Suppr超能文献

信度收敛证明达到斯皮尔曼-布朗公式速率,适用于随机测试形式且与项目库维度无关。

Proof of Reliability Convergence to 1 at Rate of Spearman-Brown Formula for Random Test Forms and Irrespective of Item Pool Dimensionality.

机构信息

Faculty of Psychology, Open University of The Netherlands, Heerlen, The Netherlands.

Radboud University Nijmegen, Nijmegen, The Netherlands.

出版信息

Psychometrika. 2024 Sep;89(3):774-795. doi: 10.1007/s11336-024-09956-7. Epub 2024 Mar 12.

Abstract

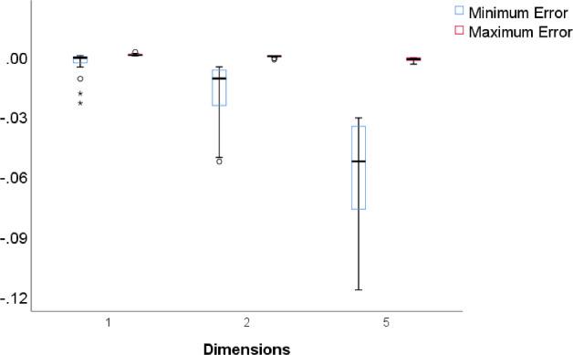
It is shown that the psychometric test reliability, based on any true-score model with randomly sampled items and uncorrelated errors, converges to 1 as the test length goes to infinity, with probability 1, assuming some general regularity conditions. The asymptotic rate of convergence is given by the Spearman-Brown formula, and for this it is not needed that the items are parallel, or latent unidimensional, or even finite dimensional. Simulations with the 2-parameter logistic item response theory model reveal that the reliability of short multidimensional tests can be positively biased, meaning that applying the Spearman-Brown formula in these cases would lead to overprediction of the reliability that results from lengthening a test. However, test constructors of short tests generally aim for short tests that measure just one attribute, so that the bias problem may have little practical relevance. For short unidimensional tests under the 2-parameter logistic model reliability is almost unbiased, meaning that application of the Spearman-Brown formula in these cases of greater practical utility leads to predictions that are approximately unbiased.

摘要

研究表明,基于任何真实分数模型的心理计量测试可靠性,只要测试长度趋于无穷大,同时项目随机抽样且误差不相关,那么在概率为 1 的条件下,该可靠性会收敛到 1。这一结论的前提是满足一些一般的正则性条件。渐近收敛速度由斯皮尔曼-布朗公式给出,而该公式的成立并不要求项目是平行的、潜在单维的,甚至也不要求是有限维的。使用二参数逻辑项目反应理论模型进行的模拟表明,短多维测试的可靠性可能会出现正偏差,这意味着在这些情况下应用斯皮尔曼-布朗公式会导致对通过延长测试而获得的可靠性的过高预测。然而,短测试的构建者通常希望构建仅测量一个属性的短测试,因此该偏差问题可能在实际应用中影响不大。对于二参数逻辑模型下的短一维测试,可靠性几乎没有偏差,这意味着在这些更实用的情况下应用斯皮尔曼-布朗公式会导致近似无偏的预测。

https://cdn.ncbi.nlm.nih.gov/pmc/blobs/c584/11458731/208da2724890/11336_2024_9956_Fig1_HTML.jpg

文献AI研究员

20分钟写一篇综述,助力文献阅读效率提升50倍。

立即体验

用中文搜PubMed

大模型驱动的PubMed中文搜索引擎

马上搜索

文档翻译

学术文献翻译模型,支持多种主流文档格式。

立即体验