Li Chun, Tian Yuqi, Zeng Donglin, Shepherd Bryan E
Division of Biostatistics, Department of Population and Public Health Sciences, University of Southern California, Los Angeles, CA 90033, USA.
Department of Biostatistics, Vanderbilt University, Nashville, TN 37203, USA.
Mathematics (Basel). 2023 Dec 2;11(24). doi: 10.3390/math11244896. Epub 2023 Dec 7.
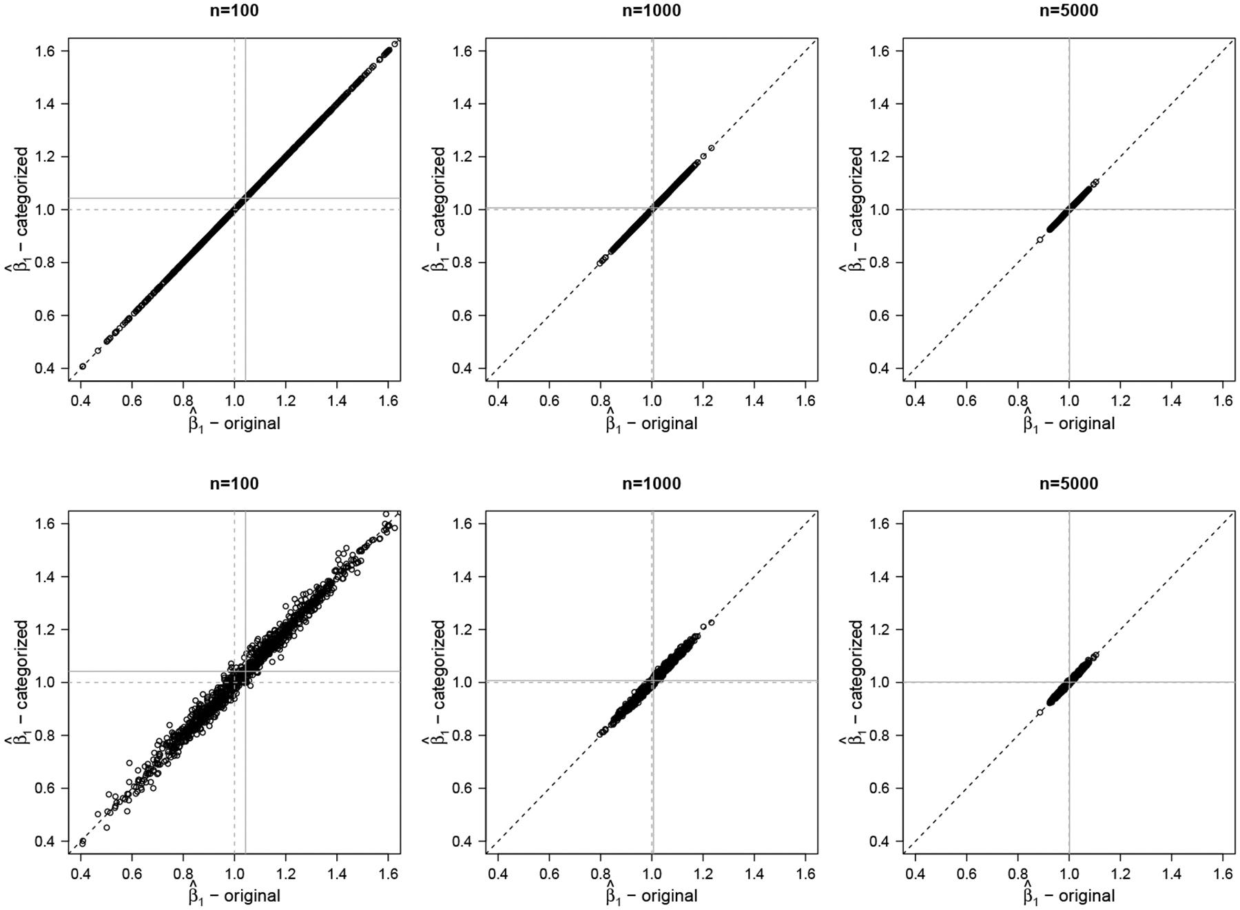
Regression models for continuous outcomes frequently require a transformation of the outcome, which is often specified a priori or estimated from a parametric family. Cumulative probability models (CPMs) nonparametrically estimate the transformation by treating the continuous outcome as if it is ordered categorically. They thus represent a flexible analysis approach for continuous outcomes. However, it is difficult to establish asymptotic properties for CPMs due to the potentially unbounded range of the transformation. Here we show asymptotic properties for CPMs when applied to slightly modified data where bounds, one lower and one upper, are chosen and the outcomes outside the bounds are set as two ordinal categories. We prove the uniform consistency of the estimated regression coefficients and of the estimated transformation function between the bounds. We also describe their joint asymptotic distribution, and show that the estimated regression coefficients attain the semiparametric efficiency bound. We show with simulations that results from this approach and those from using the CPM on the original data are very similar when a small fraction of the data are modified. We reanalyze a dataset of HIV-positive patients with CPMs to illustrate and compare the approaches.
针对连续型结局的回归模型通常需要对结局进行变换,这种变换往往是预先设定的,或者是从一个参数族中估计出来的。累积概率模型(CPM)通过将连续型结局当作有序分类变量来非参数地估计这种变换。因此,它们代表了一种针对连续型结局的灵活分析方法。然而,由于变换的范围可能无界,所以很难为CPM建立渐近性质。在此,我们展示了CPM应用于稍微修改后的数据时的渐近性质,在这些数据中,选择了一个下限和一个上限作为界,界外的结局被设定为两个有序类别。我们证明了界内估计回归系数和估计变换函数的一致相合性。我们还描述了它们的联合渐近分布,并表明估计回归系数达到了半参数效率界。我们通过模拟表明,当一小部分数据被修改时,这种方法的结果与在原始数据上使用CPM的结果非常相似。我们用CPM重新分析了一个HIV阳性患者的数据集,以说明和比较这些方法。