• 文献检索
  • 文档翻译
  • 深度研究
  • 学术资讯
  • Suppr Zotero 插件Zotero 插件
  • 邀请有礼
  • 套餐&价格
  • 历史记录
应用&插件
Suppr Zotero 插件Zotero 插件浏览器插件Mac 客户端Windows 客户端微信小程序
定价
高级版会员购买积分包购买API积分包
服务
文献检索文档翻译深度研究API 文档MCP 服务
关于我们
关于 Suppr公司介绍联系我们用户协议隐私条款
关注我们

Suppr 超能文献

核心技术专利:CN118964589B侵权必究
粤ICP备2023148730 号-1Suppr @ 2026

文献检索

告别复杂PubMed语法,用中文像聊天一样搜索,搜遍4000万医学文献。AI智能推荐,让科研检索更轻松。

立即免费搜索

文件翻译

保留排版,准确专业,支持PDF/Word/PPT等文件格式,支持 12+语言互译。

免费翻译文档

深度研究

AI帮你快速写综述,25分钟生成高质量综述,智能提取关键信息,辅助科研写作。

立即免费体验

数字食物频率问卷评估对挪威基于食物的膳食指南和其他国家生活方式建议的依从性:仪器验证研究。

Digital Food Frequency Questionnaire Assessing Adherence to the Norwegian Food-Based Dietary Guidelines and Other National Lifestyle Recommendations: Instrument Validation Study.

机构信息

Department of Nutrition, Institute of Basic Medical Sciences, University of Oslo, Oslo, Norway.

Section for Colorectal Cancer Screening, Cancer Registry of Norway, Oslo, Norway.

出版信息

J Med Internet Res. 2024 Apr 30;26:e53442. doi: 10.2196/53442.

DOI:10.2196/53442
PMID:38687986
原文链接:https://pmc.ncbi.nlm.nih.gov/articles/PMC11094607/
Abstract

BACKGROUND

Valid assessment tools are needed when investigating adherence to national dietary and lifestyle guidelines.

OBJECTIVE

The relative validity of the new digital food frequency questionnaire, the DIGIKOST-FFQ, against 7-day weighed food records and activity sensors was investigated.

METHODS

In total, 77 participants were included in the validation study and completed the DIGIKOST-FFQ and the weighed food record, and of these, 56 (73%) also used the activity sensors. The DIGIKOST-FFQ estimates the intake of foods according to the Norwegian food-based dietary guidelines (FBDGs) in addition to lifestyle factors.

RESULTS

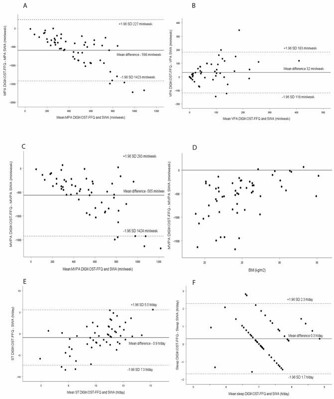
At the group level, the DIGIKOST-FFQ showed good validity in estimating intakes according to the Norwegian FBDG. The median differences were small and well below portion sizes for all foods except "water" (median difference 230 g/day). The DIGIKOST-FFQ was able to rank individual intakes for all foods (r=0.2-0.7). However, ranking estimates of vegetable intakes should be interpreted with caution. Between 69% and 88% of the participants were classified into the same or adjacent quartile for foods and between 71% and 82% for different activity intensities. The Bland-Altman plots showed acceptable agreements between DIGIKOST-FFQ and the reference methods. The absolute amount of time in "moderate to vigorous intensity" was underestimated with the DIGIKOST-FFQ. However, estimated time in "moderate to vigorous intensity," "vigorous intensity," and "sedentary time" showed acceptable correlations and good agreement between the methods. The DIGIKOST-FFQ was able to identify adherence to the Norwegian FBDG and physical activity recommendations.

CONCLUSIONS

The DIGIKOST-FFQ gave valid estimates of dietary intakes and was able to identify individuals with different degrees of adherence to the Norwegian FBDG and physical activity recommendations. Moderate physical activity was underreported, water was overreported, and vegetables showed poor correlation, which are important to consider when interpreting the data. Good agreement was observed between the methods in estimating dietary intakes and time in "moderate to vigorous physical activity," "sedentary time," and "sleep."

摘要

背景

在调查对国家饮食和生活方式指南的依从性时,需要使用有效的评估工具。

目的

研究新的数字食物频率问卷 DIGIKOST-FFQ 相对于 7 天称重食物记录和活动传感器的相对有效性。

方法

共有 77 名参与者参与了验证研究,他们完成了 DIGIKOST-FFQ 和称重食物记录,其中 56 名(73%)还使用了活动传感器。DIGIKOST-FFQ 根据挪威基于食物的膳食指南(FBDG)以及生活方式因素来估计食物的摄入量。

结果

在群体水平上,DIGIKOST-FFQ 对估计符合挪威 FBDG 的摄入量具有良好的有效性。所有食物的中位数差异都很小,远低于份量大小,除了“水”(中位数差异为 230 克/天)。DIGIKOST-FFQ 能够对所有食物的个体摄入量进行排名(r=0.2-0.7)。然而,对蔬菜摄入量的排名估计应谨慎解释。对于所有食物,69%至 88%的参与者被归类为相同或相邻的四分位数,对于不同活动强度,有 71%至 82%的参与者被归类为相同或相邻的四分位数。Bland-Altman 图显示 DIGIKOST-FFQ 与参考方法之间具有可接受的一致性。DIGIKOST-FFQ 低估了“中等至剧烈强度”的时间量。然而,估计的“中等至剧烈强度”、“剧烈强度”和“久坐时间”之间的时间具有可接受的相关性,并且方法之间具有良好的一致性。DIGIKOST-FFQ 能够识别对挪威 FBDG 和身体活动建议的依从性。

结论

DIGIKOST-FFQ 对膳食摄入量的估计具有有效性,并且能够识别出对挪威 FBDG 和身体活动建议的不同程度的依从性的个体。中度体力活动被低估,水被高估,蔬菜的相关性较差,在解释数据时需要考虑这些因素。在估计膳食摄入量和“中等至剧烈体力活动”、“久坐时间”和“睡眠”时间方面,方法之间具有良好的一致性。

https://cdn.ncbi.nlm.nih.gov/pmc/blobs/fcd4/11094607/77c05a046d51/jmir_v26i1e53442_fig4.jpg
https://cdn.ncbi.nlm.nih.gov/pmc/blobs/fcd4/11094607/9a821a02bbec/jmir_v26i1e53442_fig1.jpg
https://cdn.ncbi.nlm.nih.gov/pmc/blobs/fcd4/11094607/a94533a8340b/jmir_v26i1e53442_fig2.jpg
https://cdn.ncbi.nlm.nih.gov/pmc/blobs/fcd4/11094607/3d08a50b5bef/jmir_v26i1e53442_fig3.jpg
https://cdn.ncbi.nlm.nih.gov/pmc/blobs/fcd4/11094607/77c05a046d51/jmir_v26i1e53442_fig4.jpg
https://cdn.ncbi.nlm.nih.gov/pmc/blobs/fcd4/11094607/9a821a02bbec/jmir_v26i1e53442_fig1.jpg
https://cdn.ncbi.nlm.nih.gov/pmc/blobs/fcd4/11094607/a94533a8340b/jmir_v26i1e53442_fig2.jpg
https://cdn.ncbi.nlm.nih.gov/pmc/blobs/fcd4/11094607/3d08a50b5bef/jmir_v26i1e53442_fig3.jpg
https://cdn.ncbi.nlm.nih.gov/pmc/blobs/fcd4/11094607/77c05a046d51/jmir_v26i1e53442_fig4.jpg

相似文献

1
Digital Food Frequency Questionnaire Assessing Adherence to the Norwegian Food-Based Dietary Guidelines and Other National Lifestyle Recommendations: Instrument Validation Study.数字食物频率问卷评估对挪威基于食物的膳食指南和其他国家生活方式建议的依从性:仪器验证研究。
J Med Internet Res. 2024 Apr 30;26:e53442. doi: 10.2196/53442.
2
The relative validity of a semiquantitative food frequency questionnaire among pregnant women in the United Arab Emirates: The Mutaba'ah study.半定量食物频率问卷在阿联酋孕妇中的相对效度:Mutaba'ah研究
Nutr Health. 2024 Jan 31:2601060231224010. doi: 10.1177/02601060231224010.
3
[Comparison between food frequency questionnaire and 24-hour dietary recall or weighing methods in evaluating dietary nutrient intakes of pregnant women].[食物频率问卷与24小时膳食回顾法或称重法在评估孕妇膳食营养素摄入量方面的比较]
Wei Sheng Yan Jiu. 2025 May;54(3):455-464. doi: 10.19813/j.cnki.weishengyanjiu.2025.03.016.
4
Reproducibility and comparison of a digital food frequency questionnaire (DIGIKOST-FFQ) assessing adherence to national diet and lifestyle recommendations.评估对国家饮食和生活方式建议依从性的数字食物频率问卷(DIGIKOST-FFQ)的再现性和比较
Food Nutr Res. 2024 Aug 26;68. doi: 10.29219/fnr.v68.10366. eCollection 2024.
5
Evaluation of the Reliability and Validity of a Food Frequency Questionnaire Using Three-Day 24-Hour Dietary Recalls: A Study in Fujian, China.使用三日24小时膳食回顾法评估食物频率问卷的信效度:一项在中国福建开展的研究。
Nutrients. 2025 Jul 9;17(14):2270. doi: 10.3390/nu17142270.
6
Dietary assessment in intermittent fasting: validation of a short food frequency questionnaire vs. food records in diurnal dry fasting and time-restricted eating.间歇性禁食中的饮食评估:一份简短食物频率问卷与日间干禁食和限时进食中的食物记录的有效性比较
Front Nutr. 2025 Jul 28;12:1552990. doi: 10.3389/fnut.2025.1552990. eCollection 2025.
7
Prescription of Controlled Substances: Benefits and Risks管制药品的处方:益处与风险
8
A Short Digital Food Frequency Questionnaire (DIGIKOST-FFQ) Assessing Dietary Intake and Other Lifestyle Factors Among Norwegians: Qualitative Evaluation With Focus Group Interviews and Usability Testing.一种评估挪威人饮食摄入量及其他生活方式因素的简短数字食物频率问卷(DIGIKOST-FFQ):基于焦点小组访谈和可用性测试的定性评估
JMIR Form Res. 2022 Nov 8;6(11):e35933. doi: 10.2196/35933.
9
Evaluation of Mobile Applications as an Alternative to Weighed Food Records and Food Frequency Questionnaires for Dietary Assessment in Japan.在日本,评估移动应用程序作为称重食物记录和食物频率问卷之外的另一种膳食评估方法。
Cureus. 2025 Jul 11;17(7):e87725. doi: 10.7759/cureus.87725. eCollection 2025 Jul.
10
Dietary Intake Assessment Using a Novel, Generic Meal-Based Recall and a 24-Hour Recall: Comparison Study.基于新型通用膳食回忆法和 24 小时回忆法的膳食摄入量评估:比较研究。
J Med Internet Res. 2024 Feb 14;26:e48817. doi: 10.2196/48817.

引用本文的文献

1
Experiences with healthy eating among individuals with opioid dependence: insights from a dietary assessment.阿片类药物依赖者的健康饮食体验:饮食评估的见解
BMC Nutr. 2025 Jun 5;11(1):111. doi: 10.1186/s40795-025-01106-1.
2
Validation of a Food Frequency Questionnaire: VioScreen-Allergy.验证食物频率问卷:VioScreen-Allergy。
Nutrients. 2024 Nov 2;16(21):3772. doi: 10.3390/nu16213772.
3
Reproducibility and comparison of a digital food frequency questionnaire (DIGIKOST-FFQ) assessing adherence to national diet and lifestyle recommendations.

本文引用的文献

1
Development of the Norwegian diet index and the Norwegian lifestyle index and evaluation in a national survey.挪威饮食指数和挪威生活方式指数的制定及其在一项全国性调查中的评估。
Food Nutr Res. 2023 Sep 29;67. doi: 10.29219/fnr.v67.9217. eCollection 2023.
2
A Short Digital Food Frequency Questionnaire (DIGIKOST-FFQ) Assessing Dietary Intake and Other Lifestyle Factors Among Norwegians: Qualitative Evaluation With Focus Group Interviews and Usability Testing.一种评估挪威人饮食摄入量及其他生活方式因素的简短数字食物频率问卷(DIGIKOST-FFQ):基于焦点小组访谈和可用性测试的定性评估
JMIR Form Res. 2022 Nov 8;6(11):e35933. doi: 10.2196/35933.
3
评估对国家饮食和生活方式建议依从性的数字食物频率问卷(DIGIKOST-FFQ)的再现性和比较
Food Nutr Res. 2024 Aug 26;68. doi: 10.29219/fnr.v68.10366. eCollection 2024.
4
Development and Evaluation of the Reliability of a Semi-Quantitative Food Frequency Questionnaire to Assess the Intake in the Serbian Population.开发并评估半定量食物频率问卷在评估塞尔维亚人群摄入量方面的可靠性。
Nutrients. 2024 Jul 31;16(15):2490. doi: 10.3390/nu16152490.
Social Media Use for Research Participant Recruitment: Integrative Literature Review.
社交媒体在研究参与者招募中的应用:综合文献回顾。
J Med Internet Res. 2022 Aug 4;24(8):e38015. doi: 10.2196/38015.
4
Measurement Error Affecting Web- and Paper-Based Dietary Assessment Instruments: Insights From the Multi-Cohort Eating and Activity Study for Understanding Reporting Error.影响基于网络和纸质的膳食评估工具的测量误差:来自多队列饮食和活动研究的新视角,以了解报告误差。
Am J Epidemiol. 2022 May 20;191(6):1125-1139. doi: 10.1093/aje/kwac026.
5
Reproducibility and feasibility of an online self-administered food frequency questionnaire for use among adult Norwegians.供挪威成年人使用的在线自我管理食物频率问卷的可重复性和可行性。
Food Nutr Res. 2021 Nov 10;65. doi: 10.29219/fnr.v65.7561. eCollection 2021.
6
The accuracy of self-reported physical activity questionnaires varies with sex and body mass index.自我报告的体力活动问卷的准确性因性别和体重指数而异。
PLoS One. 2021 Aug 11;16(8):e0256008. doi: 10.1371/journal.pone.0256008. eCollection 2021.
7
Best Practices for Conducting and Interpreting Studies to Validate Self-Report Dietary Assessment Methods.进行和解释研究以验证自我报告膳食评估方法的最佳实践。
J Acad Nutr Diet. 2019 Nov;119(11):1801-1816. doi: 10.1016/j.jand.2019.06.010. Epub 2019 Sep 11.
8
Dietary Intake and Physical Activity Assessment: Current Tools, Techniques, and Technologies for Use in Adult Populations.膳食摄入和身体活动评估:成人人群中使用的当前工具、技术和技术。
Am J Prev Med. 2018 Oct;55(4):e93-e104. doi: 10.1016/j.amepre.2018.06.011.
9
Validation of two short questionnaires assessing physical activity in colorectal cancer patients.评估结直肠癌患者身体活动情况的两份简短问卷的验证
BMC Sports Sci Med Rehabil. 2018 May 29;10:8. doi: 10.1186/s13102-018-0096-2. eCollection 2018.
10
Is misreporting of dietary intake by weighed food records or 24-hour recalls food specific?称重食物记录或 24 小时回顾法所报告的饮食摄入量是否存在食物特异性错误?
Eur J Clin Nutr. 2018 Jul;72(7):1026-1034. doi: 10.1038/s41430-018-0199-6. Epub 2018 May 23.