• 文献检索
  • 文档翻译
  • 深度研究
  • 学术资讯
  • Suppr Zotero 插件Zotero 插件
  • 邀请有礼
  • 套餐&价格
  • 历史记录
应用&插件
Suppr Zotero 插件Zotero 插件浏览器插件Mac 客户端Windows 客户端微信小程序
定价
高级版会员购买积分包购买API积分包
服务
文献检索文档翻译深度研究API 文档MCP 服务
关于我们
关于 Suppr公司介绍联系我们用户协议隐私条款
关注我们

Suppr 超能文献

核心技术专利:CN118964589B侵权必究
粤ICP备2023148730 号-1Suppr @ 2026

文献检索

告别复杂PubMed语法,用中文像聊天一样搜索,搜遍4000万医学文献。AI智能推荐,让科研检索更轻松。

立即免费搜索

文件翻译

保留排版,准确专业,支持PDF/Word/PPT等文件格式,支持 12+语言互译。

免费翻译文档

深度研究

AI帮你快速写综述,25分钟生成高质量综述,智能提取关键信息,辅助科研写作。

立即免费体验

索拉非尼-钌配合物的合成、生物活性研究及其作为抗癌药物在药物传递系统中的应用。

Synthesis of Sorafenib-Ruthenium Complexes, Investigation of Biological Activities and Applications in Drug Delivery Systems as an Anticancer Agent.

机构信息

Faculty of Pharmacy, Department of Pharmaceutical Chemistry, Bezmialem Vakif University, 34093 Istanbul, Türkiye.

Faculty of Pharmacy, Department of Pharmacology, Bezmialem Vakif University, 34093 Istanbul, Türkiye.

出版信息

J Med Chem. 2024 Mar 28;67(6):4463-4482. doi: 10.1021/acs.jmedchem.3c01115. Epub 2024 Mar 12.

DOI:10.1021/acs.jmedchem.3c01115
PMID:38471014
原文链接:https://pmc.ncbi.nlm.nih.gov/articles/PMC10983010/
Abstract

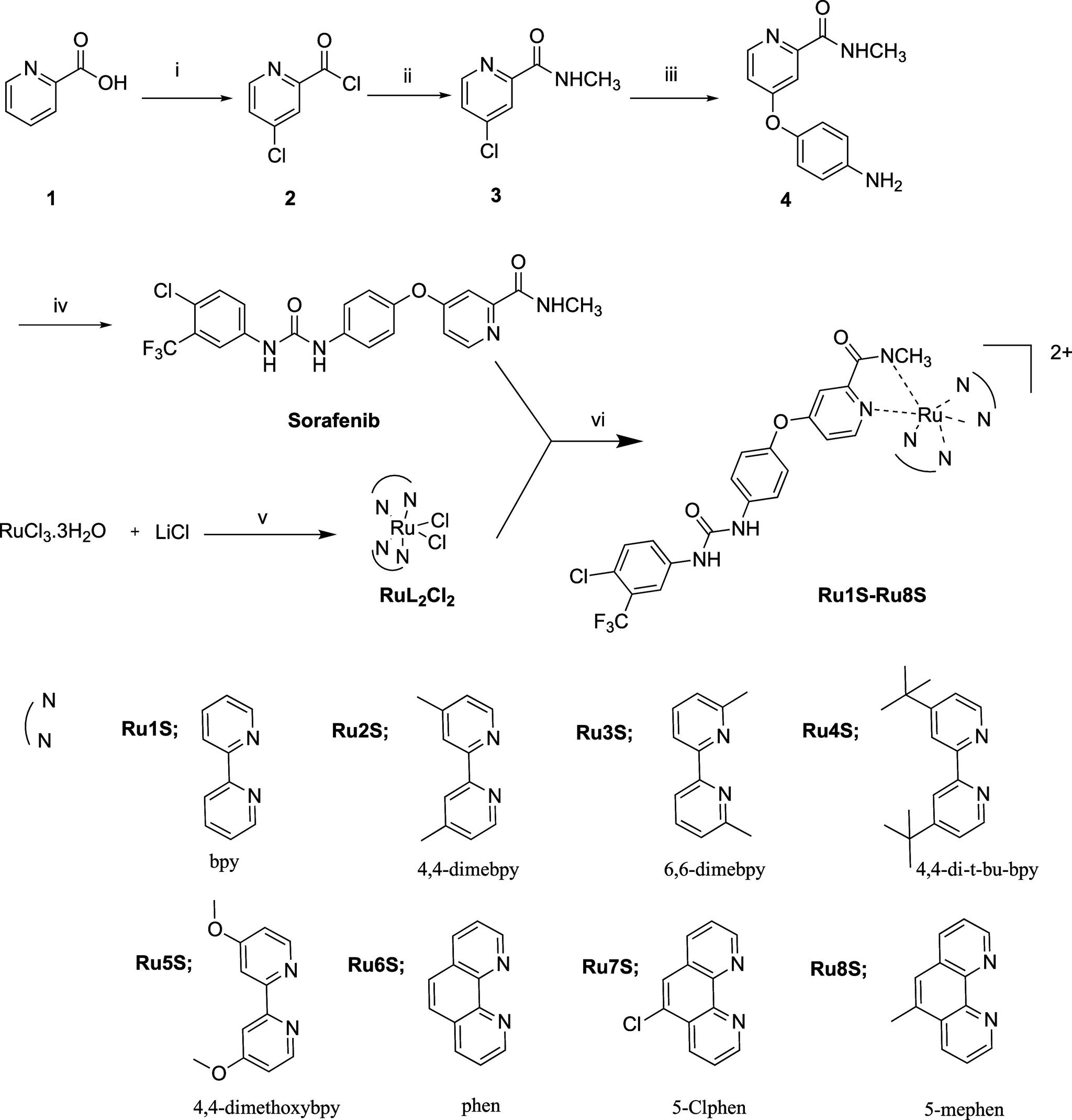
Sorafenib, a multiple kinase inhibitor, is widely used as a first-line treatment for hepatocellular carcinoma. However, there is a need for more effective alternatives when sorafenib proves insufficient. In this study, we aimed to design a structure that surpasses sorafenib's efficacy, leading us to synthesize sorafenib-ruthenium complexes for the first time and investigate their properties. Our results indicate that the sorafenib-ruthenium complexes exhibit superior epidermal growth factor receptor (EGFR) inhibition compared to sorafenib alone. Interestingly, among these complexes, demonstrated high activity against various cancer cell lines including sorafenib-resistant HepG2 cells while exhibiting significantly lower cytotoxicity than sorafenib in healthy cell lines. Further evaluation of cell cycle, cell apoptosis, and antiangiogenic effects, molecular docking, and molecular dynamics studies revealed that holds great potential as a drug candidate. Additionally, when free was encapsulated into polymeric micelles , enhanced cytotoxicity on HepG2 cells was observed. Collectively, these findings position as a promising candidate for EGFR inhibition and warrant further exploration for drug development purposes.

摘要

索拉非尼是一种多激酶抑制剂,被广泛用作肝细胞癌的一线治疗药物。然而,当索拉非尼疗效不足时,需要更有效的替代药物。在这项研究中,我们旨在设计一种超越索拉非尼疗效的结构,因此首次合成了索拉非尼-钌复合物,并研究了它们的性质。我们的结果表明,与单独的索拉非尼相比,索拉非尼-钌复合物对表皮生长因子受体(EGFR)的抑制作用更强。有趣的是,在这些复合物中, 对包括索拉非尼耐药 HepG2 细胞在内的多种癌细胞系表现出高活性,而在健康细胞系中的细胞毒性明显低于索拉非尼。进一步的细胞周期、细胞凋亡和抗血管生成作用评估、分子对接和分子动力学研究表明, 具有作为药物候选物的巨大潜力。此外,当游离 被包裹在聚合物胶束中时,观察到对 HepG2 细胞的增强细胞毒性。综上所述,这些发现使 成为 EGFR 抑制的有前途的候选药物,并值得进一步探索用于药物开发目的。

https://cdn.ncbi.nlm.nih.gov/pmc/blobs/b9f3/10983010/04a021593ea1/jm3c01115_0010.jpg
https://cdn.ncbi.nlm.nih.gov/pmc/blobs/b9f3/10983010/1a84b173018f/jm3c01115_0001.jpg
https://cdn.ncbi.nlm.nih.gov/pmc/blobs/b9f3/10983010/1bb3840942d1/jm3c01115_0011.jpg
https://cdn.ncbi.nlm.nih.gov/pmc/blobs/b9f3/10983010/7a2526c4c562/jm3c01115_0002.jpg
https://cdn.ncbi.nlm.nih.gov/pmc/blobs/b9f3/10983010/a79053df11f9/jm3c01115_0003.jpg
https://cdn.ncbi.nlm.nih.gov/pmc/blobs/b9f3/10983010/637883665517/jm3c01115_0004.jpg
https://cdn.ncbi.nlm.nih.gov/pmc/blobs/b9f3/10983010/a60aeafeb51e/jm3c01115_0005.jpg
https://cdn.ncbi.nlm.nih.gov/pmc/blobs/b9f3/10983010/1191ca7e852e/jm3c01115_0006.jpg
https://cdn.ncbi.nlm.nih.gov/pmc/blobs/b9f3/10983010/2fae83a93808/jm3c01115_0007.jpg
https://cdn.ncbi.nlm.nih.gov/pmc/blobs/b9f3/10983010/7fcfaf3f82ea/jm3c01115_0008.jpg
https://cdn.ncbi.nlm.nih.gov/pmc/blobs/b9f3/10983010/686827e185fe/jm3c01115_0009.jpg
https://cdn.ncbi.nlm.nih.gov/pmc/blobs/b9f3/10983010/04a021593ea1/jm3c01115_0010.jpg
https://cdn.ncbi.nlm.nih.gov/pmc/blobs/b9f3/10983010/1a84b173018f/jm3c01115_0001.jpg
https://cdn.ncbi.nlm.nih.gov/pmc/blobs/b9f3/10983010/1bb3840942d1/jm3c01115_0011.jpg
https://cdn.ncbi.nlm.nih.gov/pmc/blobs/b9f3/10983010/7a2526c4c562/jm3c01115_0002.jpg
https://cdn.ncbi.nlm.nih.gov/pmc/blobs/b9f3/10983010/a79053df11f9/jm3c01115_0003.jpg
https://cdn.ncbi.nlm.nih.gov/pmc/blobs/b9f3/10983010/637883665517/jm3c01115_0004.jpg
https://cdn.ncbi.nlm.nih.gov/pmc/blobs/b9f3/10983010/a60aeafeb51e/jm3c01115_0005.jpg
https://cdn.ncbi.nlm.nih.gov/pmc/blobs/b9f3/10983010/1191ca7e852e/jm3c01115_0006.jpg
https://cdn.ncbi.nlm.nih.gov/pmc/blobs/b9f3/10983010/2fae83a93808/jm3c01115_0007.jpg
https://cdn.ncbi.nlm.nih.gov/pmc/blobs/b9f3/10983010/7fcfaf3f82ea/jm3c01115_0008.jpg
https://cdn.ncbi.nlm.nih.gov/pmc/blobs/b9f3/10983010/686827e185fe/jm3c01115_0009.jpg
https://cdn.ncbi.nlm.nih.gov/pmc/blobs/b9f3/10983010/04a021593ea1/jm3c01115_0010.jpg

相似文献

1
Synthesis of Sorafenib-Ruthenium Complexes, Investigation of Biological Activities and Applications in Drug Delivery Systems as an Anticancer Agent.索拉非尼-钌配合物的合成、生物活性研究及其作为抗癌药物在药物传递系统中的应用。
J Med Chem. 2024 Mar 28;67(6):4463-4482. doi: 10.1021/acs.jmedchem.3c01115. Epub 2024 Mar 12.
2
1118-20, an indazole diarylurea compound, inhibits hepatocellular carcinoma HepG2 proliferation and tumour angiogenesis involving Wnt/β-catenin pathway and receptor tyrosine kinases.1118 - 20,一种吲唑二芳基脲化合物,通过Wnt/β-连环蛋白途径和受体酪氨酸激酶抑制肝癌HepG2细胞增殖和肿瘤血管生成。
J Pharm Pharmacol. 2015 Oct;67(10):1393-405. doi: 10.1111/jphp.12440. Epub 2015 Jun 16.
3
meta-Ureidophenoxy-1,2,3-triazole hybrid as a novel scaffold for promising HepG2 hepatocellular carcinoma inhibitors: Synthesis, biological evaluation and molecular docking studies.作为一种新型支架,亚氨基苯氧基-1,2,3-三唑杂合体有望成为 HepG2 肝癌抑制剂:合成、生物评价及分子对接研究。
Bioorg Med Chem. 2022 Nov 15;74:117048. doi: 10.1016/j.bmc.2022.117048. Epub 2022 Oct 7.
4
Fucoidan inhibits EGFR redistribution and potentiates sorafenib to overcome sorafenib-resistant hepatocellular carcinoma.岩藻聚糖硫酸酯通过抑制 EGFR 重分布增强索拉非尼抑制肝癌活性克服索拉非尼耐药性
Biomed Pharmacother. 2022 Oct;154:113602. doi: 10.1016/j.biopha.2022.113602. Epub 2022 Aug 24.
5
Validation of VX2 as a Hepatocellular Carcinoma Model: Comparison of the Molecular Reaction of VX2 and HepG2 Tumor Cells to Sorafenib In Vitro.VX2作为肝细胞癌模型的验证:VX2和HepG2肿瘤细胞对索拉非尼体外分子反应的比较
Anticancer Res. 2017 Jan;37(1):87-93. doi: 10.21873/anticanres.11293.
6
Computational Discovery of Niclosamide Ethanolamine, a Repurposed Drug Candidate That Reduces Growth of Hepatocellular Carcinoma Cells In Vitro and in Mice by Inhibiting Cell Division Cycle 37 Signaling.氯硝柳胺乙醇胺的计算发现,一种重新利用的候选药物,通过抑制细胞分裂周期37信号通路在体外和小鼠体内降低肝癌细胞的生长。
Gastroenterology. 2017 Jun;152(8):2022-2036. doi: 10.1053/j.gastro.2017.02.039. Epub 2017 Mar 8.
7
Inhibition of acquired-resistance hepatocellular carcinoma cell growth by combining sorafenib with phosphoinositide 3-kinase and rat sarcoma inhibitor.索拉非尼与磷酸肌醇3激酶和大鼠肉瘤抑制剂联合使用对获得性耐药肝癌细胞生长的抑制作用
J Surg Res. 2016 Dec;206(2):371-379. doi: 10.1016/j.jss.2016.08.014. Epub 2016 Aug 10.
8
Identification of the β-catenin/JNK/prothymosin-alpha axis as a novel target of sorafenib in hepatocellular carcinoma cells.鉴定β-连环蛋白/JNK/前胸腺素α轴为索拉非尼在肝癌细胞中的新靶点。
Oncotarget. 2015 Nov 17;6(36):38999-9017. doi: 10.18632/oncotarget.5738.
9
The ruthenium compound KP1339 potentiates the anticancer activity of sorafenib in vitro and in vivo.钌化合物 KP1339 增强了索拉非尼在体外和体内的抗癌活性。
Eur J Cancer. 2013 Oct;49(15):3366-75. doi: 10.1016/j.ejca.2013.05.018. Epub 2013 Jun 18.
10
Dual inhibition of Akt and c-Met as a second-line therapy following acquired resistance to sorafenib in hepatocellular carcinoma cells.在肝癌细胞对索拉非尼产生获得性耐药后,双重抑制Akt和c-Met作为二线治疗方案。
Mol Oncol. 2017 Mar;11(3):320-334. doi: 10.1002/1878-0261.12039. Epub 2017 Feb 17.

引用本文的文献

1
Synergistic Antiproliferative Activity of Newly Synthesized Benzimidazole-Based Silver(I) Complexes on MCF-7 and T47D Cell Lines, CT-DNA Interactions Supported by Computational Studies.新合成的基于苯并咪唑的银(I)配合物对MCF-7和T47D细胞系的协同抗增殖活性:计算研究支持的CT-DNA相互作用
ACS Omega. 2025 Mar 28;10(13):13278-13295. doi: 10.1021/acsomega.4c11048. eCollection 2025 Apr 8.

本文引用的文献

1
Novel complex compounds of nickel with 3-(1-phenyl-2,3-dimethyl-pyrazolone-5)azopentadione-2,4: synthesis, NBO analysis, reactivity descriptors and and anti-cancer and bioactivity studies.镍与3-(1-苯基-2,3-二甲基-吡唑啉酮-5)偶氮戊二酮-2,4的新型配合物:合成、自然键轨道分析、反应活性描述符以及抗癌和生物活性研究
J Biomol Struct Dyn. 2025 Jul;43(11):5552-5576. doi: 10.1080/07391102.2024.2309646. Epub 2024 Jan 31.
2
Synthesis and Anticancer Activity of Novel Derivatives of α,β-Unsaturated Ketones Based on Oleanolic Acid: in Vitro and in Silico Studies against Prostate Cancer Cells.基于齐墩果酸的α,β-不饱和酮类新型衍生物的合成及抗癌活性:体外及计算机模拟研究前列腺癌细胞。
Chem Biodivers. 2023 Sep;20(9):e202301089. doi: 10.1002/cbdv.202301089. Epub 2023 Sep 4.
3
Screening assays for tyrosine kinase inhibitors: A review.酪氨酸激酶抑制剂的筛选检测:综述
J Pharm Biomed Anal. 2023 Jan 20;223:115166. doi: 10.1016/j.jpba.2022.115166. Epub 2022 Nov 15.
4
A Photoactivated Sorafenib-Ruthenium(II) Prodrug for Resistant Hepatocellular Carcinoma Therapy through Ferroptosis and Purine Metabolism Disruption.一种通过铁死亡和嘌呤代谢紊乱来治疗耐药性肝细胞癌的光激活索拉非尼-钌(II)前药。
J Med Chem. 2022 Oct 13;65(19):13041-13051. doi: 10.1021/acs.jmedchem.2c00880. Epub 2022 Sep 22.
5
Synthesis of ursolic acid arylidene-hydrazide hybrid compounds and investigation of their cytotoxic and antimicrobial effects.熊果酸芳亚基酰肼杂化化合物的合成及其细胞毒性和抗菌作用研究。
Nat Prod Res. 2023 Jul-Aug;37(15):2500-2507. doi: 10.1080/14786419.2022.2051170. Epub 2022 Mar 11.
6
Evaluation of cytotoxic and antioxidant potential of Dittrichia viscosa (L.) Greuter used in traditional medicine.评价传统医学中应用的粘毛鼠曲草(Dittrichia viscosa(L.)Greuter)的细胞毒性和抗氧化潜力。
J Ethnopharmacol. 2021 Aug 10;276:114211. doi: 10.1016/j.jep.2021.114211. Epub 2021 May 18.
7
Polymeric Encapsulation of a Ru(II)-Based Photosensitizer for Folate-Targeted Photodynamic Therapy of Drug Resistant Cancers.聚合物包裹基于钌(II)的光敏剂用于叶酸靶向光动力治疗耐药性癌症。
J Med Chem. 2021 Apr 22;64(8):4612-4622. doi: 10.1021/acs.jmedchem.0c02006. Epub 2021 Apr 5.
8
Phthalocyanine-Conjugated Glyconanoparticles for Chemo-photodynamic Combination Therapy.酞菁糖缀合物纳米粒用于化学-光动力学联合治疗。
Biomacromolecules. 2021 Apr 12;22(4):1555-1567. doi: 10.1021/acs.biomac.0c01811. Epub 2021 Apr 1.
9
AG-1024 Sensitizes Sorafenib-Resistant Hepatocellular Carcinoma Cells to Sorafenib via Enhancing G1/S Arrest.AG-1024通过增强G1/S期阻滞使索拉非尼耐药的肝癌细胞对索拉非尼敏感。
Onco Targets Ther. 2021 Feb 15;14:1049-1059. doi: 10.2147/OTT.S289324. eCollection 2021.
10
Differential anti-proliferative and apoptotic effects of lichen species on human prostate carcinoma cells.不同种地衣对人前列腺癌细胞的抗增殖和促凋亡作用。
PLoS One. 2020 Sep 30;15(9):e0238303. doi: 10.1371/journal.pone.0238303. eCollection 2020.