• 文献检索
  • 文档翻译
  • 深度研究
  • 学术资讯
  • Suppr Zotero 插件Zotero 插件
  • 邀请有礼
  • 套餐&价格
  • 历史记录
应用&插件
Suppr Zotero 插件Zotero 插件浏览器插件Mac 客户端Windows 客户端微信小程序
定价
高级版会员购买积分包购买API积分包
服务
文献检索文档翻译深度研究API 文档MCP 服务
关于我们
关于 Suppr公司介绍联系我们用户协议隐私条款
关注我们

Suppr 超能文献

核心技术专利:CN118964589B侵权必究
粤ICP备2023148730 号-1Suppr @ 2026

文献检索

告别复杂PubMed语法,用中文像聊天一样搜索,搜遍4000万医学文献。AI智能推荐,让科研检索更轻松。

立即免费搜索

文件翻译

保留排版,准确专业,支持PDF/Word/PPT等文件格式,支持 12+语言互译。

免费翻译文档

深度研究

AI帮你快速写综述,25分钟生成高质量综述,智能提取关键信息,辅助科研写作。

立即免费体验

有害外来植物物种的入侵机制

The Invasive Mechanisms of the Noxious Alien Plant Species .

作者信息

Kato-Noguchi Hisashi, Kurniadie Denny

机构信息

Department of Applied Biological Science, Faculty of Agriculture, Kagawa University, Miki, Kagawa 761-0795, Japan.

Department of Agronomy, Faculty of Agriculture, Universitas Padjadjaran, Jalan Raya Bandung Sumedang Km 21, Jatinangor, Sumedang 45363, Jawa Barat, Indonesia.

出版信息

Plants (Basel). 2024 Jan 25;13(3):356. doi: 10.3390/plants13030356.

DOI:10.3390/plants13030356
PMID:38337889
原文链接:https://pmc.ncbi.nlm.nih.gov/articles/PMC10857670/
Abstract

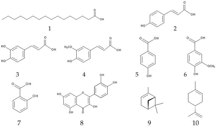
L. is native to tropical America and has widely naturized from tropical to warm temperate regions in Europe, Africa, Asia, Australia, and North and South America. The species has infested a wide range of habitats such as grasslands, forests, wetlands, streamlines, coastal areas, pasture, plantations, agricultural fields, roadsides, and railway sides and has become a noxious invasive weed species. forms thick monospecific stands, quickly expands, and threatens the indigenous plant species and crop production. It is also involved in pathogen transmission as a vector. The species was reported to have (1) a high growth ability, producing several generations in a year; (2) a high achene production rate; (3) different biotypes of cypselae, differently germinating given the time and condition; (4) a high adaptative ability to various environmental conditions; (5) an ability to alter the microbial community, including mutualism with arbuscular mycorrhizal fungi; and (6) defense functions against natural enemies and allelopathy. The species produces several potential allelochemicals such as palmitic acid, -coumaric acid, caffeic acid, ferulic acid, -hydroxybenzoic acid, vanillic acid, salycilic acid, quercetin, α-pinene, and limonene and compounds involved in the defense functions such as 1-phenylhepta-1,3,5-trine, 5-phenyl-2-(1-propynyl)-thiophene, 5-actoxy-2-phenylethinyl-thiophene, and icthyothereol acetate. These characteristics of may contribute to the naturalization and invasiveness of the species in the introduced ranges. This is the first review article focusing on the invasive mechanisms of the species.

摘要

L.原产于热带美洲,已在欧洲、非洲、亚洲、澳大利亚以及南北美洲从热带到暖温带地区广泛归化。该物种已侵入多种生境,如草原、森林、湿地、溪流、沿海地区、牧场、种植园、农田、路边和铁路沿线,成为一种有害的入侵杂草物种。它形成茂密的单种优势群落,迅速扩张,威胁本土植物物种和作物生产。它还作为媒介参与病原体传播。据报道,该物种具有以下特点:(1)生长能力强,一年能繁殖几代;(2)瘦果产量高;(3)不同类型的瘦果,在不同时间和条件下萌发情况不同;(4)对各种环境条件具有高度适应能力;(5)有能力改变微生物群落,包括与丛枝菌根真菌的共生关系;(6)对天敌的防御功能和化感作用。该物种产生多种潜在的化感物质,如棕榈酸、对香豆酸、咖啡酸、阿魏酸、对羟基苯甲酸、香草酸、水杨酸、槲皮素、α-蒎烯和柠檬烯,以及参与防御功能的化合物,如1-苯基-1,3,5-庚三烯、5-苯基-2-(1-丙炔基)-噻吩、5-乙酰氧基-2-苯乙炔基-噻吩和乙酸异硫氰酸酯。这些特性可能有助于该物种在引入地区的归化和入侵。这是第一篇聚焦该物种入侵机制的综述文章。

https://cdn.ncbi.nlm.nih.gov/pmc/blobs/c9c0/10857670/fea5c8bbcea3/plants-13-00356-g005.jpg
https://cdn.ncbi.nlm.nih.gov/pmc/blobs/c9c0/10857670/dfcada78f481/plants-13-00356-g001.jpg
https://cdn.ncbi.nlm.nih.gov/pmc/blobs/c9c0/10857670/46577e3ec336/plants-13-00356-g002.jpg
https://cdn.ncbi.nlm.nih.gov/pmc/blobs/c9c0/10857670/213f73507e29/plants-13-00356-g003.jpg
https://cdn.ncbi.nlm.nih.gov/pmc/blobs/c9c0/10857670/e5155b484a10/plants-13-00356-g004.jpg
https://cdn.ncbi.nlm.nih.gov/pmc/blobs/c9c0/10857670/fea5c8bbcea3/plants-13-00356-g005.jpg
https://cdn.ncbi.nlm.nih.gov/pmc/blobs/c9c0/10857670/dfcada78f481/plants-13-00356-g001.jpg
https://cdn.ncbi.nlm.nih.gov/pmc/blobs/c9c0/10857670/46577e3ec336/plants-13-00356-g002.jpg
https://cdn.ncbi.nlm.nih.gov/pmc/blobs/c9c0/10857670/213f73507e29/plants-13-00356-g003.jpg
https://cdn.ncbi.nlm.nih.gov/pmc/blobs/c9c0/10857670/e5155b484a10/plants-13-00356-g004.jpg
https://cdn.ncbi.nlm.nih.gov/pmc/blobs/c9c0/10857670/fea5c8bbcea3/plants-13-00356-g005.jpg

相似文献

1
The Invasive Mechanisms of the Noxious Alien Plant Species .有害外来植物物种的入侵机制
Plants (Basel). 2024 Jan 25;13(3):356. doi: 10.3390/plants13030356.
2
Evolution of the Secondary Metabolites in Invasive Plant Species for the Defense and Allelopathic Functions.入侵植物物种中次生代谢产物在防御和化感作用方面的演化
Plants (Basel). 2023 Jan 23;12(3):521. doi: 10.3390/plants12030521.
3
Invasive Mechanisms of One of the World's Worst Alien Plant Species and Its Management.世界上最具危害性的外来植物物种之一的入侵机制及其治理
Plants (Basel). 2023 May 11;12(10):1960. doi: 10.3390/plants12101960.
4
Defense Molecules of the Invasive Plant Species .入侵植物物种的防御分子。
Molecules. 2024 Oct 1;29(19):4673. doi: 10.3390/molecules29194673.
5
The Impact and Invasive Mechanisms of var. , One of the World's Worst Alien Species.世界上最具危害性的外来物种之一——[物种名称]变种的影响及入侵机制 。(注:原文中“var.”后缺少具体物种名称,翻译时根据情况补充了[物种名称])
Plants (Basel). 2023 Aug 26;12(17):3066. doi: 10.3390/plants12173066.
6
Unveiling allelopathic dynamics and impacts of invasive Erigeron bonariensis and Bidens pilosa on plant communities and soil parameters.揭示入侵性飞蓬和鬼针草对植物群落和土壤参数的化感动态和影响。
Sci Rep. 2024 May 3;14(1):10159. doi: 10.1038/s41598-024-57552-7.
7
Allelopathy of Knotweeds as Invasive Plants.蓼科杂草作为入侵植物的化感作用。
Plants (Basel). 2021 Dec 21;11(1):3. doi: 10.3390/plants11010003.
8
Allelopathy and Allelochemicals of L. and L. for Their Naturalization.柳叶菜科植物的化感作用及化感物质对其归化的影响 。 (你提供的原文中两个“L.”指代不明,我按照柳叶菜科植物进行了大概翻译,你可根据实际情况修改。)
Plants (Basel). 2022 Nov 25;11(23):3235. doi: 10.3390/plants11233235.
9
Allelopathy and Allelochemicals of as an Invasive Plant Species.作为一种入侵植物物种的化感作用及化感物质
Plants (Basel). 2022 Sep 28;11(19):2551. doi: 10.3390/plants11192551.
10
Achene heteromorphism in (Asteraceae): differences in germination and possible adaptive significance.菊科植物的瘦果异形性:萌发差异及可能的适应性意义
AoB Plants. 2019 Jun 3;11(3):plz026. doi: 10.1093/aobpla/plz026. eCollection 2019 Jun.

引用本文的文献

1
Comparative plastome analysis reveals evolutionary dynamics and codon usage patterns in Bidens (Asteraceae).比较质体基因组分析揭示了鬼针草属(菊科)的进化动态和密码子使用模式。
Funct Integr Genomics. 2025 Aug 27;25(1):175. doi: 10.1007/s10142-025-01699-7.
2
The Invasive Mechanism and Impact of One of the World's 100 Worst Invasive Alien Species.世界100种最严重入侵外来物种之一的入侵机制及影响
Plants (Basel). 2025 Jul 14;14(14):2175. doi: 10.3390/plants14142175.
3
Adaptation analysis of two Asteraceae invasive plants in Lhasa, Tibet.

本文引用的文献

1
Invasive Mechanisms of One of the World's Worst Alien Plant Species and Its Management.世界上最具危害性的外来植物物种之一的入侵机制及其治理
Plants (Basel). 2023 May 11;12(10):1960. doi: 10.3390/plants12101960.
2
Analysis of the complete plastomes of L. 1753 (Asteraceae, Coreopsideae) from Beijing, China reveals high genetic diversity and possible misidentifications.对来自中国北京的1753种菊科金鸡菊亚科植物的完整质体基因组进行分析,结果显示其具有高度的遗传多样性以及可能存在的错误鉴定情况。
Mitochondrial DNA B Resour. 2023 May 31;8(5):612-618. doi: 10.1080/23802359.2023.2189979. eCollection 2023.
3
Defensive Molecules Momilactones A and B: Function, Biosynthesis, Induction and Occurrence.
西藏拉萨两种菊科入侵植物的适应性分析
PeerJ. 2025 Jul 7;13:e19667. doi: 10.7717/peerj.19667. eCollection 2025.
4
Projecting global shifts in the invasive potential of L. under climate change using species distribution models.利用物种分布模型预测气候变化下丁香蓼入侵潜力的全球变化。
Front Plant Sci. 2025 May 15;16:1580278. doi: 10.3389/fpls.2025.1580278. eCollection 2025.
5
Defensive Compounds Involved in the Invasiveness of .参与……侵袭性的防御性化合物 。 (原文中“of”后面内容缺失,所以译文不完整)
Molecules. 2025 Apr 27;30(9):1946. doi: 10.3390/molecules30091946.
6
Pesticidal Activity of Citrus Fruits for the Development of Sustainable Fruit-Processing Waste Management and Agricultural Production.柑橘类水果的杀虫活性对可持续水果加工废弃物管理和农业生产发展的作用
Plants (Basel). 2025 Mar 1;14(5):754. doi: 10.3390/plants14050754.
7
Defensive Mechanisms of Likely Enhance Its Invasiveness as One of the World's Worst Alien Species.作为世界上最具危害性的外来物种之一,其防御机制可能会增强其入侵性。
Plants (Basel). 2025 Jan 18;14(2):269. doi: 10.3390/plants14020269.
8
Compounds Involved in the Invasive Characteristics of .与……侵袭特性相关的化合物 (原文不完整,此为按现有内容翻译)
Molecules. 2025 Jan 19;30(2):411. doi: 10.3390/molecules30020411.
9
Phytotoxicity Study of (Amino)imidazo[1,2-]pyridine Derivatives Toward the Control of , , and Weeds.(氨基)咪唑并[1,2 - ]吡啶衍生物对防治苋属植物、藜属植物和稗草的植物毒性研究
J Agric Food Chem. 2025 Jan 8;73(1):298-317. doi: 10.1021/acs.jafc.4c09477. Epub 2024 Dec 28.
10
Defense Molecules of the Invasive Plant Species .入侵植物物种的防御分子。
Molecules. 2024 Oct 1;29(19):4673. doi: 10.3390/molecules29194673.
防御分子 Momilactones A 和 B:功能、生物合成、诱导和存在。
Toxins (Basel). 2023 Mar 25;15(4):241. doi: 10.3390/toxins15040241.
4
Evolution of the Secondary Metabolites in Invasive Plant Species for the Defense and Allelopathic Functions.入侵植物物种中次生代谢产物在防御和化感作用方面的演化
Plants (Basel). 2023 Jan 23;12(3):521. doi: 10.3390/plants12030521.
5
Nitrate Nitrogen and pH Correlate with Changes in Rhizosphere Microbial Community Assemblages during Invasion of Ambrosia artemisiifolia and Bidens pilosa.硝酸盐氮和 pH 值与豚草和鬼针草入侵过程中根际微生物群落组成的变化相关。
Microbiol Spectr. 2023 Feb 14;11(1):e0364922. doi: 10.1128/spectrum.03649-22. Epub 2022 Dec 13.
6
Allelopathy and Allelochemicals of L. and L. for Their Naturalization.柳叶菜科植物的化感作用及化感物质对其归化的影响 。 (你提供的原文中两个“L.”指代不明,我按照柳叶菜科植物进行了大概翻译,你可根据实际情况修改。)
Plants (Basel). 2022 Nov 25;11(23):3235. doi: 10.3390/plants11233235.
7
Effects of AMF on plant nutrition and growth depend on substrate gravel content and patchiness in the karst species L.丛枝菌根真菌(AMF)对植物营养和生长的影响取决于喀斯特物种鸡眼草(L.)的基质砾石含量和斑块度。
Front Plant Sci. 2022 Sep 29;13:968719. doi: 10.3389/fpls.2022.968719. eCollection 2022.
8
Allelopathy and Allelochemicals of as an Invasive Plant Species.作为一种入侵植物物种的化感作用及化感物质
Plants (Basel). 2022 Sep 28;11(19):2551. doi: 10.3390/plants11192551.
9
Effect of temperature and water potential on the germination of seeds from three different populations of Bidens pilosa as a potential Cd hyperaccumulator.温度和水势对三种不同种群的作为潜在 Cd 超富集植物的鬼针草种子萌发的影响。
BMC Plant Biol. 2022 Oct 12;22(1):487. doi: 10.1186/s12870-022-03876-3.
10
The Critical Role of Arbuscular Mycorrhizal Fungi to Improve Drought Tolerance and Nitrogen Use Efficiency in Crops.丛枝菌根真菌在提高作物耐旱性和氮素利用效率方面的关键作用
Front Plant Sci. 2022 Jul 6;13:919166. doi: 10.3389/fpls.2022.919166. eCollection 2022.