• 文献检索
  • 文档翻译
  • 深度研究
  • 学术资讯
  • Suppr Zotero 插件Zotero 插件
  • 邀请有礼
  • 套餐&价格
  • 历史记录
应用&插件
Suppr Zotero 插件Zotero 插件浏览器插件Mac 客户端Windows 客户端微信小程序
定价
高级版会员购买积分包购买API积分包
服务
文献检索文档翻译深度研究API 文档MCP 服务
关于我们
关于 Suppr公司介绍联系我们用户协议隐私条款
关注我们

Suppr 超能文献

核心技术专利:CN118964589B侵权必究
粤ICP备2023148730 号-1Suppr @ 2026

文献检索

告别复杂PubMed语法,用中文像聊天一样搜索,搜遍4000万医学文献。AI智能推荐,让科研检索更轻松。

立即免费搜索

文件翻译

保留排版,准确专业,支持PDF/Word/PPT等文件格式,支持 12+语言互译。

免费翻译文档

深度研究

AI帮你快速写综述,25分钟生成高质量综述,智能提取关键信息,辅助科研写作。

立即免费体验

一种新型基于聚甲亚胺的吡唑部分及其用于抗菌应用的增强纳米复合材料@ZnO

A new polyazomethine-based pyrazole moiety and its reinforced nanocomposites @ ZnO for antimicrobial applications.

作者信息

Hakami Aqilah A, Alorfi Hajar S, Farghaly Thoraya A, Hussein Mahmoud A

机构信息

Chemistry Department, Faculty of Science, King Abdulaziz University, Jeddah, Saudi Arabia.

Department of Chemistry, Faculty of Science, Cairo University, Giza, Egypt.

出版信息

Des Monomers Polym. 2024 May 15;27(1):1-20. doi: 10.1080/15685551.2024.2352897. eCollection 2024.

DOI:10.1080/15685551.2024.2352897
PMID:38756722
原文链接:https://pmc.ncbi.nlm.nih.gov/articles/PMC11097710/
Abstract

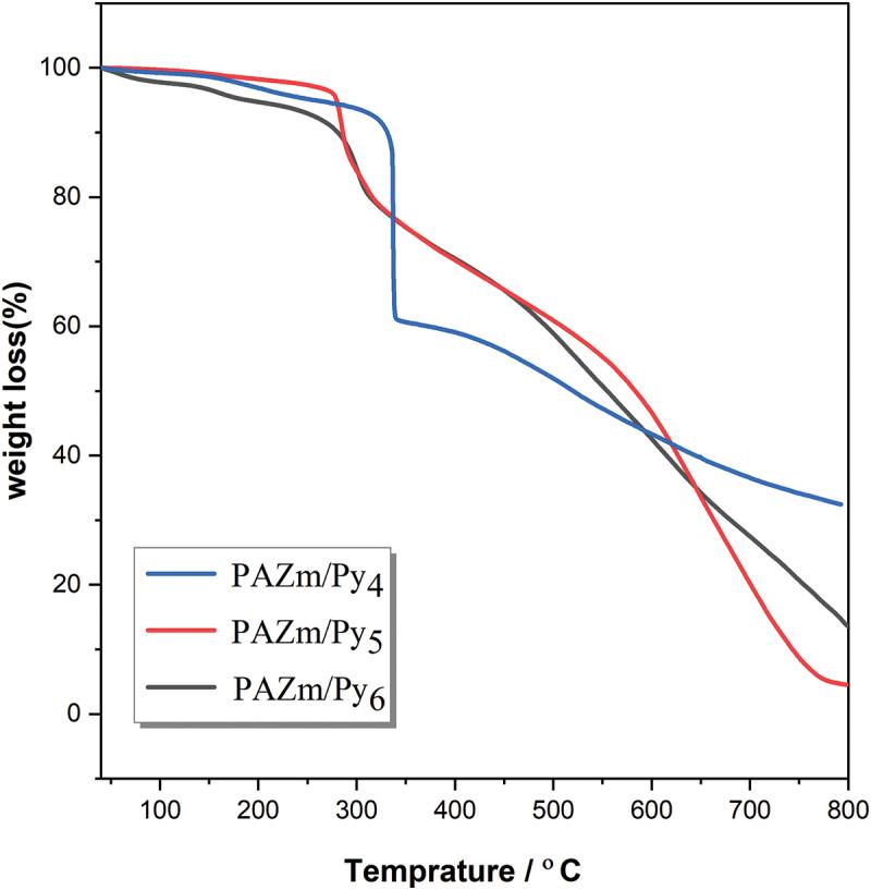
A new class of biologically active polyazomethine/pyrazole and their related nanocomposites, polyazomethine/pyrazole/zinc oxide nanoparticles, have been successfully synthesized through the polycondensation technique in the form of polyazomethine pyrazole (PAZm/Py) and polyazomethine/pyrazole/zinc oxide nanoparticles (PAZm/Py/ZnO). The polymeric nanocomposites were prepared with a 5% loading of zinc oxide nanofiller using the same preparation technique, in addition to the help of ultrasonic radiation. The characteristics of the new polymers, such as solubility, viscometry, and molecular weight, were examined. All the polymers were completely soluble in the following solvents: concentrated sulfuric acid, formic acid, dimethylformamide, dimethyl sulfoxide, and tetrahydrofuran. Furthermore, the weight loss of the polyazomethine pyrazole (4, 5, and 6) at 800 °C was 67%, 95%, and 86%, respectively, which indicates the thermal stability of these polymers. At 800 °C, the polyazomethine/pyrazole/zinc oxide nanoparticles (a, b, and c) lost 74%, 68%, and 75% of their weight, respectively. This shows that adding zinc oxide nanoparticles made these compounds more stable at high temperatures. The X-Ray diffraction pattern of the polyazomethine pyrazole (PAZm/Py) shows a number of sharp peaks with varying intensities. The polymers that were studied had straight crystal structures. Furthermore, the measurements of polyazomethine/pyrazole/zinc oxide nanoparticles (PAZm/Py/ZnO) indicate a good merging of zinc oxide nanoparticles into the matrix of polymers. The antimicrobial activity of polymers and polymer nanocomposites was tested against some selected bacteria and fungi. The synthesized polymer (c) shows the highest activity against the two types of gram-negative bacteria selected. Most tested compounds were found to be effective against gram-positive bacteria except polyazomethine pyrazole (PAZm/Py) and polyazomethine pyrazole (PAZm/Py), which do not exhibit any activity. The synthesized polymers and their related nanocomposites were tested for their ability to kill the chosen fungi. All of them were effective against Aspergillus flavus, but only polyazomethine pyrazole (PAZm/Py) and polyazomethine/pyrazole/zinc oxide (PAZm/Py/ZnO) were effective against Candida albicans.

摘要

一类新型生物活性聚甲亚胺/吡唑及其相关纳米复合材料,即聚甲亚胺/吡唑/氧化锌纳米颗粒,已通过缩聚技术成功合成,分别为聚甲亚胺吡唑(PAZm/Py)和聚甲亚胺/吡唑/氧化锌纳米颗粒(PAZm/Py/ZnO)。除了超声辐射的辅助外,还使用相同的制备技术制备了氧化锌纳米填料负载量为5%的聚合物纳米复合材料。对这些新型聚合物的特性,如溶解性、粘度和分子量进行了研究。所有聚合物都能完全溶解于以下溶剂:浓硫酸、甲酸、二甲基甲酰胺、二甲基亚砜和四氢呋喃。此外,聚甲亚胺吡唑(4、5和6)在800℃时的失重分别为67%、95%和86%,这表明这些聚合物具有热稳定性。在800℃时,聚甲亚胺/吡唑/氧化锌纳米颗粒(a、b和c)的失重分别为74%、68%和75%。这表明添加氧化锌纳米颗粒使这些化合物在高温下更稳定。聚甲亚胺吡唑(PAZm/Py)的X射线衍射图谱显示出许多强度不同的尖锐峰。所研究的聚合物具有直链晶体结构。此外,聚甲亚胺/吡唑/氧化锌纳米颗粒(PAZm/Py/ZnO)的测量结果表明氧化锌纳米颗粒很好地融入了聚合物基体。对聚合物和聚合物纳米复合材料对一些选定细菌和真菌的抗菌活性进行了测试。合成的聚合物(c)对所选的两种革兰氏阴性菌表现出最高活性。除聚甲亚胺吡唑(PAZm/Py)和聚甲亚胺吡唑(PAZm/Py)无任何活性外,大多数测试化合物对革兰氏阳性菌有效。对合成的聚合物及其相关纳米复合材料杀灭所选真菌的能力进行了测试。它们对黄曲霉均有效,但只有聚甲亚胺吡唑(PAZm/Py)和聚甲亚胺/吡唑/氧化锌(PAZm/Py/ZnO)对白色念珠菌有效。

https://cdn.ncbi.nlm.nih.gov/pmc/blobs/7d86/11097710/0fa314647a25/TDMP_A_2352897_F0011_OC.jpg
https://cdn.ncbi.nlm.nih.gov/pmc/blobs/7d86/11097710/eaef7eeb949b/TDMP_A_2352897_F0001_OC.jpg
https://cdn.ncbi.nlm.nih.gov/pmc/blobs/7d86/11097710/26f23ccb3d8b/TDMP_A_2352897_F0002_OC.jpg
https://cdn.ncbi.nlm.nih.gov/pmc/blobs/7d86/11097710/9e08f1605229/TDMP_A_2352897_F0003_OC.jpg
https://cdn.ncbi.nlm.nih.gov/pmc/blobs/7d86/11097710/04ecaf3d3ab5/TDMP_A_2352897_F0004_OC.jpg
https://cdn.ncbi.nlm.nih.gov/pmc/blobs/7d86/11097710/397ad05c4c8f/TDMP_A_2352897_F0005a_OC.jpg
https://cdn.ncbi.nlm.nih.gov/pmc/blobs/7d86/11097710/39a911dadf18/TDMP_A_2352897_F0005b_OC.jpg
https://cdn.ncbi.nlm.nih.gov/pmc/blobs/7d86/11097710/21c2c9766365/TDMP_A_2352897_F0006_OC.jpg
https://cdn.ncbi.nlm.nih.gov/pmc/blobs/7d86/11097710/606a93c9d687/TDMP_A_2352897_F0007_OC.jpg
https://cdn.ncbi.nlm.nih.gov/pmc/blobs/7d86/11097710/0f2a4d4493d3/TDMP_A_2352897_F0008a_OC.jpg
https://cdn.ncbi.nlm.nih.gov/pmc/blobs/7d86/11097710/97bbd381e4e4/TDMP_A_2352897_F0008b_OC.jpg
https://cdn.ncbi.nlm.nih.gov/pmc/blobs/7d86/11097710/2ca5550f5b99/TDMP_A_2352897_F0009a_OC.jpg
https://cdn.ncbi.nlm.nih.gov/pmc/blobs/7d86/11097710/be7eaaa0915b/TDMP_A_2352897_F0009b_OC.jpg
https://cdn.ncbi.nlm.nih.gov/pmc/blobs/7d86/11097710/cdc4f35b18c2/TDMP_A_2352897_F0010_OC.jpg
https://cdn.ncbi.nlm.nih.gov/pmc/blobs/7d86/11097710/0fa314647a25/TDMP_A_2352897_F0011_OC.jpg
https://cdn.ncbi.nlm.nih.gov/pmc/blobs/7d86/11097710/eaef7eeb949b/TDMP_A_2352897_F0001_OC.jpg
https://cdn.ncbi.nlm.nih.gov/pmc/blobs/7d86/11097710/26f23ccb3d8b/TDMP_A_2352897_F0002_OC.jpg
https://cdn.ncbi.nlm.nih.gov/pmc/blobs/7d86/11097710/9e08f1605229/TDMP_A_2352897_F0003_OC.jpg
https://cdn.ncbi.nlm.nih.gov/pmc/blobs/7d86/11097710/04ecaf3d3ab5/TDMP_A_2352897_F0004_OC.jpg
https://cdn.ncbi.nlm.nih.gov/pmc/blobs/7d86/11097710/397ad05c4c8f/TDMP_A_2352897_F0005a_OC.jpg
https://cdn.ncbi.nlm.nih.gov/pmc/blobs/7d86/11097710/39a911dadf18/TDMP_A_2352897_F0005b_OC.jpg
https://cdn.ncbi.nlm.nih.gov/pmc/blobs/7d86/11097710/21c2c9766365/TDMP_A_2352897_F0006_OC.jpg
https://cdn.ncbi.nlm.nih.gov/pmc/blobs/7d86/11097710/606a93c9d687/TDMP_A_2352897_F0007_OC.jpg
https://cdn.ncbi.nlm.nih.gov/pmc/blobs/7d86/11097710/0f2a4d4493d3/TDMP_A_2352897_F0008a_OC.jpg
https://cdn.ncbi.nlm.nih.gov/pmc/blobs/7d86/11097710/97bbd381e4e4/TDMP_A_2352897_F0008b_OC.jpg
https://cdn.ncbi.nlm.nih.gov/pmc/blobs/7d86/11097710/2ca5550f5b99/TDMP_A_2352897_F0009a_OC.jpg
https://cdn.ncbi.nlm.nih.gov/pmc/blobs/7d86/11097710/be7eaaa0915b/TDMP_A_2352897_F0009b_OC.jpg
https://cdn.ncbi.nlm.nih.gov/pmc/blobs/7d86/11097710/cdc4f35b18c2/TDMP_A_2352897_F0010_OC.jpg
https://cdn.ncbi.nlm.nih.gov/pmc/blobs/7d86/11097710/0fa314647a25/TDMP_A_2352897_F0011_OC.jpg

相似文献

1
A new polyazomethine-based pyrazole moiety and its reinforced nanocomposites @ ZnO for antimicrobial applications.一种新型基于聚甲亚胺的吡唑部分及其用于抗菌应用的增强纳米复合材料@ZnO
Des Monomers Polym. 2024 May 15;27(1):1-20. doi: 10.1080/15685551.2024.2352897. eCollection 2024.
2
Novel conductive polypyrrole/zinc oxide/chitosan bionanocomposite: synthesis, characterization, antioxidant, and antibacterial activities.新型导电聚吡咯/氧化锌/壳聚糖生物纳米复合材料:合成、表征、抗氧化及抗菌活性
Int J Nanomedicine. 2014 Dec 30;10:217-27. doi: 10.2147/IJN.S69740. eCollection 2015.
3
Zinc oxide nanoparticles: Synthesis, antiseptic activity and toxicity mechanism.氧化锌纳米颗粒:合成、抗菌活性及毒性机制。
Adv Colloid Interface Sci. 2017 Nov;249:37-52. doi: 10.1016/j.cis.2017.07.033. Epub 2017 Aug 26.
4
Preparation, Properties, and Microbial Impact of Tungsten (VI) Oxide and Zinc (II) Oxide Nanoparticles Enriched Polyethylene Sebacate Nanocomposites.富含氧化钨(VI)和氧化锌(II)纳米颗粒的聚癸二酸乙二酯纳米复合材料的制备、性能及微生物影响
Polymers (Basel). 2021 Feb 26;13(5):718. doi: 10.3390/polym13050718.
5
Mycogenic Synthesis of Extracellular Zinc Oxide Nanoparticles from and Its Nanoantibiotic Potential.从 中合成细胞外氧化锌纳米粒子及其纳米抗生素潜力的真菌合成。
Int J Nanomedicine. 2020 Nov 2;15:8519-8536. doi: 10.2147/IJN.S271743. eCollection 2020.
6
Preparation of nanocomposite based on chitosan-PDCOEMA containing biosynthesized ZnO: Biological and thermal characterization.基于壳聚糖-PDCOEMA 纳米复合材料的制备:含生物合成 ZnO 的生物和热特性。
Int J Biol Macromol. 2023 Jul 1;242(Pt 1):124753. doi: 10.1016/j.ijbiomac.2023.124753. Epub 2023 May 7.
7
Development of nanocomposites reinforced with carboxylated poly(ether ether ketone) grafted to zinc oxide with superior antibacterial properties.纳米复合材料的开发,该复合材料由接枝有氧化锌的羧基化聚醚醚酮增强,具有优异的抗菌性能。
ACS Appl Mater Interfaces. 2014 Mar 12;6(5):3729-41. doi: 10.1021/am500171x. Epub 2014 Feb 28.
8
Nanocomposite films consisting of functional nanoparticles (TiO and ZnO) embedded in 4A-Zeolite and mixed polymer matrices (gelatin and polyvinyl alcohol).由嵌入4A分子筛和混合聚合物基质(明胶和聚乙烯醇)中的功能性纳米颗粒(TiO和ZnO)组成的纳米复合薄膜。
Food Res Int. 2020 Nov;137:109716. doi: 10.1016/j.foodres.2020.109716. Epub 2020 Sep 22.
9
Preparation, Characterization, and Evaluation of Zinc Oxide Nanoparticles Suspension as an Antimicrobial Media for Daily Use Soft Contact Lenses.氧化锌纳米粒子混悬液的制备、表征及其作为日常使用软性隐形眼镜抗菌介质的评估。
Curr Eye Res. 2020 Aug;45(8):931-939. doi: 10.1080/02713683.2019.1705492. Epub 2020 Jan 13.
10
Biological Applications of Ball-Milled Synthesized Biochar-Zinc Oxide Nanocomposite Using L.利用 L. 球磨合成生物炭-氧化锌纳米复合材料的生物学应用
Molecules. 2022 Aug 22;27(16):5333. doi: 10.3390/molecules27165333.

本文引用的文献

1
Antimicrobial Nano-Zinc Oxide Biocomposites for Wound Healing Applications: A Review.用于伤口愈合的抗菌纳米氧化锌生物复合材料:综述
Pharmaceutics. 2023 Mar 17;15(3):970. doi: 10.3390/pharmaceutics15030970.
2
Phytosynthesis of Zinc Oxide Nanoparticles Using L. and Evidence of Antimicrobial Activity.利用罗勒属植物生物合成氧化锌纳米颗粒及其抗菌活性证据
Plants (Basel). 2022 Nov 14;11(22):3079. doi: 10.3390/plants11223079.
3
Plant-mediated synthesis of silver-doped zinc oxide nanoparticles and evaluation of their antimicrobial activity against bacteria cause tooth decay.
植物介导合成掺银氧化锌纳米粒子及其对致龋菌抗菌活性的评价
Microsc Res Tech. 2022 Nov;85(11):3553-3564. doi: 10.1002/jemt.24207. Epub 2022 Aug 19.
4
Synthesis of Antimicrobial Benzimidazole-Pyrazole Compounds and Their Biological Activities.抗菌苯并咪唑 - 吡唑化合物的合成及其生物活性
Antibiotics (Basel). 2021 Aug 19;10(8):1002. doi: 10.3390/antibiotics10081002.
5
Antimicrobial Activity of Zinc Oxide Nano/Microparticles and Their Combinations against Pathogenic Microorganisms for Biomedical Applications: From Physicochemical Characteristics to Pharmacological Aspects.用于生物医学应用的氧化锌纳米/微粒及其组合对致病微生物的抗菌活性:从物理化学特性到药理学方面
Nanomaterials (Basel). 2021 Jan 20;11(2):263. doi: 10.3390/nano11020263.
6
Recent Advances in Zinc Oxide Nanostructures with Antimicrobial Activities.氧化锌纳米结构的抗菌活性研究进展。
Int J Mol Sci. 2020 Nov 22;21(22):8836. doi: 10.3390/ijms21228836.
7
Microbial Fabrication of Zinc Oxide Nanoparticles and Evaluation of Their Antimicrobial and Photocatalytic Properties.氧化锌纳米颗粒的微生物合成及其抗菌和光催化性能评估
Front Chem. 2020 Sep 30;8:778. doi: 10.3389/fchem.2020.00778. eCollection 2020.
8
Synthesis and Antimicrobial Studies of Coumarin-Substituted Pyrazole Derivatives as Potent Anti- Agents.香豆素取代吡唑衍生物的合成及抗菌研究作为有效的抗菌剂。
Molecules. 2020 Jun 15;25(12):2758. doi: 10.3390/molecules25122758.
9
Green and Economic Fabrication of Zinc Oxide (ZnO) Nanorods as a Broadband UV Blocker and Antimicrobial Agent.氧化锌(ZnO)纳米棒的绿色经济制备:作为宽带紫外线阻滞剂和抗菌剂
Nanomaterials (Basel). 2020 Mar 15;10(3):530. doi: 10.3390/nano10030530.
10
Carboxymethyl cellulose-based antioxidant and antimicrobial active packaging film incorporated with curcumin and zinc oxide.基于羧甲基纤维素的抗氧化和抗菌活性包装膜,掺入姜黄素和氧化锌。
Int J Biol Macromol. 2020 Apr 1;148:666-676. doi: 10.1016/j.ijbiomac.2020.01.204. Epub 2020 Jan 21.