Suppr超能文献

心电图生存预测模型(ECG-surv):一种基于深度学习的模型,用于根据12导联心电图预测1年死亡率的时间。

ECG-surv: A deep learning-based model to predict time to 1-year mortality from 12-lead electrocardiogram.

作者信息

Lin Ching-Heng, Liu Zhi-Yong, Chen Jung-Sheng, Fann Yang C, Wen Ming-Shien, Kuo Chang-Fu

机构信息

Center for Artificial Intelligence in Medicine, Chang Gung Memorial Hospital, Taoyuan, Taiwan; Bachelor Program in Artificial Intelligence, Chang Gung University, Taoyuan, Taiwan.

Center for Artificial Intelligence in Medicine, Chang Gung Memorial Hospital, Taoyuan, Taiwan.

出版信息

Biomed J. 2025 Feb;48(1):100732. doi: 10.1016/j.bj.2024.100732. Epub 2024 May 1.

Abstract

BACKGROUND

Electrocardiogram (ECG) abnormalities have demonstrated potential as prognostic indicators of patient survival. However, the traditional statistical approach is constrained by structured data input, limiting its ability to fully leverage the predictive value of ECG data in prognostic modeling.

METHODS

This study aims to introduce and evaluate a deep-learning model to simultaneously handle censored data and unstructured ECG data for survival analysis. We herein introduce a novel deep neural network called ECG-surv, which includes a feature extraction neural network and a time-to-event analysis neural network. The proposed model is specifically designed to predict the time to 1-year mortality by extracting and analyzing unique features from 12-lead ECG data. ECG-surv was evaluated using both an independent test set and an external set, which were collected using different ECG devices.

RESULTS

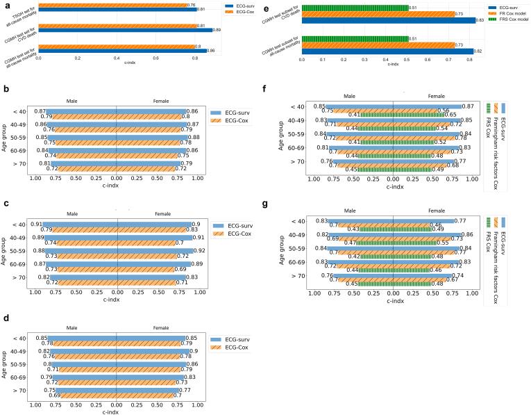
The performance of ECG-surv surpassed that of the Cox proportional model, which included demographics and ECG waveform parameters, in predicting 1-year all-cause mortality, with a significantly higher concordance index (C-index) in ECG-surv than in the Cox model using both the independent test set (0.860 [95% CI: 0.859-0.861] vs. 0.796 [95% CI: 0.791-0.800]) and the external test set (0.813 [95% CI: 0.807-0.814] vs. 0.764 [95% CI: 0.755-0.770]). ECG-surv also demonstrated exceptional predictive ability for cardiovascular death (C-index of 0.891 [95% CI: 0.890-0.893]), outperforming the Framingham risk Cox model (C-index of 0.734 [95% CI: 0.715-0.752]).

CONCLUSION

ECG-surv effectively utilized unstructured ECG data in a survival analysis. It outperformed traditional statistical approaches in predicting 1-year all-cause mortality and cardiovascular death, which makes it a valuable tool for predicting patient survival.

摘要

背景

心电图(ECG)异常已被证明具有作为患者生存预后指标的潜力。然而,传统的统计方法受到结构化数据输入的限制,限制了其在预后建模中充分利用ECG数据预测价值的能力。

方法

本研究旨在引入并评估一种深度学习模型,以同时处理删失数据和非结构化ECG数据进行生存分析。我们在此介绍一种名为ECG-surv的新型深度神经网络,它包括一个特征提取神经网络和一个事件发生时间分析神经网络。所提出的模型专门设计用于通过从12导联ECG数据中提取和分析独特特征来预测1年死亡率。使用独立测试集和外部集对ECG-surv进行评估,这两个数据集是使用不同的ECG设备收集的。

结果

在预测1年全因死亡率方面,ECG-surv的性能超过了包含人口统计学和ECG波形参数的Cox比例模型,在独立测试集(0.860 [95% CI:0.859 - 0.861] 对 0.796 [95% CI:0.791 - 0.800])和外部测试集(0.813 [95% CI:0.807 - 0.814] 对 0.764 [95% CI:0.755 - 0.770])中,ECG-surv的一致性指数(C指数)均显著高于Cox模型。ECG-surv在预测心血管死亡方面也表现出卓越的预测能力(C指数为0.891 [95% CI:0.890 - 0.893]),优于弗雷明汉风险Cox模型(C指数为0.734 [95% CI:0.715 - 0.752])。

结论

ECG-surv在生存分析中有效地利用了非结构化ECG数据。在预测1年全因死亡率和心血管死亡方面,它优于传统统计方法,这使其成为预测患者生存的有价值工具。

https://cdn.ncbi.nlm.nih.gov/pmc/blobs/7d69/11751416/845c146973a3/gr1.jpg

文献AI研究员

20分钟写一篇综述,助力文献阅读效率提升50倍。

立即体验

用中文搜PubMed

大模型驱动的PubMed中文搜索引擎

马上搜索

文档翻译

学术文献翻译模型,支持多种主流文档格式。

立即体验