Suppr超能文献

用于锂离子和镁离子电池电极的层状过渡金属二卤化物超晶格的性质

Properties of Layered TMDC Superlattices for Electrodes in Li-Ion and Mg-Ion Batteries.

作者信息

Price Conor Jason, Baker Edward Allery David, Hepplestone Steven Paul

机构信息

Department of Physics, University of Exeter, Stocker Road, Exeter EX4 4QL, U.K.

出版信息

J Phys Chem C Nanomater Interfaces. 2024 Jan 29;128(5):1867-1876. doi: 10.1021/acs.jpcc.3c05155. eCollection 2024 Feb 8.

Abstract

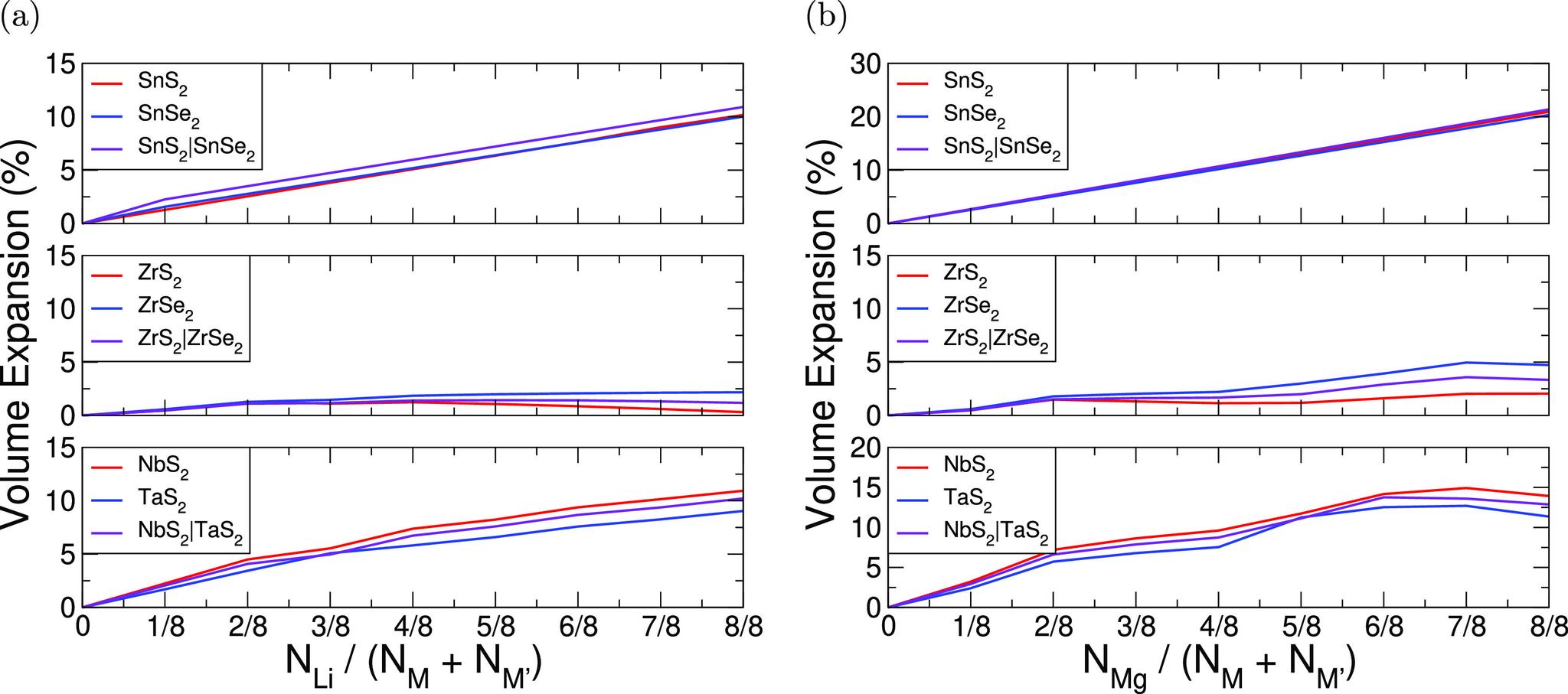
In this work, we present a first-principles investigation of the properties of superlattices made from transition metal dichalcogenides for use as electrodes in lithium-ion and magnesium-ion batteries. From a study of 50 pairings, we show that, in general, the volumetric expansion, intercalation voltages, and thermodynamic stability of vdW superlattice structures can be well approximated with the average value of the equivalent property for the component layers. We also found that the band gap can be reduced, improving the conductivity. Thus, we conclude that superlattice construction can be used to improve material properties through the tuning of intercalation voltages toward specific values and by increasing the stability of conversion-susceptible materials. For example, we demonstrate how pairing SnS with systems such as MoS can change it from a conversion to an intercalation material, thus opening it up for use in intercalation electrodes.

摘要

在这项工作中,我们对由过渡金属二硫属化物制成的超晶格用作锂离子和镁离子电池电极的性质进行了第一性原理研究。通过对50种配对的研究,我们表明,一般来说,范德华超晶格结构的体积膨胀、嵌入电压和热力学稳定性可以用组成层等效性质的平均值很好地近似。我们还发现带隙可以减小,从而提高导电性。因此,我们得出结论,超晶格结构可用于通过将嵌入电压调节到特定值以及提高易发生转化的材料的稳定性来改善材料性能。例如,我们展示了将SnS与MoS等体系配对如何将其从转化型材料转变为嵌入型材料,从而使其可用于嵌入电极。

https://cdn.ncbi.nlm.nih.gov/pmc/blobs/9a4e/10860140/b9fe6a702a35/jp3c05155_0001.jpg

文献AI研究员

20分钟写一篇综述,助力文献阅读效率提升50倍。

立即体验

用中文搜PubMed

大模型驱动的PubMed中文搜索引擎

马上搜索

文档翻译

学术文献翻译模型,支持多种主流文档格式。

立即体验