Suppr超能文献

臭氧油的理化性质研究及其抗菌功效:以市售臭氧橄榄油和葵花籽油精炼油为例。

Physico-Chemical Investigation and Antimicrobial Efficacy of Ozonated Oils: The Case Study of Commercial Ozonated Olive and Sunflower Seed Refined Oils.

机构信息

Department of Biomedical Sciences, Section of Microbiology and Virology, University of Cagliari, 09042 Cagliari, Italy.

Department of Chemical and Geological Sciences, University of Cagliari, 09042 Cagliari, Italy.

出版信息

Molecules. 2024 Feb 1;29(3):679. doi: 10.3390/molecules29030679.

Abstract

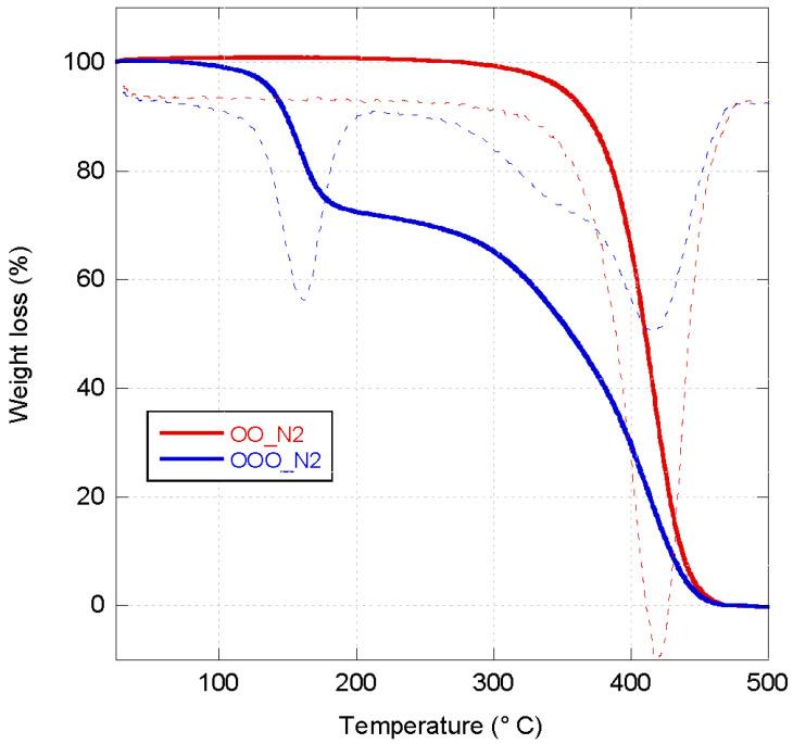
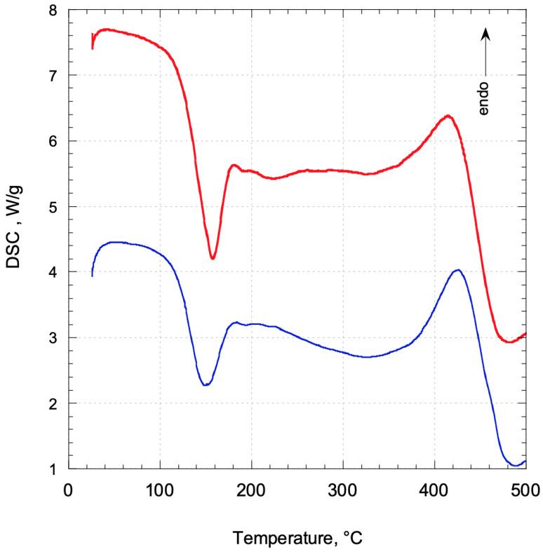
Drug resistance represents one of the great plagues of our time worldwide. This largely limits the treatment of common infections and requires the development of new antibiotics or other alternative approaches. Noteworthy, the indiscriminate use of antibiotics is mostly responsible for the selection of mutations that confer drug resistance to microbes. In this regard, recently, ozone has been raising interest for its unique biological properties when dissolved in natural oils. Ozonated oils have been reported to act in a non-specific way on microorganisms hindering the acquisition of advantageous mutations that result in resistance. Here, we focused on the antimicrobial effect of two commercial olive (OOO) and sunflower seeds (OSO) oils. Nuclear magnetic resonance spectroscopy and thermal analysis showed the change in the chemical composition of the oils after ozonation treatment. Different ozonated oil concentrations were then used to evaluate their antimicrobial profile against , , , , , and by agar diffusion and broth dilution methods. Cytotoxicity was also evaluated in keratinocytes and epithelial cells. Overall, our results revealed that both OOO and OSO showed a potent microbicidal effect, especially against (IC50 = OOO: 0.3 mg/mL and OSO: 0.2 mg/mL) and (IC50 = OOO: 0.4 mg/mL and OSO: 2.8 mg/mL) albeit exerting a certain effect also against and Moreover, both OOO and OSO do not yield any relevant cytotoxic effect at the active concentrations in both cell lines. This indicates that the ozonated oils studied are not toxic for mammalian cells despite exerting a potent antimicrobial effect on specific microorganisms. Therefore, OOO and OSO may be considered to integrate standard therapies in the treatment of common infections, likely overcoming drug resistance issues.

摘要

耐药性是目前全球范围内的一大难题。这在很大程度上限制了常见感染的治疗,需要开发新的抗生素或其他替代方法。值得注意的是,抗生素的滥用是导致微生物产生耐药性突变的主要原因。在这方面,最近臭氧因其在天然油中溶解时的独特生物学特性而引起了人们的兴趣。据报道,臭氧处理过的油会以非特异性的方式作用于微生物,阻止其获得导致耐药性的有利突变。在这里,我们专注于两种商业橄榄油(OOO)和葵花籽油(OSO)的抗菌效果。核磁共振波谱和热分析表明,臭氧处理后油的化学成分发生了变化。然后使用不同浓度的臭氧油来评估它们对 、 、 、 、 和 的抗菌谱,采用琼脂扩散和肉汤稀释法。还评估了臭氧油在角质细胞和上皮细胞中的细胞毒性。总的来说,我们的结果表明,OOO 和 OSO 都表现出很强的杀菌效果,尤其是对 (IC50=OOO:0.3mg/mL 和 OSO:0.2mg/mL)和 (IC50=OOO:0.4mg/mL 和 OSO:2.8mg/mL),尽管对 和 也有一定的作用。此外,在两种细胞系中,OOO 和 OSO 在有效浓度下均无明显的细胞毒性。这表明,尽管研究中的臭氧油对特定微生物具有很强的抗菌作用,但对哺乳动物细胞没有任何相关的毒性。因此,OOO 和 OSO 可以考虑整合到常见感染的标准治疗中,可能会克服耐药性问题。

https://cdn.ncbi.nlm.nih.gov/pmc/blobs/6e8d/10856119/a66aadb5a0a1/molecules-29-00679-g001.jpg

文献AI研究员

20分钟写一篇综述,助力文献阅读效率提升50倍。

立即体验

用中文搜PubMed

大模型驱动的PubMed中文搜索引擎

马上搜索

文档翻译

学术文献翻译模型,支持多种主流文档格式。

立即体验