Suppr超能文献

通过构建三维亲水网络对具有耐化学性的聚四氟乙烯(PTFE)毛细管膜进行亲水化改性

Hydrophilic Modification of Polytetrafluoroethylene (PTFE) Capillary Membranes with Chemical Resistance by Constructing Three-Dimensional Hydrophilic Networks.

作者信息

Hou Mingpeng, Li Qiuying, Che Yanchao

机构信息

School of Material Science and Engineering, East China University of Science and Technology, Shanghai 200237, China.

Zhenjiang Fluorine Innovation Material Technology Co., Ltd., Danyang 212322, China.

出版信息

Polymers (Basel). 2024 Apr 19;16(8):1154. doi: 10.3390/polym16081154.

Abstract

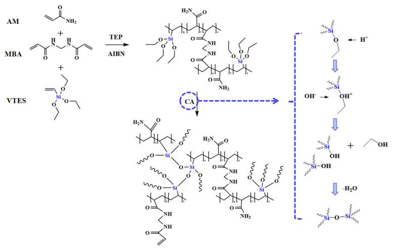
Polytetrafluoroethylene (PTFE) capillary membranes, known for the great chemical resistance and thermal stability, are commonly used in membrane separation technologies. However, the strong hydrophobic property of PTFE limits its application in water filtration. This study introduces a method whereby acrylamide (AM), N, N-methylene bisacrylamide (MBA), and vinyltriethoxysilane (VTES) undergo free radical copolymerization, followed by the hydrolysis-condensation of silane bonds, resulting in the formation of hydrophilic three-dimensional networks physically intertwined with the PTFE capillary membranes. The modified PTFE capillary membranes prepared through this method exhibit excellent hydrophilic properties, whose water contact angles are decreased by 24.3-61.2%, and increasing pure water flux from 0 to 1732.7-2666.0 L/m·h. The enhancement in hydrophilicity of the modified PTFE capillary membranes is attributed to the introduction of hydrophilic groups such as amide bonds and siloxane bonds, along with an increase in surface roughness. Moreover, the modified PTFE capillary membranes exhibit chemical resistance, maintaining the hydrophilicity even after immersion in strong acidic (3 wt% HCl), alkaline (3 wt% NaOH), and oxidative (3 wt% NaClO) solutions for 2 weeks. In conclusion, this promising method yields modified PTFE capillary membranes with great hydrophilicity and chemical resistance, presenting substantial potential for applications in the field of water filtration.

摘要

聚四氟乙烯(PTFE)毛细管膜以其优异的耐化学性和热稳定性而闻名,常用于膜分离技术。然而,PTFE的强疏水性限制了其在水过滤中的应用。本研究介绍了一种方法,通过该方法丙烯酰胺(AM)、N,N-亚甲基双丙烯酰胺(MBA)和乙烯基三乙氧基硅烷(VTES)进行自由基共聚,随后硅烷键发生水解缩合,从而形成与PTFE毛细管膜物理缠结的亲水性三维网络。通过该方法制备的改性PTFE毛细管膜具有优异的亲水性,其水接触角降低了24.3%-61.2%,纯水通量从0增加到1732.7-2666.0 L/m·h。改性PTFE毛细管膜亲水性的增强归因于酰胺键和硅氧烷键等亲水基团的引入以及表面粗糙度的增加。此外,改性PTFE毛细管膜具有耐化学性,即使在强酸性(3 wt% HCl)、碱性(3 wt% NaOH)和氧化性(3 wt% NaClO)溶液中浸泡2周后仍保持亲水性。总之,这种有前景的方法制备出了具有优异亲水性和耐化学性的改性PTFE毛细管膜,在水过滤领域具有巨大的应用潜力。

https://cdn.ncbi.nlm.nih.gov/pmc/blobs/171d/11053467/23e1e1a902d8/polymers-16-01154-sch001.jpg

文献检索

告别复杂PubMed语法,用中文像聊天一样搜索,搜遍4000万医学文献。AI智能推荐,让科研检索更轻松。

立即免费搜索

文件翻译

保留排版,准确专业,支持PDF/Word/PPT等文件格式,支持 12+语言互译。

免费翻译文档

深度研究

AI帮你快速写综述,25分钟生成高质量综述,智能提取关键信息,辅助科研写作。

立即免费体验