• 文献检索
  • 文档翻译
  • 深度研究
  • 学术资讯
  • Suppr Zotero 插件Zotero 插件
  • 邀请有礼
  • 套餐&价格
  • 历史记录
应用&插件
Suppr Zotero 插件Zotero 插件浏览器插件Mac 客户端Windows 客户端微信小程序
定价
高级版会员购买积分包购买API积分包
服务
文献检索文档翻译深度研究API 文档MCP 服务
关于我们
关于 Suppr公司介绍联系我们用户协议隐私条款
关注我们

Suppr 超能文献

核心技术专利:CN118964589B侵权必究
粤ICP备2023148730 号-1Suppr @ 2026

文献检索

告别复杂PubMed语法,用中文像聊天一样搜索,搜遍4000万医学文献。AI智能推荐,让科研检索更轻松。

立即免费搜索

文件翻译

保留排版,准确专业,支持PDF/Word/PPT等文件格式,支持 12+语言互译。

免费翻译文档

深度研究

AI帮你快速写综述,25分钟生成高质量综述,智能提取关键信息,辅助科研写作。

立即免费体验

控制惩教环境中的 COVID-19 疫情爆发:一项数学建模研究。

Controlling COVID-19 outbreaks in the correctional setting: A mathematical modelling study.

机构信息

Allied Health and Human Performance, University of South Australia, Australia.

Kirby Institute, UNSW Sydney, Sydney, New South Wales, Australia.

出版信息

PLoS One. 2024 May 17;19(5):e0303062. doi: 10.1371/journal.pone.0303062. eCollection 2024.

DOI:10.1371/journal.pone.0303062
PMID:38758971
原文链接:https://pmc.ncbi.nlm.nih.gov/articles/PMC11101071/
Abstract

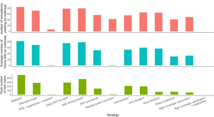
Correctional centres (termed here 'prisons') are at high risk of COVID-19 and have featured major outbreaks worldwide. Inevitable close contacts, frequent inmate movements, and a disproportionate burden of co-morbidities mean these environments need to be prioritised in any public health response to respiratory pathogens such as COVID-19. We developed an individual-based SARS-CoV-2 transmission model for the prison system in New South Wales, Australia - incorporating all 33 correctional centres, 13,458 inmates, 578 healthcare and 6,909 custodial staff. Potential COVID-19 disease outbreaks were assessed under various mitigation strategies, including quarantine on entry, isolation of cases, rapid antigen testing of staff, as well as immunisation.Without control measures, the model projected a peak of 472 new infections daily by day 35 across the prison system, with all inmates infected by day 120. The most effective individual mitigation strategies were high immunisation coverage and prompt lockdown of centres with infected inmates which reduced outbreak size by 62-73%. Other than immunisation, the combination of quarantine of inmates at entry, isolation of proven or suspected cases, and widespread use of personal protective equipment by staff and inmates was the most effective strategy. High immunisation coverage mitigates the spread of COVID-19 within and between correctional settings but is insufficient alone. Maintaining quarantine and isolation, along with high immunisation levels, will allow correctional systems to function with a low risk of outbreaks. These results have informed public health policy for respiratory pathogens in Australian correctional systems.

摘要

惩教中心(此处称为“监狱”)极易感染 COVID-19,并且在全球范围内爆发了重大疫情。不可避免的密切接触、频繁的囚犯流动以及不成比例的合并症负担,意味着在应对 COVID-19 等呼吸道病原体的公共卫生应对中,这些环境需要优先考虑。我们为澳大利亚新南威尔士州的监狱系统开发了一种基于个体的 SARS-CoV-2 传播模型——纳入了所有 33 个惩教中心、13458 名囚犯、578 名医护人员和 6909 名狱警。在各种缓解策略下评估了 COVID-19 疾病爆发的可能性,包括入境检疫、病例隔离、快速抗原检测以及免疫接种。如果没有控制措施,模型预测到第 35 天,监狱系统每天将有 472 例新感染,到第 120 天所有囚犯将被感染。最有效的个体缓解策略是高免疫覆盖率和迅速封锁感染囚犯的中心,这将使疫情规模减少 62-73%。除免疫接种外,对入境囚犯进行检疫、隔离确诊或疑似病例以及广泛使用个人防护设备是最有效的策略。高免疫覆盖率可减轻 COVID-19 在惩教场所内和之间的传播,但单独使用是不够的。维持检疫和隔离以及高免疫水平将使惩教系统能够以低爆发风险运作。这些结果为澳大利亚惩教系统的呼吸道病原体公共卫生政策提供了信息。

https://cdn.ncbi.nlm.nih.gov/pmc/blobs/29d3/11101071/58c575231a2b/pone.0303062.g007.jpg
https://cdn.ncbi.nlm.nih.gov/pmc/blobs/29d3/11101071/f32f1458b947/pone.0303062.g001.jpg
https://cdn.ncbi.nlm.nih.gov/pmc/blobs/29d3/11101071/3160ebb399ea/pone.0303062.g002.jpg
https://cdn.ncbi.nlm.nih.gov/pmc/blobs/29d3/11101071/5bb95422fac8/pone.0303062.g003.jpg
https://cdn.ncbi.nlm.nih.gov/pmc/blobs/29d3/11101071/4a0e6b302cf3/pone.0303062.g004.jpg
https://cdn.ncbi.nlm.nih.gov/pmc/blobs/29d3/11101071/23704e3b5e05/pone.0303062.g005.jpg
https://cdn.ncbi.nlm.nih.gov/pmc/blobs/29d3/11101071/36c527e3a869/pone.0303062.g006.jpg
https://cdn.ncbi.nlm.nih.gov/pmc/blobs/29d3/11101071/58c575231a2b/pone.0303062.g007.jpg
https://cdn.ncbi.nlm.nih.gov/pmc/blobs/29d3/11101071/f32f1458b947/pone.0303062.g001.jpg
https://cdn.ncbi.nlm.nih.gov/pmc/blobs/29d3/11101071/3160ebb399ea/pone.0303062.g002.jpg
https://cdn.ncbi.nlm.nih.gov/pmc/blobs/29d3/11101071/5bb95422fac8/pone.0303062.g003.jpg
https://cdn.ncbi.nlm.nih.gov/pmc/blobs/29d3/11101071/4a0e6b302cf3/pone.0303062.g004.jpg
https://cdn.ncbi.nlm.nih.gov/pmc/blobs/29d3/11101071/23704e3b5e05/pone.0303062.g005.jpg
https://cdn.ncbi.nlm.nih.gov/pmc/blobs/29d3/11101071/36c527e3a869/pone.0303062.g006.jpg
https://cdn.ncbi.nlm.nih.gov/pmc/blobs/29d3/11101071/58c575231a2b/pone.0303062.g007.jpg

相似文献

1
Controlling COVID-19 outbreaks in the correctional setting: A mathematical modelling study.控制惩教环境中的 COVID-19 疫情爆发:一项数学建模研究。
PLoS One. 2024 May 17;19(5):e0303062. doi: 10.1371/journal.pone.0303062. eCollection 2024.
2
Rapid Spread of SARS-CoV-2 in a State Prison After Introduction by Newly Transferred Incarcerated Persons - Wisconsin, August 14-October 22, 2020.2020年8月14日至10月22日,威斯康星州一所州立监狱中,新冠病毒在新转入的被监禁人员引入后迅速传播
MMWR Morb Mortal Wkly Rep. 2021 Apr 2;70(13):478-482. doi: 10.15585/mmwr.mm7013a4.
3
Individual quarantine versus active monitoring of contacts for the mitigation of COVID-19: a modelling study.个体隔离与接触者主动监测在减轻 COVID-19 中的应用比较:一项建模研究。
Lancet Infect Dis. 2020 Sep;20(9):1025-1033. doi: 10.1016/S1473-3099(20)30361-3. Epub 2020 May 20.
4
[Mental health care in French correctional facilities during the Covid-19 pandemic].[新冠疫情期间法国惩教设施中的精神卫生保健]
Encephale. 2020 Jun;46(3S):S60-S65. doi: 10.1016/j.encep.2020.05.002. Epub 2020 May 8.
5
Community-Associated Outbreak of COVID-19 in a Correctional Facility - Utah, September 2020-January 2021.社区关联的新冠肺炎在惩教设施中的爆发-犹他州,2020 年 9 月至 2021 年 1 月。
MMWR Morb Mortal Wkly Rep. 2021 Apr 2;70(13):467-472. doi: 10.15585/mmwr.mm7013a2.
6
Efficacy of the Measures Adopted to Prevent COVID-19 Outbreaks in an Italian Correctional Facility for Inmates Affected by Chronic Diseases.意大利一所关押慢性病囚犯的惩教设施中为预防新冠疫情所采取措施的效果
Front Public Health. 2021 Jul 7;9:694795. doi: 10.3389/fpubh.2021.694795. eCollection 2021.
7
Preparing correctional settings for the next pandemic: a modeling study of COVID-19 outbreaks in two high-income countries.为下一次大流行做好矫正环境准备:对两个高收入国家 COVID-19 疫情爆发的建模研究。
Front Public Health. 2024 Mar 15;12:1279572. doi: 10.3389/fpubh.2024.1279572. eCollection 2024.
8
Outbreaks of COVID-19 variants in US prisons: a mathematical modelling analysis of vaccination and reopening policies.美国监狱中 COVID-19 变异株的爆发:疫苗接种和重新开放政策的数学建模分析。
Lancet Public Health. 2021 Oct;6(10):e760-e770. doi: 10.1016/S2468-2667(21)00162-6. Epub 2021 Aug 6.
9
Managing COVID-19 outbreaks in prisons - a brief review of literature and key lessons learnt.管理监狱中的 COVID-19 疫情爆发:文献综述及主要经验教训。
Int J Prison Health (2024). 2024 Oct 17;ahead-of-print(ahead-of-print):410-421. doi: 10.1108/IJOPH-08-2023-0049.
10
Travel-related control measures to contain the COVID-19 pandemic: a rapid review.旅行相关的控制措施以遏制 COVID-19 大流行:快速综述。
Cochrane Database Syst Rev. 2020 Oct 5;10:CD013717. doi: 10.1002/14651858.CD013717.

引用本文的文献

1
Transmission models of respiratory infections in carceral settings: A systematic review.监狱环境中呼吸道感染的传播模型:一项系统综述。
Epidemics. 2025 Mar;50:100809. doi: 10.1016/j.epidem.2024.100809. Epub 2024 Dec 6.

本文引用的文献

1
COVID-19 Outbreak and BNT162b2 mRNA Vaccination Coverage in a Correctional Facility during Circulation of the SARS-CoV-2 Omicron BA.1 Variant in Italy.意大利SARS-CoV-2奥密克戎BA.1变体传播期间,一所惩教机构中的COVID-19疫情及BNT162b2 mRNA疫苗接种覆盖率
Vaccines (Basel). 2022 Jul 17;10(7):1137. doi: 10.3390/vaccines10071137.
2
Inclusiveness of prisons in COVID-19 vaccination deployment: Evidence from Jordan.约旦新冠疫苗接种部署中监狱的包容性:证据
Vaccine. 2022 Jan 3;40(1):1-2. doi: 10.1016/j.vaccine.2021.11.022. Epub 2021 Nov 18.
3
Effect of Delta variant on viral burden and vaccine effectiveness against new SARS-CoV-2 infections in the UK.
德尔塔变异株对英国新冠病毒载量及针对新型严重急性呼吸综合征冠状病毒2感染的疫苗效力的影响。
Nat Med. 2021 Dec;27(12):2127-2135. doi: 10.1038/s41591-021-01548-7. Epub 2021 Oct 14.
4
Association of Jail Decarceration and Anticontagion Policies With COVID-19 Case Growth Rates in US Counties.美国各县监狱人口减少及防疫政策与新冠病毒病例增长率的关联
JAMA Netw Open. 2021 Sep 1;4(9):e2123405. doi: 10.1001/jamanetworkopen.2021.23405.
5
The association between intersystem prison transfers and COVID-19 incidence in a state prison system.州立监狱系统中转狱与新冠肺炎发病率之间的关联。
PLoS One. 2021 Aug 12;16(8):e0256185. doi: 10.1371/journal.pone.0256185. eCollection 2021.
6
Accuracy of novel antigen rapid diagnostics for SARS-CoV-2: A living systematic review and meta-analysis.新型 SARS-CoV-2 抗原快速诊断准确性的系统评价和荟萃分析。
PLoS Med. 2021 Aug 12;18(8):e1003735. doi: 10.1371/journal.pmed.1003735. eCollection 2021 Aug.
7
Improving Pandemic Response: Employing Mathematical Modeling to Confront Coronavirus Disease 2019.改善大流行应对措施:利用数学模型应对 2019 年冠状病毒病。
Clin Infect Dis. 2022 Mar 9;74(5):913-917. doi: 10.1093/cid/ciab673.
8
Mitigating outbreaks in congregate settings by decreasing the size of the susceptible population.通过减少易感人群规模来减轻集体环境中的疫情爆发。
medRxiv. 2021 Jul 7:2021.07.05.21260043. doi: 10.1101/2021.07.05.21260043.
9
COVID-19 vaccine prioritization of incarcerated people relative to other vulnerable groups: An analysis of state plans.囚犯相对于其他弱势群体的 COVID-19 疫苗优先排序:对州计划的分析。
PLoS One. 2021 Jun 15;16(6):e0253208. doi: 10.1371/journal.pone.0253208. eCollection 2021.
10
Prisons need to be included in global and national vaccinations effort against COVID-19.监狱需要被纳入全球和国家针对新冠病毒的疫苗接种工作中。
Lancet Reg Health Eur. 2021 May;4:100088. doi: 10.1016/j.lanepe.2021.100088. Epub 2021 Mar 21.