Suppr超能文献

长时间玩游戏的玩家是否易患电子血栓症?

Are Gamers Prone to eThrombosis during Long Gaming Sessions?

作者信息

Krarup Kasper B, Krarup Henrik B, Mørk Morten, Lundbye-Christensen Søren, Handberg Aase, Nguyen Hien T T, Pedersen Inge S, Kristensen Søren R

机构信息

Department of Geriatrics, Aalborg University Hospital, 9000 Aalborg, Denmark.

Sports Medicine Center, Region Hospital North Jutland, 9900 Frederikshavn, Denmark.

出版信息

Life (Basel). 2024 Apr 18;14(4):525. doi: 10.3390/life14040525.

Abstract

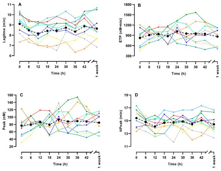
During the last two decades, several cases of venous thrombosis (VTE) after a prolonged period at a computer have been described, denominated as "eThrombosis". Video gaming on a computer has become very popular and can be a social activity where several players gather to play against each other or in a virtual environment for several days ("LAN (i.e., ocal rea etwork) parties") where the participants are sedentary and consuming calorie-rich food items. The aim of this study was to investigate potential coagulation activation during a 42 h LAN party. Nine male gamers volunteered for the LAN party. Citrated blood was sampled before and every 6 h, and plasma was analyzed for thrombin generation, thrombin-antithrombin complexes (TAT), prothrombin fragment 1 + 2 (F1 + 2), and D-dimer. Thrombin generation increased slightly but not significantly during the LAN party, whereas the coagulation activation markers were unchanged. These results do not indicate that the coagulation system is activated significantly during 42 h of gaming with minimal physical activity. Although increased activity cannot be excluded, it does not directly indicate a risk of VTE in general.

摘要

在过去二十年中,已有数例在长时间使用电脑后发生静脉血栓形成(VTE)的病例被描述,称为“电子血栓形成”。在电脑上玩电子游戏变得非常流行,它可以成为一种社交活动,即多个玩家聚集在一起相互对战,或者在虚拟环境中玩上几天(“局域网(即本地区域网络)聚会”),在这种聚会中参与者久坐不动且食用高热量食物。本研究的目的是调查在为期42小时的局域网聚会期间潜在的凝血激活情况。九名男性游戏玩家自愿参加了局域网聚会。在聚会前及每6小时采集枸橼酸盐抗凝血,分析血浆中的凝血酶生成、凝血酶 - 抗凝血酶复合物(TAT)、凝血酶原片段1 + 2(F1 + 2)和D - 二聚体。在局域网聚会期间,凝血酶生成略有增加但不显著,而凝血激活标志物未发生变化。这些结果并不表明在42小时极少体力活动的游戏过程中凝血系统被显著激活。虽然不能排除活动增加的情况,但这一般并不直接表明存在VTE风险。

https://cdn.ncbi.nlm.nih.gov/pmc/blobs/fa3e/11051545/59cb8bb36ae2/life-14-00525-g001.jpg

文献AI研究员

20分钟写一篇综述,助力文献阅读效率提升50倍。

立即体验

用中文搜PubMed

大模型驱动的PubMed中文搜索引擎

马上搜索

文档翻译

学术文献翻译模型,支持多种主流文档格式。

立即体验