Division of Clinical Pharmacology, LMU University Hospital, LMU Munich, Munich, Germany.
Division of Infectious Diseases and Tropical Medicine, LMU University Hospital, LMU Munich, Munich, Germany.
Nat Commun. 2024 Feb 24;15(1):1696. doi: 10.1038/s41467-024-45806-x.
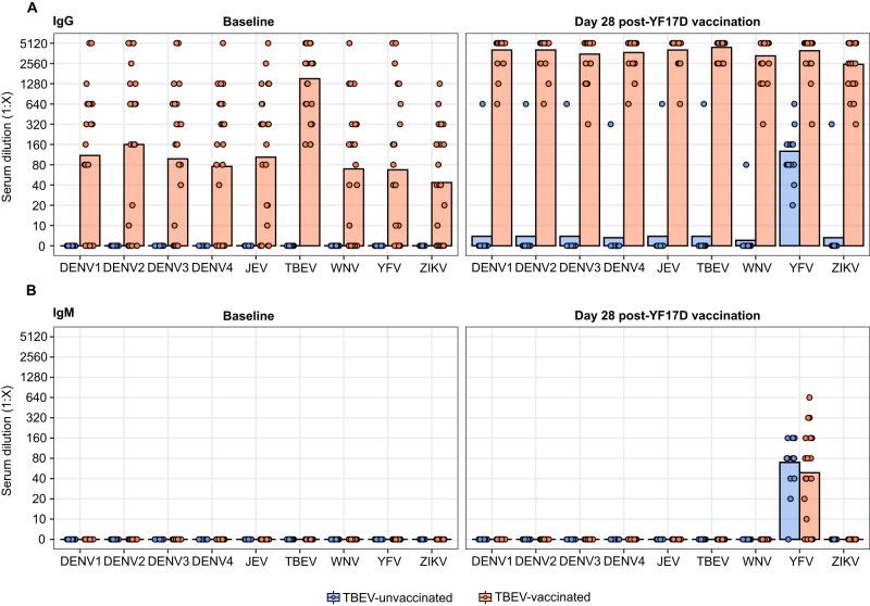
The yellow fever 17D vaccine (YF17D) is highly effective but is frequently administered to individuals with pre-existing cross-reactive immunity, potentially impacting their immune responses. Here, we investigate the impact of pre-existing flavivirus immunity induced by the tick-borne encephalitis virus (TBEV) vaccine on the response to YF17D vaccination in 250 individuals up to 28 days post-vaccination (pv) and 22 individuals sampled one-year pv. Our findings indicate that previous TBEV vaccination does not affect the early IgM-driven neutralizing response to YF17D. However, pre-vaccination sera enhance YF17D virus infection in vitro via antibody-dependent enhancement (ADE). Following YF17D vaccination, TBEV-pre-vaccinated individuals develop high amounts of cross-reactive IgG antibodies with poor neutralizing capacity. In contrast, TBEV-unvaccinated individuals elicit a non-cross-reacting neutralizing response. Using YF17D envelope protein mutants displaying different epitopes, we identify quaternary dimeric epitopes as the primary target of neutralizing antibodies. Additionally, TBEV-pre-vaccination skews the IgG response towards the pan-flavivirus fusion loop epitope (FLE), capable of mediating ADE of dengue and Zika virus infections in vitro. Together, we propose that YF17D vaccination conceals the FLE in individuals without prior flavivirus exposure but favors a cross-reactive IgG response in TBEV-pre-vaccinated recipients directed to the FLE with potential to enhance dengue virus infection.
黄热病 17D 疫苗(YF17D)具有高度有效性,但经常被施用于预先存在交叉反应性免疫的个体,这可能会影响他们的免疫反应。在这里,我们研究了由蜱传脑炎病毒(TBEV)疫苗引起的预先存在的黄病毒免疫对 250 名个体在接种 YF17D 疫苗后 28 天(pv)和 22 名个体在接种疫苗后一年(pv)的免疫反应的影响。我们的研究结果表明,先前的 TBEV 疫苗接种不会影响对 YF17D 的早期 IgM 驱动的中和反应。然而,预接种血清通过抗体依赖性增强(ADE)增强 YF17D 病毒在体外的感染。接种 YF17D 疫苗后,TBEV 预接种个体产生大量具有低中和能力的交叉反应性 IgG 抗体。相比之下,TBEV 未接种个体则产生非交叉反应的中和反应。使用显示不同表位的 YF17D 包膜蛋白突变体,我们确定了四元二聚体表位是中和抗体的主要靶标。此外,TBEV 预接种会使 IgG 反应偏向泛黄病毒融合环表位(FLE),该表位能够在体外介导登革热和寨卡病毒感染的 ADE。总之,我们提出 YF17D 疫苗接种会掩盖没有先前黄病毒暴露的个体中的 FLE,但会促进 TBEV 预接种受者产生针对 FLE 的交叉反应性 IgG 反应,这可能会增强登革热病毒感染。