• 文献检索
  • 文档翻译
  • 深度研究
  • 学术资讯
  • Suppr Zotero 插件Zotero 插件
  • 邀请有礼
  • 套餐&价格
  • 历史记录
应用&插件
Suppr Zotero 插件Zotero 插件浏览器插件Mac 客户端Windows 客户端微信小程序
定价
高级版会员购买积分包购买API积分包
服务
文献检索文档翻译深度研究API 文档MCP 服务
关于我们
关于 Suppr公司介绍联系我们用户协议隐私条款
关注我们

Suppr 超能文献

核心技术专利:CN118964589B侵权必究
粤ICP备2023148730 号-1Suppr @ 2026

文献检索

告别复杂PubMed语法,用中文像聊天一样搜索,搜遍4000万医学文献。AI智能推荐,让科研检索更轻松。

立即免费搜索

文件翻译

保留排版,准确专业,支持PDF/Word/PPT等文件格式,支持 12+语言互译。

免费翻译文档

深度研究

AI帮你快速写综述,25分钟生成高质量综述,智能提取关键信息,辅助科研写作。

立即免费体验

中国超级联赛各位置球员战术阵型对其身体和技术表现的影响。

The influence of tactical formation on physical and technical performance across playing positions in the Chinese super league.

机构信息

School of Athletic Performance, Shanghai University of Sport, Shanghai, 200438, China.

Facultad de Ciencias de la Actividad Física y del Deporte, Universidad Politécnica de Madrid, 28040, Madrid, Spain.

出版信息

Sci Rep. 2024 Jan 30;14(1):2538. doi: 10.1038/s41598-024-53113-0.

DOI:10.1038/s41598-024-53113-0
PMID:38291325
原文链接:https://pmc.ncbi.nlm.nih.gov/articles/PMC10828377/
Abstract

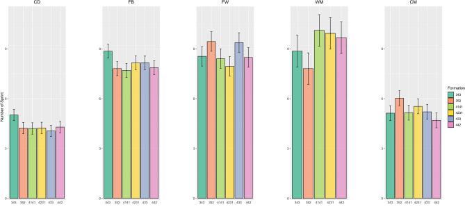
This study aimed to investigate the impact of tactical formations on the physical and technical performance of professional football players in the Chinese Super League (CSL). A sample of 800 games from the 2015-2021 CSL was analyzed, and players' physical (total distance covered, distance covered while ball in play, number of sprints, sprint distance, and high/middle/low-speed running) and technical (gain/loss of possession, ball retention percentage, challenges, challenge success percentage, passes, and pass success percentage) performance was assessed across six team formations: 3-5-2 (n = 137), 4-3-3 (n = 77), 4-2-3-1 (n = 391), 4-4-2 (n = 257), 3-4-3 (n = 41), and 4-1-4-1 (n = 107). Linear mixed models were used to assess variations in performance indicators across positions and formations. The results demonstrated that central defenders traveled significantly more total and low-speed running distances in the 3-5-2 formation than in the 4-2-3-1 formation (ES range: 0.33-0.34, p < 0.01). Fullbacks in the 3-5-2 formation demonstrated more high-speed running than did those in the 4-4-2 formation (ES = 0.27, p = 0.04). The central midfielders exhibited significantly more sprints and longer sprint distances in the 4-2-3-1 formation than in the 4-4-2 formation (ES range: 0.2-0.24, p < 0.01). Regarding technical performance, central defenders displayed significantly greater ball retention percentages, passes, and pass success rates in the 3-4-3 than in the 3-5-2 formations (ES range: 0.58-0.65, p < 0.01). Moreover, fullbacks and central midfielders executed markedly more passes with superior pass success rates in 4-back formations than in 3-5-2 formations (ES range: 0.2-0.53, p < 0.01). These findings can help coaches and academic staff understand the physical and technical requirements of various positions in various tactical formations, thus optimizing the training process.

摘要

本研究旨在探讨战术阵型对中超联赛(CSL)职业足球运动员身体和技术表现的影响。对 2015-2021 年 CSL 的 800 场比赛进行了分析,评估了球员的身体(总跑动距离、有球跑动距离、冲刺次数、冲刺距离、高/中/低速度跑动)和技术(控球/失球、控球率、抢断、抢断成功率、传球、传球成功率)表现,涉及到六种球队阵型:3-5-2(n = 137)、4-3-3(n = 77)、4-2-3-1(n = 391)、4-4-2(n = 257)、3-4-3(n = 41)和 4-1-4-1(n = 107)。线性混合模型用于评估不同位置和阵型下表现指标的变化。结果表明,中后卫在 3-5-2 阵型中的总跑动距离和低速跑动距离明显高于 4-2-3-1 阵型(ES 范围:0.33-0.34,p < 0.01)。3-5-2 阵型中的边后卫比 4-4-2 阵型中的边后卫有更多的高速跑动(ES = 0.27,p = 0.04)。中前卫在 4-2-3-1 阵型中的冲刺次数和冲刺距离明显大于 4-4-2 阵型(ES 范围:0.2-0.24,p < 0.01)。在技术表现方面,中后卫在 3-4-3 阵型中的控球率、传球和传球成功率明显高于 3-5-2 阵型(ES 范围:0.58-0.65,p < 0.01)。此外,边后卫和中前卫在 4 后卫阵型中的传球次数明显多于 3-5-2 阵型,传球成功率也更高(ES 范围:0.2-0.53,p < 0.01)。这些发现可以帮助教练和学术人员了解不同战术阵型中不同位置的身体和技术要求,从而优化训练过程。

https://cdn.ncbi.nlm.nih.gov/pmc/blobs/c658/10828377/34e819fd94e3/41598_2024_53113_Fig3_HTML.jpg
https://cdn.ncbi.nlm.nih.gov/pmc/blobs/c658/10828377/6d38b381985c/41598_2024_53113_Fig1_HTML.jpg
https://cdn.ncbi.nlm.nih.gov/pmc/blobs/c658/10828377/e8d55b845d6d/41598_2024_53113_Fig2_HTML.jpg
https://cdn.ncbi.nlm.nih.gov/pmc/blobs/c658/10828377/34e819fd94e3/41598_2024_53113_Fig3_HTML.jpg
https://cdn.ncbi.nlm.nih.gov/pmc/blobs/c658/10828377/6d38b381985c/41598_2024_53113_Fig1_HTML.jpg
https://cdn.ncbi.nlm.nih.gov/pmc/blobs/c658/10828377/e8d55b845d6d/41598_2024_53113_Fig2_HTML.jpg
https://cdn.ncbi.nlm.nih.gov/pmc/blobs/c658/10828377/34e819fd94e3/41598_2024_53113_Fig3_HTML.jpg

相似文献

1
The influence of tactical formation on physical and technical performance across playing positions in the Chinese super league.中国超级联赛各位置球员战术阵型对其身体和技术表现的影响。
Sci Rep. 2024 Jan 30;14(1):2538. doi: 10.1038/s41598-024-53113-0.
2
Non-linear trends using the generalized additive models in physical and technical performances of the Chinese Super League players.运用广义加性模型分析中国超级联赛球员身体和技术表现的非线性趋势。
PLoS One. 2024 Jul 26;19(7):e0307843. doi: 10.1371/journal.pone.0307843. eCollection 2024.
3
Impact of Possession and Player Position on Physical and Technical-Tactical Performance Indicators in the Chinese Football Super League.控球率和球员位置对中国足球超级联赛中体能及技战术表现指标的影响
Front Psychol. 2021 Sep 29;12:722200. doi: 10.3389/fpsyg.2021.722200. eCollection 2021.
4
Center backs work hardest when playing in a back three: The influence of tactical formation on physical and technical match performance in professional soccer.中后卫在踢三中卫体系时最辛苦:战术阵形对职业足球比赛中身体和技术表现的影响。
PLoS One. 2022 Mar 17;17(3):e0265501. doi: 10.1371/journal.pone.0265501. eCollection 2022.
5
The effect of high and low percentage ball possession on physical and technical profiles in English FA Premier League soccer matches.高、低控球率对英格兰足球超级联赛足球比赛中身体和技术特征的影响。
J Sports Sci. 2013;31(12):1261-70. doi: 10.1080/02640414.2013.786185. Epub 2013 May 22.
6
The effect of team formation on match running performance in UEFA Champions League matches: implications for position-specific conditioning.团队组建对欧冠比赛中比赛跑动表现的影响:对特定位置训练的启示。
Sci Med Footb. 2023 Nov;7(4):366-373. doi: 10.1080/24733938.2022.2123952. Epub 2022 Sep 15.
7
The effect of ball possession on physical and technical performance in UEFA Champions league matches.控球率对欧洲冠军联赛比赛中体能和技术表现的影响。
J Sports Sci. 2022 Dec;40(24):2750-2759. doi: 10.1080/02640414.2023.2191389. Epub 2023 Mar 16.
8
The Influence of Playing Formation on Physical Demands and Technical-Tactical Actions According to Playing Positions in an Elite Soccer Team.根据一支精英足球队中球员位置,比赛阵型对体能需求及技战术动作的影响
Int J Environ Res Public Health. 2021 Apr 14;18(8):4148. doi: 10.3390/ijerph18084148.
9
Analysis of Physical and Technical Performance of Substitute Players in Professional Soccer.职业足球比赛中替补球员的身体和技术性能分析。
Res Q Exerc Sport. 2021 Dec;92(4):599-606. doi: 10.1080/02701367.2020.1755414. Epub 2020 Jun 30.
10
Exploring the impact of professional soccer substitute players on physical and technical performance.探索职业足球替补球员对体能和技术表现的影响。
BMC Sports Sci Med Rehabil. 2023 Oct 28;15(1):143. doi: 10.1186/s13102-023-00752-x.

引用本文的文献

1
Establishing reference values for the match running performances of thirteen specific positional roles at UEFA Euro 2024.确定2024年欧洲杯13个特定位置角色球员比赛跑动表现的参考值。
Biol Sport. 2025 Mar 24;42(3):257-268. doi: 10.5114/biolsport.2025.148535. eCollection 2025 Jul.
2
Assessment of Aerobic Fitness and Repeated Sprint Ability in Elite Male Soccer: A Systematic Review of Test Protocols Used in Practice and Research.精英男性足球运动员有氧适能和反复冲刺能力的评估:对实践和研究中使用的测试方案的系统评价
Sports Med. 2025 Apr 12. doi: 10.1007/s40279-025-02188-4.
3
Effects of Intermittent Versus Continuous Small-Sided Games on Athletic Performance in Male Youth Soccer Players: A Pilot Study.

本文引用的文献

1
Evolution of Tactics in Professional Soccer: An Analysis of Team Formations from 2012 to 2021 in the Spanish LaLiga.职业足球战术的演变:对2012年至2021年西班牙足球甲级联赛球队阵型的分析
J Hum Kinet. 2023 Jul 15;87:207-216. doi: 10.5114/jhk/167468. eCollection 2023 Jul.
2
Match performance of football teams in different competition phases: Analysis on the data of eight consecutive seasons in the Chinese Super League.不同比赛阶段足球队的比赛表现:对中超联赛连续八个赛季数据的分析
Front Psychol. 2023 Jan 11;13:1069082. doi: 10.3389/fpsyg.2022.1069082. eCollection 2022.
3
Contextualised high-intensity running profiles of elite football players with reference to general and specialised tactical roles.
间歇性与连续性小型比赛对男性青少年足球运动员运动表现的影响:一项初步研究
Life (Basel). 2025 Feb 26;15(3):364. doi: 10.3390/life15030364.
参照一般和特定战术角色的精英足球运动员情境化高强度跑步概况
Biol Sport. 2023 Jan;40(1):291-301. doi: 10.5114/biolsport.2023.116003. Epub 2022 May 10.
4
The effect of team formation on match running performance in UEFA Champions League matches: implications for position-specific conditioning.团队组建对欧冠比赛中比赛跑动表现的影响:对特定位置训练的启示。
Sci Med Footb. 2023 Nov;7(4):366-373. doi: 10.1080/24733938.2022.2123952. Epub 2022 Sep 15.
5
Match Running Performance in UEFA Champions League: Is There a Worthwhile Association with Team Achievement?欧洲冠军联赛中的比赛跑动表现:与球队成绩是否存在有价值的关联?
Biology (Basel). 2022 Jun 6;11(6):867. doi: 10.3390/biology11060867.
6
Center backs work hardest when playing in a back three: The influence of tactical formation on physical and technical match performance in professional soccer.中后卫在踢三中卫体系时最辛苦:战术阵形对职业足球比赛中身体和技术表现的影响。
PLoS One. 2022 Mar 17;17(3):e0265501. doi: 10.1371/journal.pone.0265501. eCollection 2022.
7
Defending in 4-4-2 or 5-3-2 formation? small differences in footballers' collective tactical behaviours.在 4-4-2 或 5-3-2 阵形中进行防守?足球运动员集体战术行为的细微差异。
J Sports Sci. 2022 Feb;40(3):351-363. doi: 10.1080/02640414.2021.1993655. Epub 2021 Nov 2.
8
Match-related physical performance in professional soccer: Position or player specific?职业足球比赛中的相关体能表现:与位置相关还是与球员个体相关?
PLoS One. 2021 Sep 10;16(9):e0256695. doi: 10.1371/journal.pone.0256695. eCollection 2021.
9
Effect of formation, ball in play and ball possession on peak demands in elite soccer.足球比赛中球的形成、比赛进行状态和控球对精英球员峰值需求的影响。
Biol Sport. 2021 Jun;38(2):195-205. doi: 10.5114/biolsport.2020.98450. Epub 2020 Sep 1.
10
The Influence of Playing Formation on Physical Demands and Technical-Tactical Actions According to Playing Positions in an Elite Soccer Team.根据一支精英足球队中球员位置,比赛阵型对体能需求及技战术动作的影响
Int J Environ Res Public Health. 2021 Apr 14;18(8):4148. doi: 10.3390/ijerph18084148.