• 文献检索
  • 文档翻译
  • 深度研究
  • 学术资讯
  • Suppr Zotero 插件Zotero 插件
  • 邀请有礼
  • 套餐&价格
  • 历史记录
应用&插件
Suppr Zotero 插件Zotero 插件浏览器插件Mac 客户端Windows 客户端微信小程序
定价
高级版会员购买积分包购买API积分包
服务
文献检索文档翻译深度研究API 文档MCP 服务
关于我们
关于 Suppr公司介绍联系我们用户协议隐私条款
关注我们

Suppr 超能文献

核心技术专利:CN118964589B侵权必究
粤ICP备2023148730 号-1Suppr @ 2026

文献检索

告别复杂PubMed语法,用中文像聊天一样搜索,搜遍4000万医学文献。AI智能推荐,让科研检索更轻松。

立即免费搜索

文件翻译

保留排版,准确专业,支持PDF/Word/PPT等文件格式,支持 12+语言互译。

免费翻译文档

深度研究

AI帮你快速写综述,25分钟生成高质量综述,智能提取关键信息,辅助科研写作。

立即免费体验

对L.的民族药用方法、植物化学分析及药理潜力的全面综述

A comprehensive review of ethnomedicinal approaches, phytochemical analysis, and pharmacological potential of L.

作者信息

Mottaghipisheh Javad, Kamali Marzie, Doustimotlagh Amir Hossein, Nowroozzadeh Mohammad Hossein, Rasekh Fatemeh, Hashempur Mohammad Hashem, Iraji Aida

机构信息

Research Center for Traditional Medicine and History of Medicine, Department of Persian Medicine, School of Medicine, Shiraz University of Medical Sciences, Shiraz, Iran.

Molecular Medicine Research Center, Hormozgan Health Institute, Hormozgan University of Medical Sciences, Bandar Abbas, Iran.

出版信息

Front Pharmacol. 2024 Mar 21;15:1322083. doi: 10.3389/fphar.2024.1322083. eCollection 2024.

DOI:10.3389/fphar.2024.1322083
PMID:38576489
原文链接:https://pmc.ncbi.nlm.nih.gov/articles/PMC10991721/
Abstract

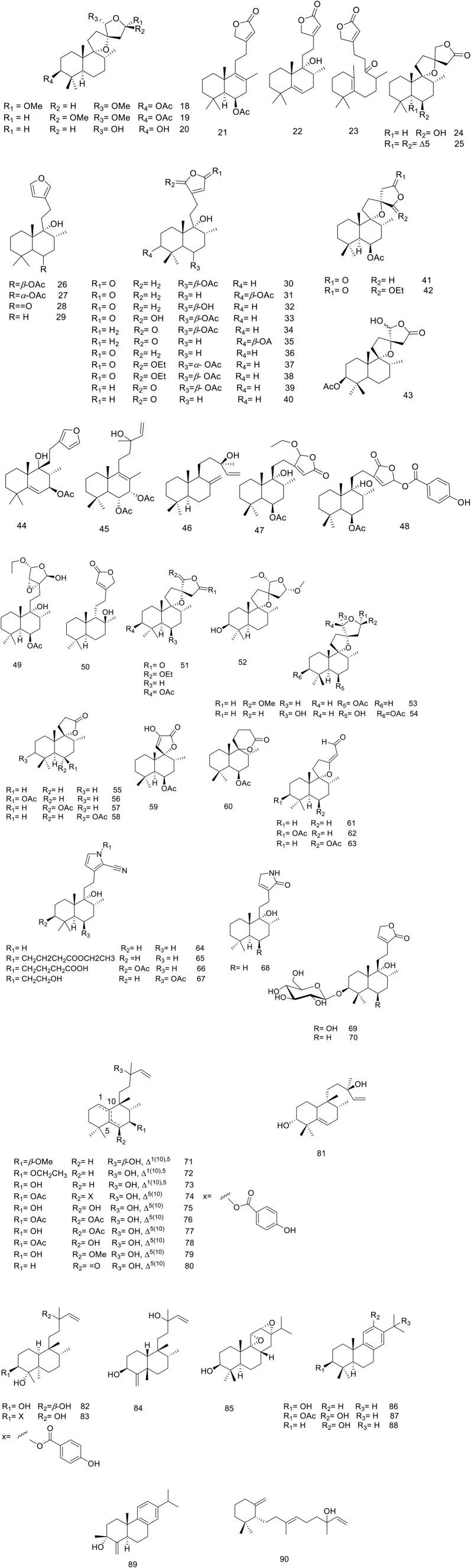
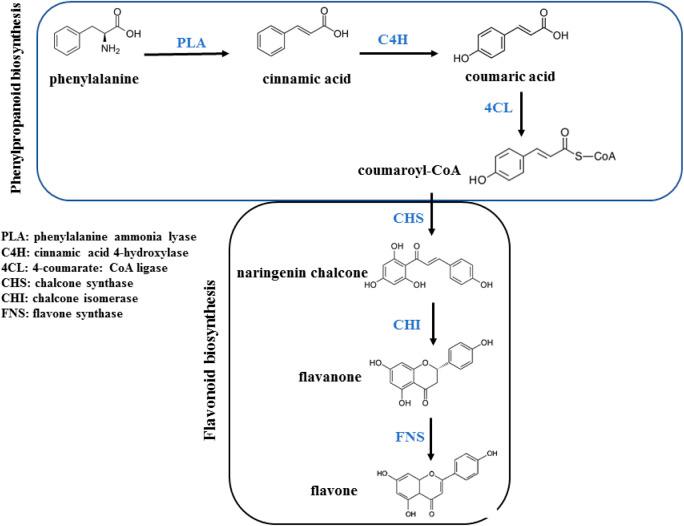
Plants, renowned for their rich reservoir of metabolites, play a pivotal role in addressing health-related issues. The Verbenaceae family stands out, showcasing immense potential in preventing and treating chronic diseases. L. (), a shrub with a rich history in traditional medicine, particularly in Eastern Asia, has garnered attention for its diverse therapeutic applications. This comprehensive review aims to bridge traditional knowledge and contemporary insights by investigating ethnopharmacology, phytochemistry, and pharmacological effects of . The keyword "" and its synonyms were searched within the main scientific databases including PubMed, Web of Science, ScienceDirect, Google Scholar, and Baidu Scholar (from 1974 to 2022, last search: 21.10.2023). Phytochemical analyses reveal a spectrum of secondary metabolites in , including terpenoids, flavonoids, lignans, phytosterols, anthraquinones, and fatty acids. Notably, terpenoids and flavonoids emerge as the main bioactive metabolites. Pharmacological studies validate its therapeutic potential, demonstrating significant antioxidant, anti-inflammatory, hepatoprotective, anticancer, anti-amnesic, antimicrobial, antiviral, anti-malaria, antispasmodic activities, and reported insecticidal effects. Despite existing literature exploring pharmacological attributes and secondary metabolites of related species, a conspicuous gap exists, specifically focusing on the pharmacological activities and novel methods of purification of pure metabolites from . This review aimed to fill this gap by delving into traditional medicinal applications, exploring secondary metabolites comprehensively, and providing an in-depth analysis of pharmacological effects of pure metabolites. Combining traditional uses with contemporary pharmacological insights, this article sought to serve as a crucial reference for future research and practical application of . This approach contributes substantially to understanding the plant, fostering scientific inquiry, and facilitating its broader application in healthcare.

摘要

植物以其丰富的代谢产物储备而闻名,在解决与健康相关的问题中发挥着关键作用。马鞭草科尤为突出,在预防和治疗慢性病方面展现出巨大潜力。[植物名称]是一种在传统医学中有着悠久历史的灌木,尤其在东亚地区,因其多样的治疗应用而备受关注。这篇综述旨在通过研究[植物名称]的民族药理学、植物化学和药理作用,将传统知识与当代见解联系起来。在包括PubMed、Web of Science、ScienceDirect、谷歌学术和百度学术在内的主要科学数据库中搜索了关键词“[植物名称]”及其同义词(时间范围为1974年至2022年,最后一次搜索时间:2023年10月21日)。植物化学分析表明[植物名称]中存在一系列次生代谢产物,包括萜类、黄酮类、木脂素、植物甾醇、蒽醌和脂肪酸。值得注意的是,萜类和黄酮类是主要的生物活性代谢产物。药理学研究证实了其治疗潜力,显示出显著的抗氧化、抗炎、保肝、抗癌、抗遗忘、抗菌、抗病毒、抗疟疾、解痉活性以及报道的杀虫作用。尽管现有文献探讨了相关物种的药理特性和次生代谢产物,但仍存在明显差距,特别是在[植物名称]纯代谢产物的药理活性和新型纯化方法方面。本综述旨在通过深入研究传统药用应用、全面探索次生代谢产物以及深入分析纯代谢产物的药理作用来填补这一空白。将传统用途与当代药理学见解相结合,本文旨在为[植物名称]的未来研究和实际应用提供重要参考。这种方法对于理解该植物、促进科学探究以及推动其在医疗保健中的更广泛应用具有重要意义。

https://cdn.ncbi.nlm.nih.gov/pmc/blobs/5165/10991721/914134154d6d/fphar-15-1322083-g009.jpg
https://cdn.ncbi.nlm.nih.gov/pmc/blobs/5165/10991721/de8fbce7fb5b/fphar-15-1322083-g001.jpg
https://cdn.ncbi.nlm.nih.gov/pmc/blobs/5165/10991721/accc5113d893/fphar-15-1322083-g002.jpg
https://cdn.ncbi.nlm.nih.gov/pmc/blobs/5165/10991721/2b8540be3b1e/fphar-15-1322083-g003.jpg
https://cdn.ncbi.nlm.nih.gov/pmc/blobs/5165/10991721/e6c326e2c9ea/fphar-15-1322083-g004.jpg
https://cdn.ncbi.nlm.nih.gov/pmc/blobs/5165/10991721/92a718316ff5/fphar-15-1322083-g005.jpg
https://cdn.ncbi.nlm.nih.gov/pmc/blobs/5165/10991721/8c2f51ee5f28/fphar-15-1322083-g006.jpg
https://cdn.ncbi.nlm.nih.gov/pmc/blobs/5165/10991721/cbb5cf7ffafb/fphar-15-1322083-g007.jpg
https://cdn.ncbi.nlm.nih.gov/pmc/blobs/5165/10991721/2589fb800b58/fphar-15-1322083-g008.jpg
https://cdn.ncbi.nlm.nih.gov/pmc/blobs/5165/10991721/914134154d6d/fphar-15-1322083-g009.jpg
https://cdn.ncbi.nlm.nih.gov/pmc/blobs/5165/10991721/de8fbce7fb5b/fphar-15-1322083-g001.jpg
https://cdn.ncbi.nlm.nih.gov/pmc/blobs/5165/10991721/accc5113d893/fphar-15-1322083-g002.jpg
https://cdn.ncbi.nlm.nih.gov/pmc/blobs/5165/10991721/2b8540be3b1e/fphar-15-1322083-g003.jpg
https://cdn.ncbi.nlm.nih.gov/pmc/blobs/5165/10991721/e6c326e2c9ea/fphar-15-1322083-g004.jpg
https://cdn.ncbi.nlm.nih.gov/pmc/blobs/5165/10991721/92a718316ff5/fphar-15-1322083-g005.jpg
https://cdn.ncbi.nlm.nih.gov/pmc/blobs/5165/10991721/8c2f51ee5f28/fphar-15-1322083-g006.jpg
https://cdn.ncbi.nlm.nih.gov/pmc/blobs/5165/10991721/cbb5cf7ffafb/fphar-15-1322083-g007.jpg
https://cdn.ncbi.nlm.nih.gov/pmc/blobs/5165/10991721/2589fb800b58/fphar-15-1322083-g008.jpg
https://cdn.ncbi.nlm.nih.gov/pmc/blobs/5165/10991721/914134154d6d/fphar-15-1322083-g009.jpg

相似文献

1
A comprehensive review of ethnomedicinal approaches, phytochemical analysis, and pharmacological potential of L.对L.的民族药用方法、植物化学分析及药理潜力的全面综述
Front Pharmacol. 2024 Mar 21;15:1322083. doi: 10.3389/fphar.2024.1322083. eCollection 2024.
2
Vitex rotundifolia L. f. and Vitex trifolia L.: A review on their traditional medicine, phytochemistry, pharmacology.牡荆属植物圆叶牡荆和三叶牡荆:传统医学、植物化学、药理学的综述。
J Ethnopharmacol. 2023 May 23;308:116273. doi: 10.1016/j.jep.2023.116273. Epub 2023 Feb 21.
3
Ethnopharmacological uses, phytochemistry, biological activities, and therapeutic applications of Clinacanthus nutans (Burm. f.) Lindau: A comprehensive review.鳄嘴花的民族药理学用途、植物化学、生物活性及治疗应用:综述
J Ethnopharmacol. 2017 Jul 12;206:245-266. doi: 10.1016/j.jep.2017.05.007. Epub 2017 May 8.
4
Duranta erecta Linn: A critical review on phytochemistry, traditional uses, pharmacology, and toxicity from phytopharmaceutical perspective.假连翘:从植物药角度对其植物化学、传统用途、药理学及毒性的批判性综述
J Ethnopharmacol. 2022 Jul 15;293:115274. doi: 10.1016/j.jep.2022.115274. Epub 2022 Apr 9.
5
Traditional uses, phytochemistry, pharmacology, and safety concerns of hawthorn (Crataegus genus): A comprehensive review.山楂(Crataegus 属)的传统用途、植物化学、药理学和安全性问题:综合评价。
J Ethnopharmacol. 2024 Jan 30;319(Pt 2):117229. doi: 10.1016/j.jep.2023.117229. Epub 2023 Oct 1.
6
Morinda lucida Benth (Rubiaceae): A review of its ethnomedicine, phytochemistry and pharmacology.密花豆(豆科):民族医学、植物化学和药理学研究综述。
J Ethnopharmacol. 2021 Aug 10;276:114055. doi: 10.1016/j.jep.2021.114055. Epub 2021 Mar 19.
7
The genus Actinidia Lindl. (Actinidiaceae): A comprehensive review on its ethnobotany, phytochemistry, and pharmacological properties.中华猕猴桃属(猕猴桃科):民族植物学、植物化学和药理学特性的综合评价。
J Ethnopharmacol. 2024 Jan 30;319(Pt 2):117222. doi: 10.1016/j.jep.2023.117222. Epub 2023 Oct 2.
8
Phytochemical and biological activities of Pinus halepensis mill., and their ethnomedicinal use.油松的植物化学和生物活性及其在民族医学中的应用。
J Ethnopharmacol. 2021 Mar 25;268:113661. doi: 10.1016/j.jep.2020.113661. Epub 2020 Dec 1.
9
The genus Anogeissus: A review on ethnopharmacology, phytochemistry and pharmacology.阿诺吉索斯属:民族药理学、植物化学与药理学综述
J Ethnopharmacol. 2016 Dec 24;194:30-56. doi: 10.1016/j.jep.2016.08.025. Epub 2016 Aug 24.
10
Ethnopharmacology of Hypericum species in China: A comprehensive review on ethnobotany, phytochemistry and pharmacology.中国贯叶金丝桃属植物的民族药理学:民族植物学、植物化学和药理学的综合综述。
J Ethnopharmacol. 2020 May 23;254:112686. doi: 10.1016/j.jep.2020.112686. Epub 2020 Feb 23.

引用本文的文献

1
Preliminary Study on the Geochemical Characterization of Viticis Fructus Cuticular Waxes: From Latitudinal Variation to Origin Authentication.蔓荆子表皮蜡质地球化学特征的初步研究:从纬度变化到产地鉴别
Int J Mol Sci. 2025 Jul 28;26(15):7293. doi: 10.3390/ijms26157293.
2
Multiscale computational evaluation of Vitex trifolia phytochemicals as VEGFR2 inhibitors for targeted breast cancer therapy.作为靶向乳腺癌治疗的血管内皮生长因子受体2(VEGFR2)抑制剂的三叶牡荆植物化学物质的多尺度计算评估
PLoS One. 2025 Jun 10;20(6):e0325255. doi: 10.1371/journal.pone.0325255. eCollection 2025.
3
Investigating the effects of rosmarinic acid on ovarian tissue, inflammatory markers, and sex hormones in polycystic ovary syndrome rats.

本文引用的文献

1
Vitex rotundifolia L. f. and Vitex trifolia L.: A review on their traditional medicine, phytochemistry, pharmacology.牡荆属植物圆叶牡荆和三叶牡荆:传统医学、植物化学、药理学的综述。
J Ethnopharmacol. 2023 May 23;308:116273. doi: 10.1016/j.jep.2023.116273. Epub 2023 Feb 21.
2
Phytochemical Profile, In Vitro Bioactivity Evaluation, In Silico Molecular Docking and ADMET Study of Essential Oils of Three Species Grown in Tarai Region of Uttarakhand.北阿坎德邦特莱地区生长的三种植物精油的植物化学特征、体外生物活性评估、计算机分子对接及药物代谢动力学研究
Antioxidants (Basel). 2022 Sep 27;11(10):1911. doi: 10.3390/antiox11101911.
3
研究迷迭香酸对多囊卵巢综合征大鼠卵巢组织、炎症标志物和性激素的影响。
Physiol Rep. 2025 Apr;13(7):e70304. doi: 10.14814/phy2.70304.
4
The Effects of L-Tartaric Acid on Ovarian Histostereological and Serum Hormonal Analysis in an Animal Model of Polycystic Ovary Syndrome.L-酒石酸对多囊卵巢综合征动物模型卵巢组织形态学和血清激素分析的影响。
Reprod Sci. 2024 Nov;31(11):3583-3594. doi: 10.1007/s43032-024-01699-1. Epub 2024 Sep 27.
Traditional Medicinal Uses, Phytochemistry, Biological Properties, and Health Applications of sp.
某物种的传统药用用途、植物化学、生物学特性及健康应用
Plants (Basel). 2022 Jul 26;11(15):1944. doi: 10.3390/plants11151944.
4
Diterpenoids with α-glucosidase inhibitory activities from the fruits of Vitex trifolia Linn.三叶花椒果实中的具有α-葡萄糖苷酶抑制活性的二萜类化合物
Fitoterapia. 2022 Sep;161:105248. doi: 10.1016/j.fitote.2022.105248. Epub 2022 Jun 29.
5
The Flavonoid Biosynthesis Network in Plants.植物中的类黄酮生物合成网络。
Int J Mol Sci. 2021 Nov 26;22(23):12824. doi: 10.3390/ijms222312824.
6
Linarin, a Glycosylated Flavonoid, with Potential Therapeutic Attributes: A Comprehensive Review.木犀草苷,一种糖基化黄酮类化合物,具有潜在治疗特性:综述
Pharmaceuticals (Basel). 2021 Oct 29;14(11):1104. doi: 10.3390/ph14111104.
7
Taxonomic Insights and Its Type Cyclization Correlation of Volatile Sesquiterpenes in Species and Potential Source Insecticidal Compounds: A Review.种挥发性倍半萜的分类学见解及其类型环化相关性和潜在的源杀虫化合物:综述。
Molecules. 2021 Oct 23;26(21):6405. doi: 10.3390/molecules26216405.
8
New Xanthones with Antiagricultural Fungal Pathogen Activities from the Endophytic Fungus L17.从内生真菌 L17 中分离得到具有抗农业真菌病原体活性的新紫檀烷酮。
J Agric Food Chem. 2021 Sep 29;69(38):11216-11224. doi: 10.1021/acs.jafc.1c03513. Epub 2021 Sep 19.
9
Medicinal plants used against hepatic disorders in Bangladesh: A comprehensive review.用于治疗孟加拉国肝脏疾病的药用植物:全面综述。
J Ethnopharmacol. 2022 Jan 10;282:114588. doi: 10.1016/j.jep.2021.114588. Epub 2021 Sep 1.
10
Medicinal Plants for Anti-neurodegenerative diseases in West Africa.西非用于防治神经退行性疾病的药用植物。
J Ethnopharmacol. 2022 Mar 1;285:114468. doi: 10.1016/j.jep.2021.114468. Epub 2021 Aug 11.