School of Biodiversity, One Health and Veterinary Medicine, University of Glasgow, Glasgow, United Kingdom.
Department of Disease Control, London School of Hygiene & Tropical Medicine, London, United Kingdom.
Elife. 2024 May 16;12:RP88616. doi: 10.7554/eLife.88616.
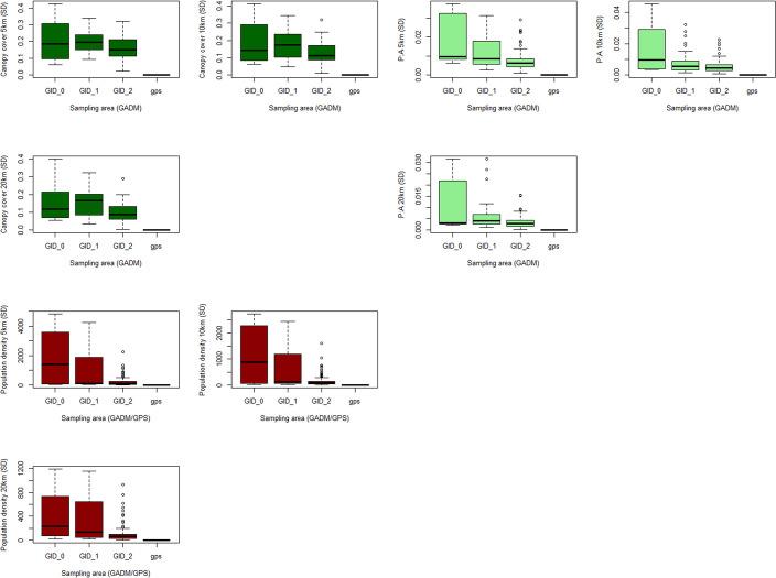
Zoonotic disease dynamics in wildlife hosts are rarely quantified at macroecological scales due to the lack of systematic surveys. Non-human primates (NHPs) host a zoonotic malaria of public health concern and the main barrier to malaria elimination in Southeast Asia. Understanding of regional infection dynamics in wildlife is limited. Here, we systematically assemble reports of NHP and investigate geographic determinants of prevalence in reservoir species. Meta-analysis of 6322 NHPs from 148 sites reveals that prevalence is heterogeneous across Southeast Asia, with low overall prevalence and high estimates for Malaysian Borneo. We find that regions exhibiting higher prevalence in NHPs overlap with human infection hotspots. In wildlife and humans, parasite transmission is linked to land conversion and fragmentation. By assembling remote sensing data and fitting statistical models to prevalence at multiple spatial scales, we identify novel relationships between in NHPs and forest fragmentation. This suggests that higher prevalence may be contingent on habitat complexity, which would begin to explain observed geographic variation in parasite burden. These findings address critical gaps in understanding regional epidemiology and indicate that prevalence in simian reservoirs may be a key spatial driver of human spillover risk.
由于缺乏系统的调查,野生动物宿主中的人畜共患病动态在宏观生态学尺度上很少被量化。非人类灵长类动物(NHPs)携带一种人畜共患的疟疾,这是东南亚公共卫生关注的主要障碍。对野生动物中区域感染动态的了解有限。在这里,我们系统地收集了 NHPs 的报告,并调查了储主物种中流行率的地理决定因素。对来自 148 个地点的 6322 只 NHPs 的荟萃分析表明,东南亚的流行率存在异质性,整体流行率较低,而马来西亚婆罗洲的流行率较高。我们发现,在 NHPs 中表现出更高流行率的地区与人类感染热点重叠。在野生动物和人类中,寄生虫传播与土地转换和破碎化有关。通过整合遥感数据并根据多个空间尺度的流行率拟合统计模型,我们在 NHPs 中发现了与森林破碎化之间的新关系。这表明较高的流行率可能取决于栖息地的复杂性,这将开始解释寄生虫负担观察到的地理变异。这些发现解决了对区域流行病学理解的关键差距,并表明灵长类动物储主中的流行率可能是人类溢出风险的关键空间驱动因素。