• 文献检索
  • 文档翻译
  • 深度研究
  • 学术资讯
  • Suppr Zotero 插件Zotero 插件
  • 邀请有礼
  • 套餐&价格
  • 历史记录
应用&插件
Suppr Zotero 插件Zotero 插件浏览器插件Mac 客户端Windows 客户端微信小程序
定价
高级版会员购买积分包购买API积分包
服务
文献检索文档翻译深度研究API 文档MCP 服务
关于我们
关于 Suppr公司介绍联系我们用户协议隐私条款
关注我们

Suppr 超能文献

核心技术专利:CN118964589B侵权必究
粤ICP备2023148730 号-1Suppr @ 2026

文献检索

告别复杂PubMed语法,用中文像聊天一样搜索,搜遍4000万医学文献。AI智能推荐,让科研检索更轻松。

立即免费搜索

文件翻译

保留排版,准确专业,支持PDF/Word/PPT等文件格式,支持 12+语言互译。

免费翻译文档

深度研究

AI帮你快速写综述,25分钟生成高质量综述,智能提取关键信息,辅助科研写作。

立即免费体验

人类呼吸道病毒 RNA 在污水沉淀固体物中的持久性。

Persistence of human respiratory viral RNA in wastewater-settled solids.

机构信息

Department of Civil and Environmental Engineering, School of Engineering and Doerr School of Sustainability, Stanford University, Stanford, California, USA.

出版信息

Appl Environ Microbiol. 2024 Apr 17;90(4):e0227223. doi: 10.1128/aem.02272-23. Epub 2024 Mar 19.

DOI:10.1128/aem.02272-23
PMID:38501669
原文链接:https://pmc.ncbi.nlm.nih.gov/articles/PMC11022535/
Abstract

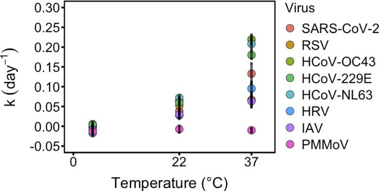
Wastewater-based epidemiology has emerged as a valuable tool for monitoring respiratory viral diseases within communities by analyzing concentrations of viral nucleic-acids in wastewater. However, little is known about the fate of respiratory virus nucleic-acids in wastewater. Two important fate processes that may modulate their concentrations in wastewater as they move from household drains to the point of collection include sorption or partitioning to wastewater solids and degradation. This study investigated the decay kinetics of genomic nucleic-acids of seven human respiratory viruses, including severe acute respiratory syndrome coronavirus 2 (SARS-CoV-2), respiratory syncytial virus (RSV), human coronavirus (HCoV)-OC43, HCoV-229E, HCoV-NL63, human rhinovirus (HRV), and influenza A virus (IAV), as well as pepper mild mottle virus (PMMoV) in wastewater solids. Viruses (except for PMMoV) were spiked into wastewater solids and their concentrations were followed for 50 days at three different temperatures (4°C, 22°C, and 37°C). Viral genomic RNA decayed following first-order kinetics with decay rate constants from 0 to 0.219 per day. Decay rate constants were not different from 0 for all targets in solids incubated at 4°C; values were largest at 37°C and at this temperature, values were similar across nucleic-acid targets. Regardless of temperature, there was limited viral RNA decay, with an estimated 0% to 20% reduction, over the typical residence times of sewage in the piped systems between input and collection point (<1 day). The values reported herein can be used directly in fate and transport models to inform the interpretation of measurements made during wastewater surveillance.IMPORTANCEUnderstanding whether or not the RNA targets quantified for wastewater-based epidemiology (WBE) efforts decay during transport between drains and the point of sample collection is critical for data interpretation. Here we show limited decay of viral RNA targets typically measured for respiratory disease WBE.

摘要

污水流行病学已成为一种通过分析污水中病毒核酸浓度来监测社区内呼吸道病毒疾病的有价值工具。然而,对于呼吸道病毒核酸在污水中的命运知之甚少。两个重要的命运过程可能会影响它们从家庭排水道到收集点的浓度,包括吸附或分配到污水固体和降解。本研究调查了七种人类呼吸道病毒的基因组核酸的衰减动力学,包括严重急性呼吸综合征冠状病毒 2(SARS-CoV-2)、呼吸道合胞病毒(RSV)、人类冠状病毒(HCoV)-OC43、HCoV-229E、HCoV-NL63、人类鼻病毒(HRV)和流感 A 病毒(IAV),以及辣椒斑驳病毒(PMMoV)在污水固体中的衰减动力学。将病毒(除了 PMMoV 之外)加入到污水固体中,并在三个不同温度(4°C、22°C 和 37°C)下跟踪其浓度 50 天。病毒基因组 RNA 遵循一级动力学衰减,衰减速率常数 为每天 0 到 0.219。在 4°C 孵育的固体中,所有靶标都没有观察到 为 0 的衰减率常数;在 37°C 时 值最大,在该温度下,核酸靶标之间的 值相似。无论温度如何,在污水在管道系统中从输入点到收集点的典型停留时间(<1 天)内,病毒 RNA 衰减有限,估计减少 0%到 20%。本文报道的 值可直接用于命运和传输模型,以解释在污水监测期间进行的测量的解释。

重要性
了解污水流行病学(WBE)工作中定量的 RNA 靶标在排水道和采样点之间的运输过程中是否衰减对于数据解释至关重要。在这里,我们显示出通常用于呼吸道疾病 WBE 的病毒 RNA 靶标的有限衰减。

https://cdn.ncbi.nlm.nih.gov/pmc/blobs/6dce/11022535/92ffd6c9b2c4/aem.02272-23.f002.jpg
https://cdn.ncbi.nlm.nih.gov/pmc/blobs/6dce/11022535/5403c638928a/aem.02272-23.f001.jpg
https://cdn.ncbi.nlm.nih.gov/pmc/blobs/6dce/11022535/92ffd6c9b2c4/aem.02272-23.f002.jpg
https://cdn.ncbi.nlm.nih.gov/pmc/blobs/6dce/11022535/5403c638928a/aem.02272-23.f001.jpg
https://cdn.ncbi.nlm.nih.gov/pmc/blobs/6dce/11022535/92ffd6c9b2c4/aem.02272-23.f002.jpg

相似文献

1
Persistence of human respiratory viral RNA in wastewater-settled solids.人类呼吸道病毒 RNA 在污水沉淀固体物中的持久性。
Appl Environ Microbiol. 2024 Apr 17;90(4):e0227223. doi: 10.1128/aem.02272-23. Epub 2024 Mar 19.
2
Wastewater concentrations of human influenza, metapneumovirus, parainfluenza, respiratory syncytial virus, rhinovirus, and seasonal coronavirus nucleic-acids during the COVID-19 pandemic: a surveillance study.在 COVID-19 大流行期间,人类流感、副流感、呼吸道合胞病毒、鼻病毒和季节性冠状病毒核酸在废水中的浓度:一项监测研究。
Lancet Microbe. 2023 May;4(5):e340-e348. doi: 10.1016/S2666-5247(22)00386-X. Epub 2023 Mar 22.
3
Persistence of Endogenous SARS-CoV-2 and Pepper Mild Mottle Virus RNA in Wastewater-Settled Solids.内源性严重急性呼吸综合征冠状病毒2型和辣椒轻斑驳病毒RNA在废水沉淀固体中的持久性。
ACS ES T Water. 2022 Nov 11;2(11):1944-1952. doi: 10.1021/acsestwater.2c00003. Epub 2022 Mar 11.
4
Sewer transport conditions and their role in the decay of endogenous SARS-CoV-2 and pepper mild mottle virus from source to collection.污水输送条件及其在源端至收集端内源性严重急性呼吸综合征冠状病毒2(SARS-CoV-2)和辣椒轻斑驳病毒衰减中的作用。
Int J Hyg Environ Health. 2025 Jan;263:114477. doi: 10.1016/j.ijheh.2024.114477. Epub 2024 Oct 7.
5
Impact of coagulation on SARS-CoV-2 and PMMoV viral signal in wastewater solids.凝血对废水中固体 SARS-CoV-2 和 PMMoV 病毒信号的影响。
Environ Sci Pollut Res Int. 2024 Jan;31(4):5242-5253. doi: 10.1007/s11356-023-31444-1. Epub 2023 Dec 19.
6
Adsorption of Respiratory Syncytial Virus, Rhinovirus, SARS-CoV-2, and F+ Bacteriophage MS2 RNA onto Wastewater Solids from Raw Wastewater.呼吸道合胞病毒、鼻病毒、SARS-CoV-2 和 F+噬菌体 MS2 RNA 吸附到原污水中的污水固体物上。
Environ Sci Technol. 2023 Sep 12;57(36):13346-13355. doi: 10.1021/acs.est.3c03376. Epub 2023 Aug 30.
7
Development and evaluation of TaqMan-based, one-step, real-time RT-PCR assays for pepper mild mottle virus detection for near source tracking and wastewater-based epidemiology validation.开发和评估基于 TaqMan 的一步法实时 RT-PCR 检测方法,用于检测胡椒轻斑驳病毒,用于源追踪和基于废水的流行病学验证。
PLoS One. 2022 Dec 19;17(12):e0278784. doi: 10.1371/journal.pone.0278784. eCollection 2022.
8
COPMAN: A novel high-throughput and highly sensitive method to detect viral nucleic acids including SARS-CoV-2 RNA in wastewater.科曼:一种新型高通量、高灵敏度的方法,用于检测废水中的病毒核酸,包括 SARS-CoV-2 RNA。
Sci Total Environ. 2023 Jan 15;856(Pt 1):158966. doi: 10.1016/j.scitotenv.2022.158966. Epub 2022 Sep 23.
9
Identification of environmental and methodological factors driving variability of Pepper Mild Mottle Virus (PMMoV) across three wastewater treatment plants in the City of Toronto.鉴定环境和方法学因素对多伦多市三个污水处理厂中辣椒轻斑驳病毒(PMMoV)变异性的影响。
Sci Total Environ. 2024 Jul 1;932:172917. doi: 10.1016/j.scitotenv.2024.172917. Epub 2024 May 1.
10
A retrospective longitudinal study of adenovirus group F, norovirus GI and GII, rotavirus, and enterovirus nucleic acids in wastewater solids at two wastewater treatment plants: solid-liquid partitioning and relation to clinical testing data.两污水处理厂污水固体物中腺病毒 F 群、诺如病毒 GI 和 GII、轮状病毒和肠道病毒核酸的回顾性纵向研究:固液分离及与临床检测数据的关系。
mSphere. 2024 Mar 26;9(3):e0073623. doi: 10.1128/msphere.00736-23. Epub 2024 Feb 27.

引用本文的文献

1
Methodic aspects of influenza and respiratory syncytial virus detection in raw wastewater and presence in treatment plants in southeastern Germany.德国东南部原污水中流感病毒和呼吸道合胞病毒检测的方法学及污水处理厂中的存在情况
Sci Rep. 2025 Aug 2;15(1):28194. doi: 10.1038/s41598-025-13998-x.
2
West Nile Virus () RNA concentrations in wastewater solids at five wastewater treatment plants in the United States.美国五家污水处理厂废水中固体物质中的西尼罗河病毒()RNA浓度。
PeerJ. 2025 Jul 23;13:e19748. doi: 10.7717/peerj.19748. eCollection 2025.
3
Wastewater-Based Surveillance of Respiratory Syncytial Virus Reveals a Temporal Disconnect in Disease Trajectory across an Active International Land Border.

本文引用的文献

1
The Protective Effect of Virus Capsids on RNA and DNA Virus Genomes in Wastewater.废水环境中病毒衣壳对 RNA 和 DNA 病毒基因组的保护作用
Environ Sci Technol. 2023 Sep 19;57(37):13757-13766. doi: 10.1021/acs.est.3c03814. Epub 2023 Sep 1.
2
Adsorption of Respiratory Syncytial Virus, Rhinovirus, SARS-CoV-2, and F+ Bacteriophage MS2 RNA onto Wastewater Solids from Raw Wastewater.呼吸道合胞病毒、鼻病毒、SARS-CoV-2 和 F+噬菌体 MS2 RNA 吸附到原污水中的污水固体物上。
Environ Sci Technol. 2023 Sep 12;57(36):13346-13355. doi: 10.1021/acs.est.3c03376. Epub 2023 Aug 30.
3
Scaling of SARS-CoV-2 RNA in Settled Solids from Multiple Wastewater Treatment Plants to Compare Incidence Rates of Laboratory-Confirmed COVID-19 in Their Sewersheds.
基于废水的呼吸道合胞病毒监测揭示了活跃的国际陆地边界沿线疾病轨迹的时间脱节。
Environ Health (Wash). 2025 Jan 29;3(4):425-435. doi: 10.1021/envhealth.4c00168. eCollection 2025 Apr 18.
4
Spatiotemporal Variability of the Pepper Mild Mottle Virus Biomarker in Wastewater.废水中辣椒轻斑驳病毒生物标志物的时空变异性
ACS ES T Water. 2024 Dec 16;5(1):341-350. doi: 10.1021/acsestwater.4c00866. eCollection 2025 Jan 10.
5
Human pathogen nucleic acids in wastewater solids from 191 wastewater treatment plants in the United States.美国 191 家污水处理厂污水固体中的人类病原体核酸。
Sci Data. 2024 Oct 17;11(1):1141. doi: 10.1038/s41597-024-03969-8.
对多个污水处理厂沉淀固体中严重急性呼吸综合征冠状病毒2(SARS-CoV-2)RNA进行定量分析,以比较其排水区域内实验室确诊的冠状病毒病2019(COVID-19)发病率。
Environ Sci Technol Lett. 2021 Apr 12;8(5):398-404. doi: 10.1021/acs.estlett.1c00184. eCollection 2021 May 11.
4
Presence of SARS-Coronavirus-2 RNA in Sewage and Correlation with Reported COVID-19 Prevalence in the Early Stage of the Epidemic in The Netherlands.荷兰疫情早期污水中严重急性呼吸综合征冠状病毒2(SARS-CoV-2)RNA的存在及其与报告的COVID-19患病率的相关性
Environ Sci Technol Lett. 2020 May 20;7(7):511-516. doi: 10.1021/acs.estlett.0c00357. eCollection 2020 Jul 14.
5
Human viral nucleic acids concentrations in wastewater solids from Central and Coastal California USA.美国加利福尼亚中部和沿海地区污水固体中人类病毒核酸浓度。
Sci Data. 2023 Jun 22;10(1):396. doi: 10.1038/s41597-023-02297-7.
6
SARS-CoV-2 in the environment: Contamination routes, detection methods, persistence and removal in wastewater treatment plants.环境中的 SARS-CoV-2:污染途径、检测方法、在污水处理厂中的持久性和去除。
Sci Total Environ. 2023 Jul 10;881:163453. doi: 10.1016/j.scitotenv.2023.163453. Epub 2023 Apr 12.
7
Wastewater concentrations of human influenza, metapneumovirus, parainfluenza, respiratory syncytial virus, rhinovirus, and seasonal coronavirus nucleic-acids during the COVID-19 pandemic: a surveillance study.在 COVID-19 大流行期间,人类流感、副流感、呼吸道合胞病毒、鼻病毒和季节性冠状病毒核酸在废水中的浓度:一项监测研究。
Lancet Microbe. 2023 May;4(5):e340-e348. doi: 10.1016/S2666-5247(22)00386-X. Epub 2023 Mar 22.
8
Persistence of Human Norovirus (GII) in Surface Water: Decay Rate Constants and Inactivation Mechanisms.人诺如病毒(GII)在地表水环境中的持久性:衰减速率常数与失活动力学。
Environ Sci Technol. 2023 Mar 7;57(9):3671-3679. doi: 10.1021/acs.est.2c09637. Epub 2023 Feb 22.
9
Use of Wastewater for Mpox Outbreak Surveillance in California.加利福尼亚州利用废水进行猴痘疫情监测。
N Engl J Med. 2023 Feb 9;388(6):570-572. doi: 10.1056/NEJMc2213882. Epub 2023 Jan 18.
10
Occurrence of multiple respiratory viruses in wastewater in Queensland, Australia: Potential for community disease surveillance.澳大利亚昆士兰州废水中多种呼吸道病毒的出现:社区疾病监测的潜力。
Sci Total Environ. 2023 Mar 15;864:161023. doi: 10.1016/j.scitotenv.2022.161023. Epub 2022 Dec 18.