Key Laboratory of Green Prevention and Control of Tropical Plant Diseases and Pests (Hainan University), Ministry of Education, Key Laboratory of Biotechnology of Salt Tolerant Crops of Hainan Province, Hainan University, Haikou 570228, China.
National Key Laboratory for Tropica1 Crop Breeding, Key Laboratory of Integrated Pest Management on Tropical Crops, Ministry of Agriculture and Rural Affairs, Chinese Academy of Tropical Agricultural Sciences Environment and Plant Protection Institute, Haikou 571101, China.
Int J Mol Sci. 2024 Feb 24;25(5):2639. doi: 10.3390/ijms25052639.
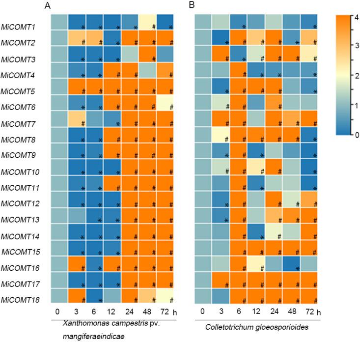
Caffeic acid -methyltransferase () participates in various physiological activities in plants, such as positive responses to abiotic stresses and the signal transduction of phytohormones. In this study, 18 genes were identified in the chromosome-level reference genome of mango, named . A phylogenetic tree containing nine groups (I-IX) was constructed based on the amino acid sequences of the 71 COMT proteins from seven species. The phylogenetic tree indicated that the members of the MiCOMTs could be divided into four groups. Quantitative real-time PCR showed that all genes have particularly high expression levels during flowering. The expression levels of were different under abiotic and biotic stresses, including salt and stimulated drought stresses, ABA and SA treatment, as well as pv. and infection, respectively. Among them, the expression level of was significantly up-regulated at 6-72 h after salt and stimulated drought stresses. The results of gene function analysis via the transient overexpression of the gene in showed that the gene can promote the accumulation of ABA and MeJA, and improve the salt tolerance of mango. These results are beneficial to future researchers aiming to understand the biological functions and molecular mechanisms of genes.
咖啡酸-O-甲基转移酶()参与植物的各种生理活动,如对非生物胁迫的正向响应和植物激素的信号转导。在这项研究中,在芒果的染色体水平参考基因组中鉴定出 18 个基因,命名为。基于来自七个物种的 71 个 COMT 蛋白的氨基酸序列构建了包含九个组(I-IX)的系统发育树。系统发育树表明,MiCOMTs 的成员可以分为四个组。定量实时 PCR 显示,所有 基因在开花期间均具有特别高的表达水平。在非生物和生物胁迫下,包括盐和胁迫干旱胁迫、ABA 和 SA 处理以及 pv. 和 感染,基因的表达水平均不同。其中,盐和胁迫干旱处理后 6-72 h,表达水平显著上调。通过在 中瞬时过表达 基因进行基因功能分析的结果表明,该 基因可以促进 ABA 和 MeJA 的积累,并提高芒果的耐盐性。这些结果有助于未来的研究人员了解 基因的生物学功能和分子机制。