Jiang Qi, Ma Zheru, Sun Jing, Li Yang
Department of Respiratory Medicine, The First Hospital of Jilin University, Jilin, China.
Department of Bone and Joint Surgery, Orthopedic Center, The First Hospital of Jilin University, Jilin, China.
Front Nutr. 2024 May 23;11:1395170. doi: 10.3389/fnut.2024.1395170. eCollection 2024.
Sarcopenia frequently occurs as a comorbidity in individuals with COPD. However, research on the impact of Appendicular Skeletal Muscle Mass (ASM) on survival in COPD patients is scarce. Moreover, there is a lack of research on the association between dietary pro-inflammatory capacity and sarcopenia in COPD.
We analyzed data from the National Health and Nutrition Examination Survey (NHANES) covering the years 1999 to 2006 and 2011 to 2018. We aimed to investigate the relationship between the Dietary Inflammatory Index (DII) and sarcopenia prevalence among adults diagnosed with COPD in the United States. Furthermore, we sought to explore the relationship between sarcopenia, ASMI, and all-cause mortality. The study included a total of 1,429 eligible adult participants, divided into four groups based on quartiles of DII, with adjustments for sample weights. Methodologically, we used multivariable logistic regression analyses and to examine the association between DII and sarcopenia. Additionally, we used restricted cubic spline (RCS) tests to evaluate potential non-linear relationships. To assess the effect of sarcopenia on overall all-cause mortality, we used Kaplan-Meier models and Cox proportional hazards models. Moreover, we used RCS analyses to investigate potential non-linear relationships between ASMI and all-cause mortality. Subgroup analyses were conducted to confirm the reliability of our study findings.
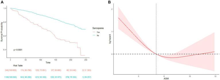
In our COPD participant cohort, individuals with higher DII scores were more likely to be female, unmarried, have lower educational attainment, and show lower ASMI. Using multivariable logistic regression models, we found a positive association between the highest quartile of DII levels and sarcopenia incidence [Odds Ratio (OR) 2.37; 95% Confidence Interval (CI) 1.26-4.48; = 0.01]. However, analysis of RCS curves did not show a non-linear relationship between DII and sarcopenia. Throughout the entire follow-up period, a total of 367 deaths occurred among all COPD patients. Kaplan-Meier survival curves showed a significantly higher all-cause mortality rate among individuals with concurrent sarcopenia ( < 0.0001). Cox proportional hazards model analysis showed a 44% higher risk of all-cause mortality among COPD patients with sarcopenia compared to those without sarcopenia [Hazard Ratio (HR): 1.44; 95% CI 1.05-1.99; < 0.05]. Additionally, our final RCS analyses revealed a significant non-linear association between ASMI levels and all-cause mortality among COPD patients, with a turning point identified at 8.32 kg/m. Participants with ASMI levels above this inflection point had a 42% lower risk of all-cause mortality compared to those with ASMI levels below it (HR 0.58; 95% CI 0.48-0.7).
We observed a significant association between concurrent sarcopenia and an increased risk of all-cause mortality in COPD patients within the United States. Moreover, ASMI demonstrated a non-linear association with all-cause mortality, with a critical threshold identified at 8.32 kg/m. Our findings also revealed an association between DII and the presence of sarcopenia. Consequently, further investigations are warranted to explore the feasibility of dietary DII adjustments as a means to mitigate muscle wasting and enhance the prognosis of COPD.
肌肉减少症常作为慢性阻塞性肺疾病(COPD)患者的一种合并症出现。然而,关于四肢骨骼肌质量(ASM)对COPD患者生存影响的研究很少。此外,关于COPD患者饮食促炎能力与肌肉减少症之间的关联也缺乏研究。
我们分析了1999年至2006年以及2011年至2018年的美国国家健康与营养检查调查(NHANES)数据。我们旨在研究饮食炎症指数(DII)与美国诊断为COPD的成年人中肌肉减少症患病率之间的关系。此外,我们试图探索肌肉减少症、四肢骨骼肌质量指数(ASMI)与全因死亡率之间的关系。该研究共纳入1429名符合条件的成年参与者,根据DII四分位数分为四组,并对样本权重进行了调整。在方法上,我们使用多变量逻辑回归分析来检验DII与肌肉减少症之间的关联。此外,我们使用受限立方样条(RCS)检验来评估潜在的非线性关系。为了评估肌肉减少症对总体全因死亡率的影响,我们使用了Kaplan-Meier模型和Cox比例风险模型。此外,我们使用RCS分析来研究ASMI与全因死亡率之间潜在的非线性关系。进行亚组分析以确认我们研究结果的可靠性。
在我们的COPD参与者队列中,DII得分较高的个体更可能为女性、未婚、教育程度较低且ASMI较低。使用多变量逻辑回归模型,我们发现DII水平最高四分位数与肌肉减少症发病率之间存在正相关[比值比(OR)为2.37;95%置信区间(CI)为1.26 - 4.48;P = 0.01]。然而,RCS曲线分析未显示DII与肌肉减少症之间存在非线性关系。在整个随访期间,所有COPD患者中共发生367例死亡。Kaplan-Meier生存曲线显示,合并肌肉减少症的个体全因死亡率显著更高(P < 0.0001)。Cox比例风险模型分析显示,与无肌肉减少症的COPD患者相比,有肌肉减少症的患者全因死亡风险高44%[风险比(HR):1.44;95% CI为1.05 - 1.99;P < 0.05]。此外,我们最后的RCS分析显示,COPD患者中ASMI水平与全因死亡率之间存在显著的非线性关联,转折点为8.32 kg/m²。与ASMI水平低于该拐点的参与者相比,ASMI水平高于该拐点的参与者全因死亡风险低42%(HR 0.58;95% CI为0.48 - 0.7)。
我们观察到在美国COPD患者中,合并肌肉减少症与全因死亡风险增加之间存在显著关联。此外,ASMI与全因死亡率呈非线性关联,临界阈值为8.32 kg/m²。我们的研究结果还揭示了DII与肌肉减少症存在之间的关联。因此,有必要进一步研究调整饮食DII作为减轻肌肉萎缩和改善COPD预后手段可能性。