• 文献检索
  • 文档翻译
  • 深度研究
  • 学术资讯
  • Suppr Zotero 插件Zotero 插件
  • 邀请有礼
  • 套餐&价格
  • 历史记录
应用&插件
Suppr Zotero 插件Zotero 插件浏览器插件Mac 客户端Windows 客户端微信小程序
定价
高级版会员购买积分包购买API积分包
服务
文献检索文档翻译深度研究API 文档MCP 服务
关于我们
关于 Suppr公司介绍联系我们用户协议隐私条款
关注我们

Suppr 超能文献

核心技术专利:CN118964589B侵权必究
粤ICP备2023148730 号-1Suppr @ 2026

文献检索

告别复杂PubMed语法,用中文像聊天一样搜索,搜遍4000万医学文献。AI智能推荐,让科研检索更轻松。

立即免费搜索

文件翻译

保留排版,准确专业,支持PDF/Word/PPT等文件格式,支持 12+语言互译。

免费翻译文档

深度研究

AI帮你快速写综述,25分钟生成高质量综述,智能提取关键信息,辅助科研写作。

立即免费体验

用于量化小鼠自我梳理行为的机器学习方法比较。

A comparison of machine learning methods for quantifying self-grooming behavior in mice.

作者信息

Correia Kassi, Walker Raegan, Pittenger Christopher, Fields Christopher

机构信息

Department of Psychiatry, Yale School of Medicine, Yale University, New Haven, CT, United States.

Department of Psychiatry, Yale School of Medicine, New Haven, CT, United States.

出版信息

Front Behav Neurosci. 2024 Jan 29;18:1340357. doi: 10.3389/fnbeh.2024.1340357. eCollection 2024.

DOI:10.3389/fnbeh.2024.1340357
PMID:38347909
原文链接:https://pmc.ncbi.nlm.nih.gov/articles/PMC10859524/
Abstract

BACKGROUND

As machine learning technology continues to advance and the need for standardized behavioral quantification grows, commercial and open-source automated behavioral analysis tools are gaining prominence in behavioral neuroscience. We present a comparative analysis of three behavioral analysis pipelines-DeepLabCut (DLC) and Simple Behavioral Analysis (SimBA), HomeCageScan (HCS), and manual scoring-in measuring repetitive self-grooming among mice.

METHODS

Grooming behavior of mice was recorded at baseline and after water spray or restraint treatments. Videos were processed and analyzed in parallel using 3 methods (DLC/SimBA, HCS, and manual scoring), quantifying both total number of grooming bouts and total grooming duration.

RESULTS

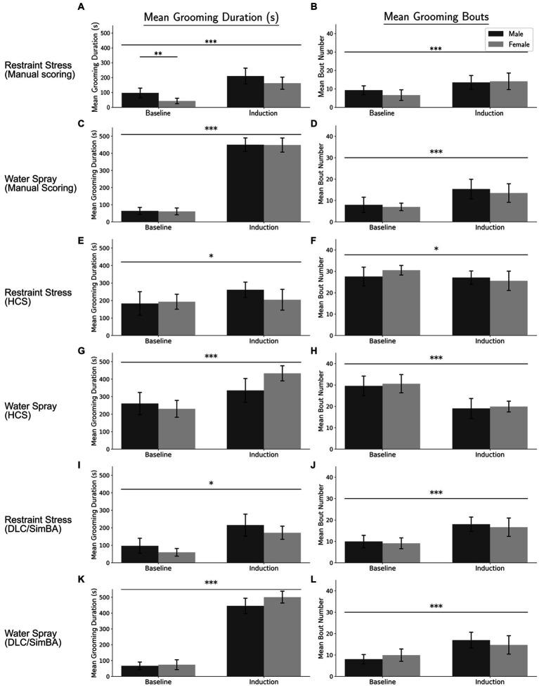
Both treatment conditions (water spray and restraint) resulted in significant elevation in both total grooming duration and number of grooming bouts. HCS measures of grooming duration were significantly elevated relative to those derived from manual scoring: specifically, HCS tended to overestimate duration at low levels of grooming. DLC/SimBA duration measurements were not significantly different than those derived from manual scoring. However, both SimBA and HCS measures of the number of grooming bouts were significantly different than those derived from manual scoring; the magnitude and direction of the difference depended on treatment condition.

CONCLUSION

DLC/SimBA provides a high-throughput pipeline for quantifying grooming duration that correlates well with manual scoring. However, grooming bout data derived from both DLC/SimBA and HCS did not reliably estimate measures obtained via manual scoring.

摘要

背景

随着机器学习技术不断进步,对标准化行为量化的需求日益增长,商业和开源的自动化行为分析工具在行为神经科学领域正变得越来越重要。我们对三种行为分析流程——深度实验室切割(DLC)和简单行为分析(SimBA)、笼内扫描(HCS)以及人工评分——在测量小鼠重复性自我梳理行为方面进行了比较分析。

方法

在基线状态以及喷水或束缚处理后记录小鼠的梳理行为。使用三种方法(DLC/SimBA、HCS和人工评分)并行处理和分析视频,对梳理总次数和总梳理时长进行量化。

结果

两种处理条件(喷水和束缚)均导致总梳理时长和梳理总次数显著增加。与人工评分得出的结果相比,HCS对梳理时长的测量值显著升高:具体而言,在低梳理水平时,HCS往往会高估时长。DLC/SimBA的时长测量值与人工评分得出的结果无显著差异。然而,SimBA和HCS对梳理次数的测量值均与人工评分得出的结果存在显著差异;差异的大小和方向取决于处理条件。

结论

DLC/SimBA提供了一个用于量化梳理时长的高通量流程,与人工评分的相关性良好。然而,从DLC/SimBA和HCS得出的梳理次数数据无法可靠地估计通过人工评分获得的测量值。

https://cdn.ncbi.nlm.nih.gov/pmc/blobs/e80a/10859524/94abe554f6f3/fnbeh-18-1340357-g007.jpg
https://cdn.ncbi.nlm.nih.gov/pmc/blobs/e80a/10859524/761f96371629/fnbeh-18-1340357-g001.jpg
https://cdn.ncbi.nlm.nih.gov/pmc/blobs/e80a/10859524/1a04ac29ff6a/fnbeh-18-1340357-g002.jpg
https://cdn.ncbi.nlm.nih.gov/pmc/blobs/e80a/10859524/ffc38a2a1a6c/fnbeh-18-1340357-g003.jpg
https://cdn.ncbi.nlm.nih.gov/pmc/blobs/e80a/10859524/d191d9429a09/fnbeh-18-1340357-g004.jpg
https://cdn.ncbi.nlm.nih.gov/pmc/blobs/e80a/10859524/501339fbceaf/fnbeh-18-1340357-g005.jpg
https://cdn.ncbi.nlm.nih.gov/pmc/blobs/e80a/10859524/ac2d6225f6ed/fnbeh-18-1340357-g006.jpg
https://cdn.ncbi.nlm.nih.gov/pmc/blobs/e80a/10859524/94abe554f6f3/fnbeh-18-1340357-g007.jpg
https://cdn.ncbi.nlm.nih.gov/pmc/blobs/e80a/10859524/761f96371629/fnbeh-18-1340357-g001.jpg
https://cdn.ncbi.nlm.nih.gov/pmc/blobs/e80a/10859524/1a04ac29ff6a/fnbeh-18-1340357-g002.jpg
https://cdn.ncbi.nlm.nih.gov/pmc/blobs/e80a/10859524/ffc38a2a1a6c/fnbeh-18-1340357-g003.jpg
https://cdn.ncbi.nlm.nih.gov/pmc/blobs/e80a/10859524/d191d9429a09/fnbeh-18-1340357-g004.jpg
https://cdn.ncbi.nlm.nih.gov/pmc/blobs/e80a/10859524/501339fbceaf/fnbeh-18-1340357-g005.jpg
https://cdn.ncbi.nlm.nih.gov/pmc/blobs/e80a/10859524/ac2d6225f6ed/fnbeh-18-1340357-g006.jpg
https://cdn.ncbi.nlm.nih.gov/pmc/blobs/e80a/10859524/94abe554f6f3/fnbeh-18-1340357-g007.jpg

相似文献

1
A comparison of machine learning methods for quantifying self-grooming behavior in mice.用于量化小鼠自我梳理行为的机器学习方法比较。
Front Behav Neurosci. 2024 Jan 29;18:1340357. doi: 10.3389/fnbeh.2024.1340357. eCollection 2024.
2
Automated maternal behavior during early life in rodents (AMBER) pipeline.自动化啮齿动物早期母婴行为 (AMBER) 分析流程。
Sci Rep. 2023 Oct 25;13(1):18277. doi: 10.1038/s41598-023-45495-4.
3
Automated classification of self-grooming in mice using open-source software.使用开源软件对小鼠的自我梳理行为进行自动分类。
J Neurosci Methods. 2017 Sep 1;289:48-56. doi: 10.1016/j.jneumeth.2017.05.026. Epub 2017 Jun 23.
4
Alterations in grooming activity and syntax in heterozygous SERT and BDNF knockout mice: the utility of behavior-recognition tools to characterize mutant mouse phenotypes.SERT 和 BDNF 杂合型敲除小鼠的修饰活动和句法改变:行为识别工具在表征突变体小鼠表型中的应用。
Brain Res Bull. 2012 Dec 1;89(5-6):168-76. doi: 10.1016/j.brainresbull.2012.08.004. Epub 2012 Aug 19.
5
Effects of ketamine on rat social behavior as analyzed by DeepLabCut and SimBA deep learning algorithms.通过深度实验室切割(DeepLabCut)和SimBA深度学习算法分析氯胺酮对大鼠社交行为的影响。
Front Pharmacol. 2024 Jan 10;14:1329424. doi: 10.3389/fphar.2023.1329424. eCollection 2023.
6
Comprehensive ethological analysis of fear expression in rats using DeepLabCut and SimBA machine learning model.使用DeepLabCut和SimBA机器学习模型对大鼠恐惧表达进行全面的行为学分析。
Front Behav Neurosci. 2024 Aug 1;18:1440601. doi: 10.3389/fnbeh.2024.1440601. eCollection 2024.
7
Simple Behavioral Analysis (SimBA) as a platform for explainable machine learning in behavioral neuroscience.简单行为分析(SimBA)作为行为神经科学中可解释机器学习的平台。
Nat Neurosci. 2024 Jul;27(7):1411-1424. doi: 10.1038/s41593-024-01649-9. Epub 2024 May 22.
8
Characterizing grooming behavior patterns and the influence of brush access on the behavior of group-housed dairy calves.描述梳理行为模式以及刷子获取对群体饲养奶牛犊行为的影响。
J Dairy Sci. 2019 Apr;102(4):3421-3430. doi: 10.3168/jds.2018-15460. Epub 2019 Feb 7.
9
Towards high-throughput phenotyping of complex patterned behaviors in rodents: focus on mouse self-grooming and its sequencing.面向高通量表型分析啮齿类动物复杂模式化行为:以小鼠自我梳理及其测序为例。
Behav Brain Res. 2011 Dec 1;225(2):426-31. doi: 10.1016/j.bbr.2011.07.052. Epub 2011 Aug 5.
10
Erratum: Drosophila Passive Avoidance Behavior as a New Paradigm to Study Associative Aversive Learning.勘误:果蝇被动回避行为作为研究联想性厌恶学习的新范式。
J Vis Exp. 2022 Feb 23(180). doi: 10.3791/6493.

引用本文的文献

1
Development of a modified weight-drop apparatus for closed-skull, repetitive mild traumatic brain injuries in a mouse model.一种用于小鼠模型中闭合性颅骨重复性轻度创伤性脑损伤的改良式重量下落装置的研发。
bioRxiv. 2025 Jul 31:2025.07.25.666403. doi: 10.1101/2025.07.25.666403.
2
Comprehensive ethological analysis of fear expression in rats using DeepLabCut and SimBA machine learning model.使用DeepLabCut和SimBA机器学习模型对大鼠恐惧表达进行全面的行为学分析。
Front Behav Neurosci. 2024 Aug 1;18:1440601. doi: 10.3389/fnbeh.2024.1440601. eCollection 2024.

本文引用的文献

1
Identifying behavioral structure from deep variational embeddings of animal motion.从动物运动的深度变分嵌入中识别行为结构。
Commun Biol. 2022 Nov 18;5(1):1267. doi: 10.1038/s42003-022-04080-7.
2
B-SOiD, an open-source unsupervised algorithm for identification and fast prediction of behaviors.B-SOiD,一种用于行为识别和快速预测的开源无监督算法。
Nat Commun. 2021 Aug 31;12(1):5188. doi: 10.1038/s41467-021-25420-x.
3
Automated behavioral analysis.自动化行为分析
Nat Methods. 2021 Jan;18(1):29. doi: 10.1038/s41592-020-01030-1.
4
Computational Analysis of Multidimensional Behavioral Alterations After Chronic Social Defeat Stress.慢性社交挫败应激后多维行为改变的计算分析。
Biol Psychiatry. 2021 May 1;89(9):920-928. doi: 10.1016/j.biopsych.2020.10.010. Epub 2020 Oct 24.
5
Comparison of a Deep Learning-Based Pose Estimation System to Marker-Based and Kinect Systems in Exergaming for Balance Training.基于深度学习的姿势估计系统与基于标记和Kinect系统在平衡训练体感游戏中的比较。
Sensors (Basel). 2020 Dec 4;20(23):6940. doi: 10.3390/s20236940.
6
Deep learning-assisted comparative analysis of animal trajectories with DeepHL.深度学习辅助的动物轨迹比较分析与 DeepHL
Nat Commun. 2020 Oct 20;11(1):5316. doi: 10.1038/s41467-020-19105-0.
7
Revealing the structure of pharmacobehavioral space through motion sequencing.通过运动序列揭示药物行为空间的结构。
Nat Neurosci. 2020 Nov;23(11):1433-1443. doi: 10.1038/s41593-020-00706-3. Epub 2020 Sep 21.
8
Machine learning-based automated phenotyping of inflammatory nocifensive behavior in mice.基于机器学习的小鼠炎症伤害性行为自动表型分析。
Mol Pain. 2020 Jan-Dec;16:1744806920958596. doi: 10.1177/1744806920958596.
9
Deep learning-based behavioral analysis reaches human accuracy and is capable of outperforming commercial solutions.基于深度学习的行为分析达到了人类的准确率,并且能够超越商业解决方案。
Neuropsychopharmacology. 2020 Oct;45(11):1942-1952. doi: 10.1038/s41386-020-0776-y. Epub 2020 Jul 25.
10
Big behavior: challenges and opportunities in a new era of deep behavior profiling.重大行为:深度行为剖析新时代的挑战与机遇
Neuropsychopharmacology. 2021 Jan;46(1):33-44. doi: 10.1038/s41386-020-0751-7. Epub 2020 Jun 29.