Suppr超能文献

利用动力学研究和响应面法,通过纳米零价铁和纳米铜对医院废水中左氧氟沙星及抗生素抗性基因的吸附去除

Adsorptive removal of levofloxacin and antibiotic resistance genes from hospital wastewater by nano-zero-valent iron and nano-copper using kinetic studies and response surface methodology.

作者信息

Hamad Mohammed Taha Moustafa Hussien, El-Sesy Marwa E

机构信息

Central Laboratory for Environmental Quality Monitoring, National Water Research Center, Cairo, Egypt.

出版信息

Bioresour Bioprocess. 2023 Jan 9;10(1):1. doi: 10.1186/s40643-022-00616-1.

Abstract

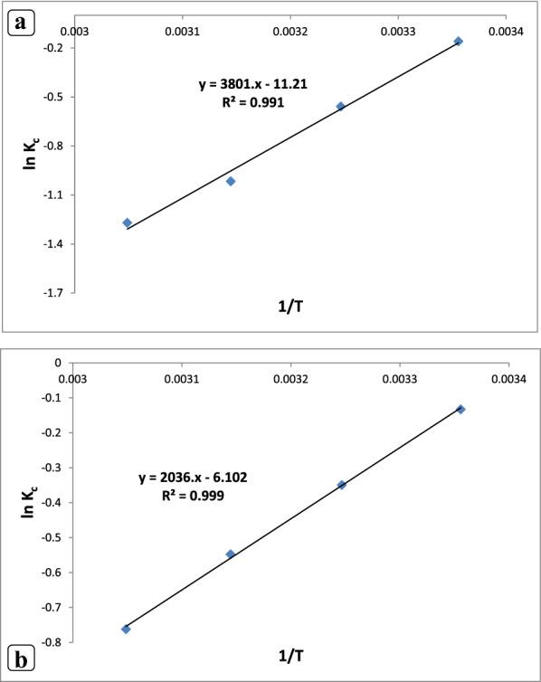
In the twenty-first century, water contamination with pharmaceutical residues is becoming a global phenomenon and a threat. Antibiotic residues and antibiotic resistance genes (ARGs) are recognized as new emerging water pollutants because they can negatively affect aquatic ecosystems and human health, thereby posing a complex environmental problem. These nano-adsorbents of the next generation can remove these pollutants at low concentrations. This study focuses on the chemical synthesis of copper oxide nanoparticles (CuONPs) and nano-zero-valent iron (nZVI) used as nano-adsorbents for levofloxacin removal from water samples and antibiotic-resistant genes. The CuONPs and nZVI are initially characterized by transmission electron microscopy, scanning electron microscopy, and X-ray diffraction. The levofloxacin adsorption isotherm on the CuONPS and nZVI shows the best fit with the Langmuir isotherm model, exhibiting correlation coefficients (R) of 0.993 and 0.999, respectively. The adsorption activities of CuONPS and nZVI were fitted to a pseudo-second-order kinetic model with correlation coefficients (R) of 0.983 and 0.994, respectively. The maximum levofloxacin removal capacity was observed at (89%), (84%), (89%), (88%) and (71.6) at pH 7 and adsorbent dose(0.06 mg/L), initial LEV concentration (1 mg/L), temperature 25 °C, and contact time 120 min for CuONPs. Removal efficiency was (91%), (90.6%), (91%), (89%), and (80%), at pH 7, adsorbent dose(0.06), initial LEV concentration (1 mg/L), temperature 35 °C, and contact time 120 min. The levofloxacin adsorption is an exothermic process for nZVI and CuONPs, according to thermodynamic analysis. A thermodynamic analysis indicated that each adsorption process is spontaneous. Several genera, including clinically pathogenic bacteria (e.g., Acinetobacter_baumannii, Helicobacter_pylori, Escherichia_coli, Pseudomonas_aeruginosa, Clostridium_beijerinckii, Escherichia/Shigella_coli, Helicobacter_cetorum, Lactobacillus_gasseri, Bacillus_cereus, Deinococcus_radiodurans, Rhodobacter_sphaeroides, Propionibacterium_acnes, and Bacteroides_vulgatus) were relatively abundant in hospital wastewater. Furthermore, 37 antibiotic resistance genes (ARGs) were quantified in hospital wastewater. The results demonstrated that 95.01% of nZVI and 91.4% of CuONPs are effective adsorbents for removing antibiotic-resistant bacteria from hospital effluent. The synthesized nZVI and CuONPs have excellent reusability and can be considered cost effective and eco-friendly adsorbents.

摘要

在21世纪,药物残留对水的污染正成为一种全球现象和威胁。抗生素残留和抗生素抗性基因(ARGs)被认为是新出现的水污染物,因为它们会对水生生态系统和人类健康产生负面影响,从而构成一个复杂的环境问题。这些新一代的纳米吸附剂能够在低浓度下去除这些污染物。本研究聚焦于氧化铜纳米颗粒(CuONPs)和纳米零价铁(nZVI)的化学合成,它们被用作纳米吸附剂,用于从水样中去除左氧氟沙星和抗生素抗性基因。CuONPs和nZVI最初通过透射电子显微镜、扫描电子显微镜和X射线衍射进行表征。左氧氟沙星在CuONPS和nZVI上的吸附等温线与朗缪尔等温线模型拟合得最好,相关系数(R)分别为0.993和0.999。CuONPS和nZVI的吸附活性拟合为伪二级动力学模型,相关系数(R)分别为0.983和0.994。在pH值为7、吸附剂剂量(0.06mg/L)、初始左氧氟沙星浓度(1mg/L)、温度25°C和接触时间120分钟的条件下,CuONPs对左氧氟沙星的最大去除率分别为(89%)、(84%)、(89%)、(88%)和(71.6)。在pH值为7、吸附剂剂量(0.06)、初始左氧氟沙星浓度(1mg/L)、温度35°C和接触时间120分钟的条件下,去除效率分别为(91%)、(90.6%)、(91%)、(89%)和(80%)。根据热力学分析,左氧氟沙星的吸附过程对于nZVI和CuONPs来说是一个放热过程。热力学分析表明,每个吸附过程都是自发的。包括临床病原菌(如鲍曼不动杆菌、幽门螺杆菌、大肠杆菌、铜绿假单胞菌、拜氏梭菌、大肠埃希氏菌/志贺氏菌、鲸幽门螺杆菌、加氏乳杆菌、蜡样芽孢杆菌、耐辐射球菌、球形红杆菌、痤疮丙酸杆菌和脆弱拟杆菌)在内的几个属在医院废水中相对丰富。此外,在医院废水中对37种抗生素抗性基因(ARGs)进行了定量分析。结果表明,95.01%的nZVI和91.4%的CuONPs是从医院废水中去除抗生素抗性细菌的有效吸附剂。合成的nZVI和CuONPs具有优异的可重复使用性,可以被认为是具有成本效益和生态友好的吸附剂。

https://cdn.ncbi.nlm.nih.gov/pmc/blobs/ef31/10992136/3c6cf0863c94/40643_2022_616_Fig1_HTML.jpg

文献AI研究员

20分钟写一篇综述,助力文献阅读效率提升50倍。

立即体验

用中文搜PubMed

大模型驱动的PubMed中文搜索引擎

马上搜索

文档翻译

学术文献翻译模型,支持多种主流文档格式。

立即体验