Pu Bingyu, Lu Xiaoxue, Yu Peilin, Wang Chengjie, Li Juan, Yang Dianhui, Wang Jian
College of Acupuncture-Moxibustion and Tuina, Shandong University of Traditional Chinese Medicine, Jinan, Shandong, China.
The Affiliated Hospital of Shandong University of Traditional Chinese Medicine, Jinan, Shandong, China.
Medicine (Baltimore). 2024 Jan 26;103(4):e37029. doi: 10.1097/MD.0000000000037029.
This study aimed to systematically evaluate the clinical effectiveness and safety of acupoint herbal patching in the treatment of postherpetic neuralgia.
Eight databases including PubMed, Embase, Cochrane Library, Web of Science, China National Knowledge Infrastructure, Wan-Fang Database, China Biomedical Literature Service System, and Chongqing VIP Chinese Science were searched. The search time was set to October 2023. Two researchers independently screened the literature according to the inclusion and exclusion criteria; extracted the basic information, acupoints, Chinese herbal medicine, pain score, sleep score, depression score, and other information of the subjects, and independently assessed the risk of bias by 2 researchers. Meta-analysis of the included studies was performed using the StataMP 16 software.
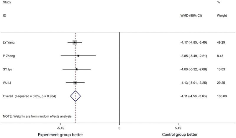
Fifteen studies with 1362 participants were included in this meta-analysis. Ashi is the acupoint frequency at the forefront, and Borneol is the Chinese herbal medicine frequency at the forefront. The acupoint herbal patching group showed significant improvements in visual analog score (SMD: -2.09; 95% Cl: -2.77, -1.42; P < .001), sleep score (SMD: -1.58; 95% Cl: -2.11, -1.05; P < .001), depression score (SMD: -1.61; 95% Cl: -2.22, -0.99; P < .001), Chinese medicine syndrome score (SMD: -2.32; 95% Cl: -2.84, -1.80; P = .06), dermatology life quality index (weighted mean differences: -4.11; 95% Cl: -4.58, -3.63; P = .98), and related laboratory indicators compared to the control group, and the total effective rate was significantly higher (relative risk: 1.20; 95% confidence interval: 1.15, 1.26; P = .99) than the control group. Two studies reported adverse reactions, but the 2 groups were not statistically significant.
Acupoint herbal patching intervention in postherpetic neuralgia is effective in improving the pain, sleep, anxiety, depression, quality of life of patients, and related laboratory indicators.
本研究旨在系统评价穴位敷贴治疗带状疱疹后神经痛的临床有效性和安全性。
检索了包括PubMed、Embase、Cochrane图书馆、Web of Science、中国知网、万方数据库、中国生物医学文献服务系统和重庆维普中文科技期刊数据库在内的8个数据库。检索时间设定为2023年10月。两名研究人员根据纳入和排除标准独立筛选文献;提取受试者的基本信息、穴位、中药、疼痛评分、睡眠评分、抑郁评分等信息,并由两名研究人员独立评估偏倚风险。使用StataMP 16软件对纳入研究进行Meta分析。
本Meta分析纳入了15项研究,共1362名参与者。阿是穴是使用频率最高的穴位,冰片是使用频率最高的中药。与对照组相比,穴位敷贴组在视觉模拟评分(标准化均数差:-2.09;95%可信区间:-2.77,-1.42;P<0.001)、睡眠评分(标准化均数差:-1.58;95%可信区间:-2.11,-1.05;P<0.001)、抑郁评分(标准化均数差:-1.61;95%可信区间:-2.22,-0.99;P<0.001)、中医证候评分(标准化均数差:-2.32;95%可信区间:-2.84,-1.80;P=0.06)、皮肤病生活质量指数(加权均数差:-4.11;95%可信区间:-4.58,-3.63;P=0.98)及相关实验室指标方面均有显著改善,总有效率显著高于对照组(相对危险度:1.20;95%可信区间:1.15,1.26;P=0.99)。两项研究报告了不良反应,但两组间差异无统计学意义。
穴位敷贴干预带状疱疹后神经痛可有效改善患者的疼痛、睡眠、焦虑、抑郁、生活质量及相关实验室指标。