• 文献检索
  • 文档翻译
  • 深度研究
  • 学术资讯
  • Suppr Zotero 插件Zotero 插件
  • 邀请有礼
  • 套餐&价格
  • 历史记录
应用&插件
Suppr Zotero 插件Zotero 插件浏览器插件Mac 客户端Windows 客户端微信小程序
定价
高级版会员购买积分包购买API积分包
服务
文献检索文档翻译深度研究API 文档MCP 服务
关于我们
关于 Suppr公司介绍联系我们用户协议隐私条款
关注我们

Suppr 超能文献

核心技术专利:CN118964589B侵权必究
粤ICP备2023148730 号-1Suppr @ 2026

文献检索

告别复杂PubMed语法,用中文像聊天一样搜索,搜遍4000万医学文献。AI智能推荐,让科研检索更轻松。

立即免费搜索

文件翻译

保留排版,准确专业,支持PDF/Word/PPT等文件格式,支持 12+语言互译。

免费翻译文档

深度研究

AI帮你快速写综述,25分钟生成高质量综述,智能提取关键信息,辅助科研写作。

立即免费体验

桥本甲状腺炎患者外周血 lncRNA-PVT1 和 miR-146a 水平与 Th17/Treg 细胞因子的关系及其临床意义。

The relationship of peripheral blood lncRNA-PVT1 and miR-146a levels with Th17/Treg cytokines in patients with Hashimoto's thyroiditis and their clinical significance.

机构信息

Department of Endocrinology 2, Central Hospital Affiliated to Shenyang Medical College, Tiexi District, Shenyang, Liaoning Province, China.

Department of Internal Medicine 1, Tacheng People's Hospital of Xinjiang, Tacheng, Xinjiang, China.

出版信息

Biomol Biomed. 2024 Sep 6;24(5):1170-1177. doi: 10.17305/bb.2024.10237.

DOI:10.17305/bb.2024.10237
PMID:38761409
原文链接:https://pmc.ncbi.nlm.nih.gov/articles/PMC11379023/
Abstract

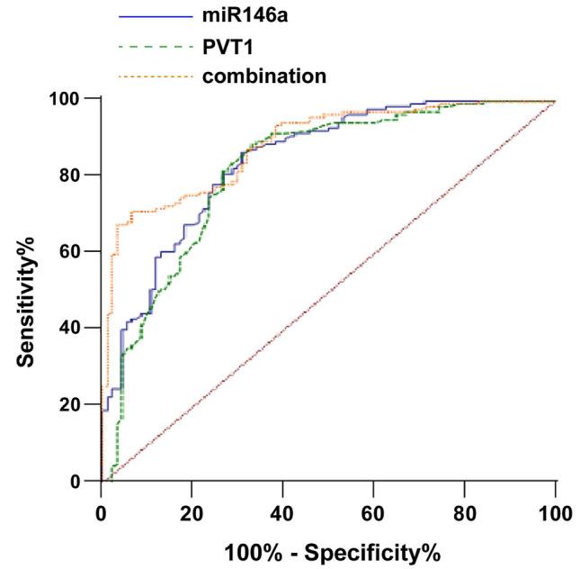
Hashimoto's thyroiditis (HT) is a prevalent autoimmune disease. We investigated the relationship of peripheral blood long noncoding RNA-plasmacytoma variant translocation 1 (lncRNA-PVT1) and microRNA (miR)-146a levels with Th17/Treg-related cytokines in HT patients and their clinical significance. Correlations of PVT1 and miR-146a with Th17/Treg-related cytokines were analyzed, and its clinical value in diagnosing HT was assessed. Results showed reduced lncRNA-PVT1 and interleukin (IL)-10 levels and increased miR-146a and IL-17 levels in HT patients. lncRNA-PVT1 negatively interrelated with miR-146a, IL-17, IL-23 and IL-6, and positively interrelated with IL-10; miR-146a positively correlated with IL-17, IL-23 and IL-6, but negatively correlated with IL-10 in HT patients. The area under the curve (AUC) of lncRNA-PVT1 and miR-146a levels for diagnosing HT were 0.822 and 0.844, respectively (sensitivity 88.73% and 86.62%, specificity 67.02% and 69.15%, cut-off values 0.76 and 2.73), with their combined detections yielding a higher AUC. Patients with poorly expressed lncRNA-PVT1 and highly expressed miR-146a had elevated HT incidence. lncRNA-PVT1 and miR-146a levels were also found to be an independent influencing factor for HT occurrence. Our findings suggest that HT patients have low peripheral blood lncRNA-PVT1 expression and high miR-146a expression. lncRNA-PVT1 and miR-146a level changes were correlated with Th17/Treg cytokine imbalance and could be a potential diagnostic tool and independent influencing factor for HT.

摘要

桥本甲状腺炎(HT)是一种常见的自身免疫性疾病。我们研究了外周血长链非编码 RNA-浆细胞瘤变异易位 1(lncRNA-PVT1)和 microRNA(miR)-146a 水平与 HT 患者 Th17/Treg 相关细胞因子的关系及其临床意义。分析了 PVT1 和 miR-146a 与 Th17/Treg 相关细胞因子的相关性,并评估了其在诊断 HT 中的临床价值。结果显示,HT 患者的 lncRNA-PVT1 和白细胞介素(IL)-10 水平降低,miR-146a 和 IL-17 水平升高。lncRNA-PVT1 与 miR-146a、IL-17、IL-23 和 IL-6 呈负相关,与 IL-10 呈正相关;miR-146a 与 HT 患者的 IL-17、IL-23 和 IL-6 呈正相关,与 IL-10 呈负相关。lncRNA-PVT1 和 miR-146a 水平诊断 HT 的曲线下面积(AUC)分别为 0.822 和 0.844(灵敏度为 88.73%和 86.62%,特异性为 67.02%和 69.15%,截断值为 0.76 和 2.73),联合检测的 AUC 更高。lncRNA-PVT1 表达水平低和 miR-146a 表达水平高的患者 HT 发生率升高。lncRNA-PVT1 和 miR-146a 水平也是 HT 发生的独立影响因素。我们的研究结果表明,HT 患者外周血 lncRNA-PVT1 表达降低,miR-146a 表达升高。lncRNA-PVT1 和 miR-146a 水平的变化与 Th17/Treg 细胞因子失衡相关,可能是 HT 的潜在诊断工具和独立影响因素。

https://cdn.ncbi.nlm.nih.gov/pmc/blobs/d514/11379023/d3e30bd0ff24/bb-2024-10237f3.jpg
https://cdn.ncbi.nlm.nih.gov/pmc/blobs/d514/11379023/42ba14fbc88a/bb-2024-10237f1.jpg
https://cdn.ncbi.nlm.nih.gov/pmc/blobs/d514/11379023/328d5d0e67dd/bb-2024-10237f2.jpg
https://cdn.ncbi.nlm.nih.gov/pmc/blobs/d514/11379023/d3e30bd0ff24/bb-2024-10237f3.jpg
https://cdn.ncbi.nlm.nih.gov/pmc/blobs/d514/11379023/42ba14fbc88a/bb-2024-10237f1.jpg
https://cdn.ncbi.nlm.nih.gov/pmc/blobs/d514/11379023/328d5d0e67dd/bb-2024-10237f2.jpg
https://cdn.ncbi.nlm.nih.gov/pmc/blobs/d514/11379023/d3e30bd0ff24/bb-2024-10237f3.jpg

相似文献

1
The relationship of peripheral blood lncRNA-PVT1 and miR-146a levels with Th17/Treg cytokines in patients with Hashimoto's thyroiditis and their clinical significance.桥本甲状腺炎患者外周血 lncRNA-PVT1 和 miR-146a 水平与 Th17/Treg 细胞因子的关系及其临床意义。
Biomol Biomed. 2024 Sep 6;24(5):1170-1177. doi: 10.17305/bb.2024.10237.
2
[Expression of miR-142 and its relationship with Th17/Treg imbalance in children with autoimmune thyroid disease].[miR-142在自身免疫性甲状腺疾病患儿中的表达及其与Th17/Treg失衡的关系]
Zhongguo Dang Dai Er Ke Za Zhi. 2024 Jun 15;26(6):605-610. doi: 10.7499/j.issn.1008-8830.2312017.
3
The lncRNA PVT1 regulates autophagy in regulatory T cells to suppress heart transplant rejection in mice by targeting miR-146a.长链非编码 RNA PVT1 通过靶向 miR-146a 调控调节性 T 细胞自噬从而抑制小鼠心脏移植排斥反应。
Cell Immunol. 2021 Sep;367:104400. doi: 10.1016/j.cellimm.2021.104400. Epub 2021 Jun 26.
4
Elevated MicroRNA-326 Levels Regulate the IL-23/IL-23R/Th17 Cell Axis in Hashimoto's Thyroiditis by Targeting a Disintegrin and Metalloprotease 17.微 RNA-326 水平升高通过靶向解整合素金属蛋白酶 17 调节桥本甲状腺炎中的 IL-23/IL-23R/Th17 细胞轴。
Thyroid. 2020 Sep;30(9):1327-1337. doi: 10.1089/thy.2019.0552. Epub 2020 Apr 24.
5
Long non-coding RNA PVT1, a novel biomarker for chronic obstructive pulmonary disease progression surveillance and acute exacerbation prediction potentially through interaction with microRNA-146a.长链非编码RNA PVT1,一种可能通过与微小RNA-146a相互作用来监测慢性阻塞性肺疾病进展和预测急性加重的新型生物标志物。
J Clin Lab Anal. 2020 Aug;34(8):e23346. doi: 10.1002/jcla.23346. Epub 2020 Apr 27.
6
Th17/Treg cells imbalance and GITRL profile in patients with Hashimoto's thyroiditis.桥本甲状腺炎患者的Th17/Treg细胞失衡与糖皮质激素诱导的肿瘤坏死因子受体配体表达情况
Int J Mol Sci. 2014 Nov 25;15(12):21674-86. doi: 10.3390/ijms151221674.
7
Therapeutic effect of mesenchymal stem cell on Hashimoto's thyroiditis in a rat model by modulating Th17/Treg cell balance.间充质干细胞通过调节 Th17/Treg 细胞平衡对桥本甲状腺炎大鼠模型的治疗作用。
Autoimmunity. 2020 Feb;53(1):35-45. doi: 10.1080/08916934.2019.1697689. Epub 2019 Dec 3.
8
The possible role of CD4⁺CD25(high)Foxp3⁺/CD4⁺IL-17A⁺ cell imbalance in the autoimmunity of patients with Hashimoto thyroiditis.CD4⁺CD25(高)Foxp3⁺/CD4⁺IL-17A⁺细胞失衡在桥本甲状腺炎患者自身免疫中的可能作用。
Endocrine. 2015 Dec;50(3):665-73. doi: 10.1007/s12020-015-0569-y. Epub 2015 Mar 13.
9
Decreasing lncRNA PVT1 causes Treg/Th17 imbalance via NOTCH signaling in immune thrombocytopenia.降低长链非编码 RNA PVT1 通过 NOTCH 信号通路导致免疫性血小板减少症中 Treg/Th17 失衡。
Hematology. 2021 Dec;26(1):734-740. doi: 10.1080/16078454.2021.1974200.
10
LncPVT1 promotes cartilage degradation in diabetic OA mice by downregulating miR-146a and activating TGF-β/SMAD4 signaling.LncPVT1 通过下调 miR-146a 并激活 TGF-β/SMAD4 信号通路促进糖尿病 OA 小鼠的软骨降解。
J Bone Miner Metab. 2021 Jul;39(4):534-546. doi: 10.1007/s00774-020-01199-7. Epub 2021 Feb 10.

引用本文的文献

1
The Role of Long Non-Coding RNAs in Modulating the Immune Microenvironment of Triple-Negative Breast Cancer: Mechanistic Insights and Therapeutic Potential.长链非编码RNA在调节三阴性乳腺癌免疫微环境中的作用:机制见解与治疗潜力
Biomolecules. 2025 Mar 20;15(3):454. doi: 10.3390/biom15030454.
2
Molecular Morbidity Score-Can MicroRNAs Assess the Burden of Disease?分子发病评分——微小 RNA 可评估疾病负担吗?
Int J Mol Sci. 2024 Jul 24;25(15):8042. doi: 10.3390/ijms25158042.

本文引用的文献

1
Role of serum B-cell-activating factor and interleukin-17 as biomarkers in the classification of interstitial pneumonia with autoimmune features.血清B细胞活化因子和白细胞介素-17作为自身免疫特征性间质性肺炎分类生物标志物的作用
Open Life Sci. 2024 Feb 8;19(1):20220814. doi: 10.1515/biol-2022-0814. eCollection 2024.
2
Multi-omics approaches for drug-response characterization in primary biliary cholangitis and autoimmune hepatitis variant syndrome.多组学方法在原发性胆汁性胆管炎和自身免疫性肝炎变异综合征的药物反应特征中的应用。
J Transl Med. 2024 Feb 29;22(1):214. doi: 10.1186/s12967-024-05029-6.
3
[Expression of MicroRNA-3162-3p in Different Clinical Stages of Children with Primary Immune Thrombocytopenia and Its Significance].
[微小RNA-3162-3p在儿童原发性免疫性血小板减少症不同临床分期中的表达及其意义]
Zhongguo Shi Yan Xue Ye Xue Za Zhi. 2024 Feb;32(1):208-213. doi: 10.19746/j.cnki.issn.1009-2137.2024.01.033.
4
Co-expression analysis suggests lncRNA-mRNA interactions enhance antiviral immune response during acute Chikungunya fever in whole blood of pediatric patients.共表达分析表明,长链非编码 RNA-mRNA 相互作用增强了小儿患者全血中急性基孔肯雅热期间的抗病毒免疫反应。
PLoS One. 2023 Nov 3;18(11):e0294035. doi: 10.1371/journal.pone.0294035. eCollection 2023.
5
Exosomal lncRNA NEAT1 Inhibits NK-Cell Activity to Promote Multiple Myeloma Cell Immune Escape via an EZH2/PBX1 Axis.外泌体 lncRNA NEAT1 通过 EZH2/PBX1 轴抑制 NK 细胞活性,促进多发性骨髓瘤细胞免疫逃逸。
Mol Cancer Res. 2024 Feb 1;22(2):125-136. doi: 10.1158/1541-7786.MCR-23-0282.
6
Construction of predictive ceRNA network and identification of the patterns of immune cells infiltrated in Graves ophthalmopathy.构建预测 ceRNA 网络并鉴定格雷夫斯眼病中免疫细胞浸润的模式。
Zhong Nan Da Xue Xue Bao Yi Xue Ban. 2023 Aug 28;48(8):1185-1196. doi: 10.11817/j.issn.1672-7347.2023.230118.
7
Mogroside V ameliorates broiler pulmonary inflammation via modulating lung microbiota and rectifying Th17/Treg dysregulation in lipopolysaccharides-induced lung injury.蜜瓜苷 V 通过调节肺微生物群和纠正脂多糖诱导的肺损伤中的 Th17/Treg 失调来改善肉鸡肺部炎症。
Poult Sci. 2023 Dec;102(12):103138. doi: 10.1016/j.psj.2023.103138. Epub 2023 Sep 22.
8
The role behind the scenes of Tregs and Th17s in Hashimoto's thyroiditis: Toward a pivotal role of FOXP3 and BACH2.调节性 T 细胞(Tregs)和辅助性 T 细胞 17(Th17)在桥本甲状腺炎中的幕后角色:FOXP3 和 BACH2 的关键作用。
Front Immunol. 2022 Dec 12;13:1098243. doi: 10.3389/fimmu.2022.1098243. eCollection 2022.
9
Pathogenesis Markers of Hashimoto's Disease-A Mini Review.桥本氏病的发病机制标志物——综述
Front Biosci (Landmark Ed). 2022 Oct 31;27(10):297. doi: 10.31083/j.fbl2710297.
10
LINC01061 triggers inflammation and inflammasome activation in autoimmune thyroiditis via microRNA-612/BRD4 axis.LINC01061 通过 microRNA-612/BRD4 轴引发自身免疫性甲状腺炎中的炎症和炎性体激活。
Int Immunopharmacol. 2022 Oct;111:109050. doi: 10.1016/j.intimp.2022.109050. Epub 2022 Aug 20.