may contribute to transmitting TCDD effects to the subsequent cell generations (day 9 and day 14 after chronic exposure). Using Affymetrix GeneChip miRNA 4.0 arrays, 109 sncRNAs were found to be differentially expressed (fold change < -2 or >2; -value < 0.05) between cells exposed or not (control) to TCDD for 3 h and 72 h and on day 9 and day 14 after chronic exposure. Ingenuity Pathway Analysis predicted that following the acute and chronic exposure of KGN cells, sncRNAs linked to cellular development, growth and proliferation were downregulated, and those linked to cancer promotion were upregulated on day 9 and day 14. These results indicated that TCDD-induced sncRNA dysregulation may have transgenerational cancer-promoting effects.

摘要

环境内分泌干扰物 (EDCs) 可能是导致西方国家女性特有的癌症发病率上升的原因之一。 2,3,7,8-四氯二苯并对二恶英 (TCDD) 被认为是研究 EDCs 对生殖健康影响的“典型毒物”。小非编码 RNA(sncRNA),如 microRNA(miRNA)的表观遗传调控,对于控制癌症的发展至关重要。本研究的目的是分析 KGN 细胞系在急性(3 小时)和慢性(72 小时)暴露于 10 nM TCDD 后转录活性和 sncRNA 表达变化,以确定 sncRNA 的失调是否可能导致 TCDD 效应传递给随后的细胞代(慢性暴露后第 9 天和第 14 天)。使用 Affymetrix GeneChip miRNA 4.0 阵列,发现 109 个 sncRNA 在暴露于 TCDD(急性暴露 3 小时和 72 小时,慢性暴露后第 9 天和第 14 天)或未暴露(对照)的细胞之间存在差异表达(倍数变化 < -2 或 >2;-值 < 0.05)。Ingenuity Pathway Analysis 预测,在 KGN 细胞急性和慢性暴露后,与细胞发育、生长和增殖相关的 sncRNA 下调,而与癌症促进相关的 sncRNA 上调在慢性暴露后第 9 天和第 14 天。这些结果表明,TCDD 诱导的 sncRNA 失调可能具有促癌的跨代效应。

https://cdn.ncbi.nlm.nih.gov/pmc/blobs/42d5/10816780/f5e63c6ec844/ijms-25-01144-g001.jpg

文献AI研究员

20分钟写一篇综述,助力文献阅读效率提升50倍。

立即体验

用中文搜PubMed

大模型驱动的PubMed中文搜索引擎

马上搜索

文档翻译

学术文献翻译模型,支持多种主流文档格式。

立即体验