Suppr超能文献

植物精油和提取物对食源性病原体的协同抗菌相互作用。

Synergistic antimicrobial interaction of plant essential oils and extracts against foodborne pathogens.

作者信息

Angane Manasweeta, Swift Simon, Huang Kang, Perera Janesha, Chen Xiao, Butts Christine A, Quek Siew Young

机构信息

Food Science, School of Chemical Sciences The University of Auckland Auckland New Zealand.

Faculty of Medical and Health Sciences, School of Medical Sciences The University of Auckland Auckland New Zealand.

出版信息

Food Sci Nutr. 2023 Nov 22;12(2):1189-1206. doi: 10.1002/fsn3.3834. eCollection 2024 Feb.

Abstract

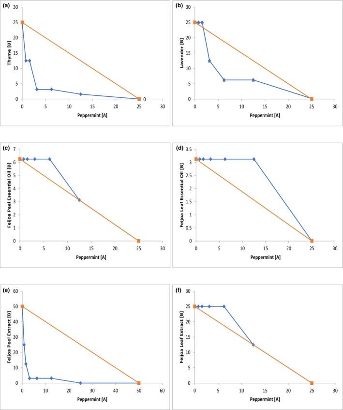
Essential oils (EOs) and plant extracts have demonstrated inhibitory activity against a wide range of pathogenic bacteria. In this study, the chemical composition of manuka, kanuka, peppermint, thyme, lavender, and feijoa leaf and peel EOs and feijoa peel and leaf extracts were analyzed, and their antimicrobial activity against , Typhimurium, , , and were determined. The results showed that the major compounds varied among different EOs and extracts, with menthol in peppermint EO, thymol and carvacrol in thyme EO, linalool in lavender EO, β-caryophyllene in feijoa EO, and flavones in feijoa extract being the most prevalent. The study found that while EOs/extracts had antimicrobial activity alone, no individual EO/extract was highly effective against all tested species. Therefore, their combinations were tested to identify those that could broaden the spectrum of activity and act synergistically. The checkerboard method was applied to assess the possible synergism between the paired combinations of EOs/extract. The peppermint/thyme, peppermint/lavender, and peppermint/feijoa peel extract combinations exhibited a synergistic effect against and , with the peppermint/thyme and peppermint/feijoa peel extract combinations being the most effective against all five pathogens. Time-to-kill kinetics assays demonstrated that peppermint/thyme and peppermint/feijoa peel extract combinations achieved complete eradication of within 10-30 min and within 4-6 h. This study provides a promising approach to developing a natural alternative for food preservation using synergistic combinations of EOs/extracts, which could potentially reduce the required dosage and broaden their application in food products as natural preservatives.

摘要

精油(EOs)和植物提取物已显示出对多种病原菌的抑制活性。在本研究中,分析了麦卢卡、卡努卡、薄荷、百里香、薰衣草以及费约果叶和果皮精油的化学成分,还有费约果果皮和叶提取物的化学成分,并测定了它们对鼠伤寒沙门氏菌、金黄色葡萄球菌、大肠杆菌、单核细胞增生李斯特菌和空肠弯曲菌的抗菌活性。结果表明,不同精油和提取物中的主要化合物各不相同,薄荷精油中的薄荷醇、百里香精油中的百里香酚和香芹酚、薰衣草精油中的芳樟醇、费约果精油中的β-石竹烯以及费约果提取物中的黄酮最为普遍。研究发现,虽然精油/提取物单独具有抗菌活性,但没有单一的精油/提取物对所有测试菌种都具有高效性。因此,对它们的组合进行了测试,以确定那些能够拓宽活性谱并产生协同作用的组合。采用棋盘法评估精油/提取物配对组合之间可能的协同作用。薄荷/百里香、薄荷/薰衣草以及薄荷/费约果果皮提取物组合对金黄色葡萄球菌和大肠杆菌表现出协同效应,其中薄荷/百里香和薄荷/费约果果皮提取物组合对所有五种病原体最为有效。杀菌动力学试验表明,薄荷/百里香和薄荷/费约果果皮提取物组合在10 - 30分钟内实现了对金黄色葡萄球菌的完全根除,在4 - 6小时内实现了对大肠杆菌的完全根除。本研究为利用精油/提取物的协同组合开发食品保鲜的天然替代品提供了一种有前景的方法,这可能会减少所需剂量,并扩大它们作为天然防腐剂在食品中的应用。

https://cdn.ncbi.nlm.nih.gov/pmc/blobs/62c7/10867478/e8b03005e15c/FSN3-12-1189-g004.jpg

文献AI研究员

20分钟写一篇综述,助力文献阅读效率提升50倍。

立即体验

用中文搜PubMed

大模型驱动的PubMed中文搜索引擎

马上搜索

文档翻译

学术文献翻译模型,支持多种主流文档格式。

立即体验