Suppr超能文献

具有应用于前列腺癌登记数据的生存终点的时空贝叶斯加速失效时间模型。

Spatial-temporal Bayesian accelerated failure time models for survival endpoints with applications to prostate cancer registry data.

机构信息

Department of Population and Quantitative Health Sciences, Case Western Reserve University, Cleveland, OH, USA.

Novartis Pharmaceuticals, East Hanover, NJ, USA.

出版信息

BMC Med Res Methodol. 2024 Apr 8;24(1):86. doi: 10.1186/s12874-024-02201-w.

Abstract

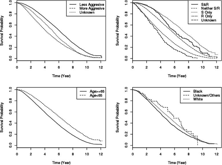
Prostate cancer is the most common cancer after non-melanoma skin cancer and the second leading cause of cancer deaths in US men. Its incidence and mortality rates vary substantially across geographical regions and over time, with large disparities by race, geographic regions (i.e., Appalachia), among others. The widely used Cox proportional hazards model is usually not applicable in such scenarios owing to the violation of the proportional hazards assumption. In this paper, we fit Bayesian accelerated failure time models for the analysis of prostate cancer survival and take dependent spatial structures and temporal information into account by incorporating random effects with multivariate conditional autoregressive priors. In particular, we relax the proportional hazards assumption, consider flexible frailty structures in space and time, and also explore strategies for handling the temporal variable. The parameter estimation and inference are based on a Monte Carlo Markov chain technique under a Bayesian framework. The deviance information criterion is used to check goodness of fit and to select the best candidate model. Extensive simulations are performed to examine and compare the performances of models in different contexts. Finally, we illustrate our approach by using the 2004-2014 Pennsylvania Prostate Cancer Registry data to explore spatial-temporal heterogeneity in overall survival and identify significant risk factors.

摘要

前列腺癌是继非黑色素瘤皮肤癌之后美国男性中最常见的癌症,也是癌症死亡的第二大主要原因。其发病率和死亡率在地理区域和时间上存在很大差异,存在着巨大的种族、地理区域(即阿巴拉契亚地区)等差异。由于违反比例风险假设,广泛使用的 Cox 比例风险模型通常不适用于这种情况。在本文中,我们拟合了贝叶斯加速失效时间模型,用于分析前列腺癌的生存情况,并通过使用具有多元条件自回归先验的随机效应来考虑空间和时间上的相关结构和时间信息。特别是,我们放宽了比例风险假设,考虑了时空上灵活的脆弱性结构,还探讨了处理时间变量的策略。参数估计和推断是基于贝叶斯框架下的蒙特卡罗马尔可夫链技术。偏差信息准则用于检查拟合优度,并选择最佳候选模型。进行了广泛的模拟,以在不同情况下检查和比较模型的性能。最后,我们使用 2004-2014 年宾夕法尼亚州前列腺癌登记处的数据来说明我们的方法,以探讨总生存中的时空异质性,并确定显著的风险因素。

https://cdn.ncbi.nlm.nih.gov/pmc/blobs/5188/11003030/60b229780400/12874_2024_2201_Fig1_HTML.jpg

文献检索

告别复杂PubMed语法,用中文像聊天一样搜索,搜遍4000万医学文献。AI智能推荐,让科研检索更轻松。

立即免费搜索

文件翻译

保留排版,准确专业,支持PDF/Word/PPT等文件格式,支持 12+语言互译。

免费翻译文档

深度研究

AI帮你快速写综述,25分钟生成高质量综述,智能提取关键信息,辅助科研写作。

立即免费体验