• 文献检索
  • 文档翻译
  • 深度研究
  • 学术资讯
  • Suppr Zotero 插件Zotero 插件
  • 邀请有礼
  • 套餐&价格
  • 历史记录
应用&插件
Suppr Zotero 插件Zotero 插件浏览器插件Mac 客户端Windows 客户端微信小程序
定价
高级版会员购买积分包购买API积分包
服务
文献检索文档翻译深度研究API 文档MCP 服务
关于我们
关于 Suppr公司介绍联系我们用户协议隐私条款
关注我们

Suppr 超能文献

核心技术专利:CN118964589B侵权必究
粤ICP备2023148730 号-1Suppr @ 2026

文献检索

告别复杂PubMed语法,用中文像聊天一样搜索,搜遍4000万医学文献。AI智能推荐,让科研检索更轻松。

立即免费搜索

文件翻译

保留排版,准确专业,支持PDF/Word/PPT等文件格式,支持 12+语言互译。

免费翻译文档

深度研究

AI帮你快速写综述,25分钟生成高质量综述,智能提取关键信息,辅助科研写作。

立即免费体验

高能光子束不同探测器在确定小射野输出因子时探测器方向的影响及准直器位置的作用

Effect of Detector Orientation and Influence of Jaw Position in the Determination of Small-field Output Factor with Various Detectors for High-energy Photon Beams.

作者信息

Godson Henry Finlay, Manickam Ravikumar, Ponmalar Y Retna, Ganesh K M, Saminathan Sathiyan, Chandraraj Varatharaj, Kumar A Sathish, George Seby, Raman Arun, Singh Rabi Raja

机构信息

Department of Radiation Oncology, Christian Medical College, Vellore, Tamil Nadu, India.

Department of Radiotherapy, Sri Shankara Cancer Hospital and Research Centre, Bengaluru, Karnataka, India.

出版信息

J Med Phys. 2024 Jan-Mar;49(1):73-83. doi: 10.4103/jmp.jmp_148_23. Epub 2024 Mar 30.

DOI:10.4103/jmp.jmp_148_23
PMID:38828075
原文链接:https://pmc.ncbi.nlm.nih.gov/articles/PMC11141751/
Abstract

BACKGROUND

Accurate dose measurements are difficult in small fields due to charge particle disequilibrium, partial source occlusion, steep dose gradient, and the finite size of the detector.

AIM

The study aims to determine the output factor using various detectors oriented in parallel and perpendicular orientations for three different tertiary collimating systems using 15 MV photon beams. In addition, this study analyzes how the output factor could be affected by different configurations of X and Y jaws above the tertiary collimators.

MATERIALS AND METHODS

Small field output factor measurements were carried out with three detectors for different tertiary collimating systems such as BrainLab stereotactic cones, BrainLab mMLC and Millennium MLC namely. To analyze the effect of jaw position on output factor, measurements have been carried out by positioning the jaws at the edge, 0.25, 0.5, and 1.0 cm away from the tertiary collimated field.

RESULTS

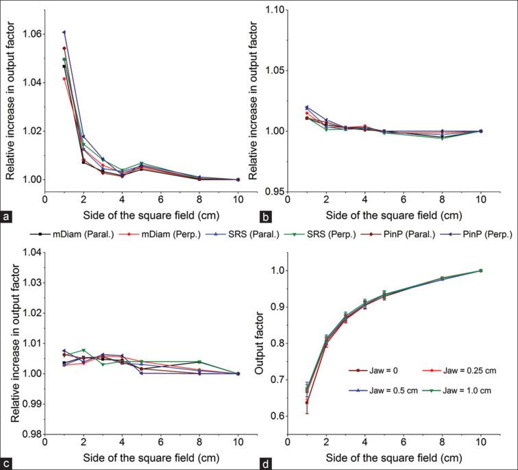
The data acquired with 15 MV photon beams show significant differences in output factor obtained with different detectors for all collimating systems. For smaller fields when compared to microDiamond, the SRS diode underestimates the output by up to -1.7% ± 0.8% and -2.1% ± 0.3%, and the pinpoint ion chamber underestimates the output by up to -8.1% ± 1.4% and -11.9% ± 1.9% in their parallel and perpendicular orientation respectively. A large increase in output factor was observed in the small field when the jaw was moved 0.25 cm symmetrically away from the tertiary collimated field.

CONCLUSION

The investigated data on the effect of jaw position inferred that the position of the X and Y jaw highly influences the output factors of the small field. It also confirms that the output factor highly depends on the configuration of X and Y jaw settings, the tertiary collimating system as well as the orientation of the detectors in small fields.

摘要

背景

由于带电粒子不平衡、部分源遮挡、陡峭的剂量梯度以及探测器的有限尺寸,小射野中的准确剂量测量较为困难。

目的

本研究旨在使用15 MV光子束,针对三种不同的三级准直系统,确定采用平行和垂直方向放置的各种探测器时的输出因子。此外,本研究分析了三级准直器上方X和Y光阑的不同配置如何影响输出因子。

材料与方法

使用三种探测器对不同的三级准直系统(即BrainLab立体定向锥、BrainLab mMLC和Millennium MLC)进行小射野输出因子测量。为分析光阑位置对输出因子的影响,通过将光阑定位在距三级准直射野边缘、0.25、0.5和1.0 cm处进行测量。

结果

用15 MV光子束获得的数据表明,对于所有准直系统,不同探测器获得的输出因子存在显著差异。与微钻石探测器相比,在较小射野中,SRS二极管在平行和垂直方向上分别低估输出达-1.7%±0.8%和-2.1%±0.3%,针点电离室分别低估输出达-8.1%±1.4%和-11.9%±1.9%。当光阑对称地从三级准直射野移开0.25 cm时,小射野中的输出因子大幅增加。

结论

关于光阑位置影响的研究数据推断,X和Y光阑的位置对小射野的输出因子有很大影响。这也证实了输出因子高度依赖于X和Y光阑设置的配置、三级准直系统以及小射野中探测器的方向。

https://cdn.ncbi.nlm.nih.gov/pmc/blobs/d70d/11141751/9add80c9afe2/JMP-49-73-g008.jpg
https://cdn.ncbi.nlm.nih.gov/pmc/blobs/d70d/11141751/39aca6a21af0/JMP-49-73-g001.jpg
https://cdn.ncbi.nlm.nih.gov/pmc/blobs/d70d/11141751/3536a93c3dfc/JMP-49-73-g002.jpg
https://cdn.ncbi.nlm.nih.gov/pmc/blobs/d70d/11141751/fdc124ef7dfe/JMP-49-73-g003.jpg
https://cdn.ncbi.nlm.nih.gov/pmc/blobs/d70d/11141751/303ae026320d/JMP-49-73-g004.jpg
https://cdn.ncbi.nlm.nih.gov/pmc/blobs/d70d/11141751/e3e591d0899a/JMP-49-73-g005.jpg
https://cdn.ncbi.nlm.nih.gov/pmc/blobs/d70d/11141751/1b92272fa4f3/JMP-49-73-g006.jpg
https://cdn.ncbi.nlm.nih.gov/pmc/blobs/d70d/11141751/b1ea2dc220ad/JMP-49-73-g007.jpg
https://cdn.ncbi.nlm.nih.gov/pmc/blobs/d70d/11141751/9add80c9afe2/JMP-49-73-g008.jpg
https://cdn.ncbi.nlm.nih.gov/pmc/blobs/d70d/11141751/39aca6a21af0/JMP-49-73-g001.jpg
https://cdn.ncbi.nlm.nih.gov/pmc/blobs/d70d/11141751/3536a93c3dfc/JMP-49-73-g002.jpg
https://cdn.ncbi.nlm.nih.gov/pmc/blobs/d70d/11141751/fdc124ef7dfe/JMP-49-73-g003.jpg
https://cdn.ncbi.nlm.nih.gov/pmc/blobs/d70d/11141751/303ae026320d/JMP-49-73-g004.jpg
https://cdn.ncbi.nlm.nih.gov/pmc/blobs/d70d/11141751/e3e591d0899a/JMP-49-73-g005.jpg
https://cdn.ncbi.nlm.nih.gov/pmc/blobs/d70d/11141751/1b92272fa4f3/JMP-49-73-g006.jpg
https://cdn.ncbi.nlm.nih.gov/pmc/blobs/d70d/11141751/b1ea2dc220ad/JMP-49-73-g007.jpg
https://cdn.ncbi.nlm.nih.gov/pmc/blobs/d70d/11141751/9add80c9afe2/JMP-49-73-g008.jpg

相似文献

1
Effect of Detector Orientation and Influence of Jaw Position in the Determination of Small-field Output Factor with Various Detectors for High-energy Photon Beams.高能光子束不同探测器在确定小射野输出因子时探测器方向的影响及准直器位置的作用
J Med Phys. 2024 Jan-Mar;49(1):73-83. doi: 10.4103/jmp.jmp_148_23. Epub 2024 Mar 30.
2
Influence of Jaw Setting in the Determination of Stereotactic Small-Field Output Factors with Different Detectors.颌部设置对使用不同探测器确定立体定向小射野输出因子的影响。
J Med Phys. 2022 Jan-Mar;47(1):65-72. doi: 10.4103/jmp.jmp_111_21. Epub 2022 Mar 31.
3
Effect of angular dependence for small-field dosimetry using seven different detectors.使用七种不同探测器对小射野剂量学的角度依赖性影响。
Med Phys. 2023 Mar;50(3):1274-1289. doi: 10.1002/mp.16198. Epub 2023 Jan 11.
4
Analysis of small field percent depth dose and profiles: Comparison of measurements with various detectors and effects of detector orientation with different jaw settings.小射野百分深度剂量及剂量分布分析:不同探测器测量结果的比较以及不同准直器设置下探测器方向的影响。
J Med Phys. 2016 Jan-Mar;41(1):12-20. doi: 10.4103/0971-6203.177284.
5
Comprehensive investigation of lateral dose profile and output factor measurements in small proton fields from different delivery techniques.不同传输技术中小质子束的侧向剂量分布和输出因子的全面研究。
Med Phys. 2023 Jul;50(7):4546-4561. doi: 10.1002/mp.16357. Epub 2023 Apr 3.
6
A novel method for the determination of field output factors and output correction factors for small static fields for six diodes and a microdiamond detector in megavoltage photon beams.一种用于确定兆伏光子射束中小静态场的六个二极管和微金刚石探测器的野外输出因子和输出校正因子的新方法。
Med Phys. 2019 Feb;46(2):944-963. doi: 10.1002/mp.13318. Epub 2018 Dec 24.
7
Measuring output factors of small fields formed by collimator jaws and multileaf collimator using plastic scintillation detectors.使用塑料闪烁探测器测量准直器叶片和多叶准直器形成的小射野的输出因子。
Med Phys. 2010 Oct;37(10):5541-9. doi: 10.1118/1.3488981.
8
Evaluation of the dose calculation accuracy for small fields defined by jaw or MLC for AAA and Acuros XB algorithms.评估AAA和Acuros XB算法中由铅门或多叶准直器定义的小射野剂量计算的准确性。
Med Phys. 2016 Oct;43(10):5685. doi: 10.1118/1.4963219.
9
A multi-detector comparison to determine convergence of measured relative output factors for small field dosimetry.多探测器比较以确定小场剂量测量相对输出因子的收敛性。
Phys Eng Sci Med. 2024 Mar;47(1):371-379. doi: 10.1007/s13246-023-01351-3. Epub 2023 Nov 9.
10
Measurement of backscattered radiation from secondary collimator jaws into the beam monitor chamber from a dual energy linear accelerator.测量来自双能直线加速器的二级准直器钳口反向散射到束流监测室的辐射。
Strahlenther Onkol. 2001 Dec;177(12):670-5. doi: 10.1007/pl00002382.

本文引用的文献

1
Dosimetry of small static fields used in external photon beam radiotherapy: Summary of TRS-483, the IAEA-AAPM international Code of Practice for reference and relative dose determination.外照射光子束放射治疗中应用的小静态场剂量学:IAEA-AAPM 国际实践导则 TRS-483 的摘要,用于参考和相对剂量确定。
Med Phys. 2018 Nov;45(11):e1123-e1145. doi: 10.1002/mp.13208. Epub 2018 Oct 17.
2
Analysis of small field percent depth dose and profiles: Comparison of measurements with various detectors and effects of detector orientation with different jaw settings.小射野百分深度剂量及剂量分布分析:不同探测器测量结果的比较以及不同准直器设置下探测器方向的影响。
J Med Phys. 2016 Jan-Mar;41(1):12-20. doi: 10.4103/0971-6203.177284.
3
Multicenter evaluation of a synthetic single-crystal diamond detector for CyberKnife small field size output factors.
用于射波刀小射野输出因子的合成单晶金刚石探测器的多中心评估。
Phys Med. 2016 Apr;32(4):575-81. doi: 10.1016/j.ejmp.2016.03.005. Epub 2016 Apr 3.
4
Application of the Exradin W1 scintillator to determine Ediode 60017 and microDiamond 60019 correction factors for relative dosimetry within small MV and FFF fields.应用Exradin W1闪烁体确定小兆伏级和FFF射野内相对剂量测定的Ediode 60017和微钻石60019校正因子。
Phys Med Biol. 2015 Sep 7;60(17):6669-83. doi: 10.1088/0031-9155/60/17/6669. Epub 2015 Aug 13.
5
Properties of a commercial PTW-60019 synthetic diamond detector for the dosimetry of small radiotherapy beams.用于小射野放射治疗剂量测定的商用PTW - 60019型合成金刚石探测器的特性
Phys Med Biol. 2015 Jan 21;60(2):905-24. doi: 10.1088/0031-9155/60/2/905. Epub 2015 Jan 7.
6
Over-response of synthetic microDiamond detectors in small radiation fields.合成微金刚石探测器在小辐射场中的过度响应。
Phys Med Biol. 2014 Oct 7;59(19):5873-81. doi: 10.1088/0031-9155/59/19/5873. Epub 2014 Sep 11.
7
On the correction, perturbation and modification of small field detectors in relative dosimetry.关于相对剂量测定中小场探测器的校正、扰动与修正
Phys Med Biol. 2014 Oct 7;59(19):5937-52. doi: 10.1088/0031-9155/59/19/5937. Epub 2014 Sep 11.
8
Detector to detector corrections: a comprehensive experimental study of detector specific correction factors for beam output measurements for small radiotherapy beams.探测器间校正:针对小型放射治疗射束输出测量的探测器特定校正因子的全面实验研究。
Med Phys. 2014 Jul;41(7):072103. doi: 10.1118/1.4883795.
9
Determination of the KQclinfclin,Qmsr fmsr correction factors for detectors used with an 800 MU/min CyberKnife(®) system equipped with fixed collimators and a study of detector response to small photon beams using a Monte Carlo method.确定配备固定准直器的800 MU/分钟射波刀(®)系统所用探测器的KQclinfclin、Qmsr fmsr校正因子,并使用蒙特卡罗方法研究探测器对小光子束的响应。
Med Phys. 2014 Jul;41(7):071702. doi: 10.1118/1.4881098.
10
Evaluation of a synthetic single-crystal diamond detector for relative dosimetry measurements on a CyberKnife.在 CyberKnife 上进行相对剂量测量的合成单晶金刚石探测器的评估。
Br J Radiol. 2014 Mar;87(1035):20130768. doi: 10.1259/bjr.20130768.