• 文献检索
  • 文档翻译
  • 深度研究
  • 学术资讯
  • Suppr Zotero 插件Zotero 插件
  • 邀请有礼
  • 套餐&价格
  • 历史记录
应用&插件
Suppr Zotero 插件Zotero 插件浏览器插件Mac 客户端Windows 客户端微信小程序
定价
高级版会员购买积分包购买API积分包
服务
文献检索文档翻译深度研究API 文档MCP 服务
关于我们
关于 Suppr公司介绍联系我们用户协议隐私条款
关注我们

Suppr 超能文献

核心技术专利:CN118964589B侵权必究
粤ICP备2023148730 号-1Suppr @ 2026

文献检索

告别复杂PubMed语法,用中文像聊天一样搜索,搜遍4000万医学文献。AI智能推荐,让科研检索更轻松。

立即免费搜索

文件翻译

保留排版,准确专业,支持PDF/Word/PPT等文件格式,支持 12+语言互译。

免费翻译文档

深度研究

AI帮你快速写综述,25分钟生成高质量综述,智能提取关键信息,辅助科研写作。

立即免费体验

较高的肌肉健康水平可能对超重和肥胖儿童的骨骼强度和身体成分产生积极影响。

High muscular fitness level may positively affect bone strength and body composition in children with overweight and obesity.

机构信息

EXER-GENUD "Growth, Exercise, NUtrition and Development" Research Group, Universidad de Zaragoza, C/ Pedro Cerbuna Nº 12, 50009, Saragossa, Spain.

EXERNET Red de Investigación en Ejercicio Físico y Salud, Saragossa, Spain.

出版信息

Arch Osteoporos. 2024 Jun 10;19(1):47. doi: 10.1007/s11657-024-01405-3.

DOI:10.1007/s11657-024-01405-3
PMID:38856950
原文链接:https://pmc.ncbi.nlm.nih.gov/articles/PMC11164759/
Abstract

UNLABELLED

Muscular fitness plays a major role in bone health and body composition in overweight and obese children. It is key that the development of this muscle fitness is affected by absolute isometric strength and dynamic strength.

PURPOSE

To compare bone health and body composition between overweight/obese children considering muscular fitness (MF) levels, and to investigate whether weight-bearing dynamic or absolute isometric strength, both involved in the development of this muscular fitness, are more related with bone health.

METHODS

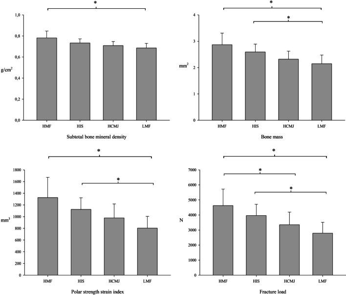
MF of 59 overweight or obese children (10.1 ± 0.9 years, 27 females) was measured by a countermovement jump (CMJ), handgrip, and maximal isometric strength of knee extension. Participants were divided into four groups depending on their MF level performing a cluster analysis: 16 children with high MF (HMF) in all tests, 18 with high performance in isometric strength (HIS), 15 with high performance in CMJ (HCMJ) and 10 low isometric and low dynamic force values (LMF). Body composition values were measured by dual energy X-ray absorptiometry, and bone strength values were assessed by peripheral quantitative computed tomography. Motor skills were evaluated using TGMD-3. Multivariate analysis of covariance test was applied to analyse bone strength differences between children in the different MF groups, using maturity offset, height and weight as covariates, and correlations were investigated.

RESULTS

HMF excelled in bone health. HIS had higher cortical bone area, periosteal circumference, bone mass, polar strength strain index and fracture load than LMF, while HCMJ only showed better results in trabecular bone area than LMF. HMF had significantly better values of fracture load and periosteal and endosteal circumferences than HCMJ, but not than HIS.

CONCLUSIONS

High MF level shows positive effects on bone health in overweight/obese children. Those with highest isometric strength had better bone health compared to those with higher dynamic strength.

TRIAL REGISTRATION

The research project was registered in a public database Clinicaltrials.gov in June 2020 with the identification number NCT04418713.

摘要

目的

比较考虑肌肉力量(MF)水平的超重/肥胖儿童的骨健康和身体成分,并探讨参与肌肉力量发展的负重动力或绝对等长力量与骨健康的相关性。

方法

通过反跳式纵跳(CMJ)、握力和最大等长伸膝强度测量 59 名超重或肥胖儿童(10.1±0.9 岁,27 名女性)的 MF。根据他们在所有测试中的 MF 水平,通过聚类分析将参与者分为 4 组:16 名具有高 MF(HMF)的儿童,18 名具有高等长力量表现(HIS)的儿童,15 名具有高 CMJ 表现(HCMJ)的儿童和 10 名低等长和低动力力量值(LMF)的儿童。通过双能 X 射线吸收法测量身体成分值,通过外周定量计算机断层摄影术评估骨强度值。使用 TGMD-3 评估运动技能。使用成熟偏移量、身高和体重作为协变量,应用协方差分析多变量检验分析不同 MF 组儿童之间骨强度的差异,并进行相关性研究。

结果

HMF 在骨健康方面表现出色。与 LMF 相比,HIS 具有更高的皮质骨面积、骨膜周长、骨量、极强度应变指数和骨折负荷,而 HCMJ 仅显示出优于 LMF 的骨小梁面积。与 HCMJ 相比,HMF 具有显著更好的骨折负荷和骨膜和内骨周长值,但不如 HIS。

结论

高 MF 水平对超重/肥胖儿童的骨健康有积极影响。与具有较高动力强度的儿童相比,具有最高等长强度的儿童具有更好的骨健康。

试验注册

该研究项目于 2020 年 6 月在公共数据库 Clinicaltrials.gov 上注册,识别号为 NCT04418713。

https://cdn.ncbi.nlm.nih.gov/pmc/blobs/a452/11164759/32f0887eb05e/11657_2024_1405_Fig5_HTML.jpg
https://cdn.ncbi.nlm.nih.gov/pmc/blobs/a452/11164759/bc73324898f2/11657_2024_1405_Figa_HTML.jpg
https://cdn.ncbi.nlm.nih.gov/pmc/blobs/a452/11164759/bae7500f0784/11657_2024_1405_Fig1_HTML.jpg
https://cdn.ncbi.nlm.nih.gov/pmc/blobs/a452/11164759/915425486221/11657_2024_1405_Fig2_HTML.jpg
https://cdn.ncbi.nlm.nih.gov/pmc/blobs/a452/11164759/b4e5f066b5fd/11657_2024_1405_Fig3_HTML.jpg
https://cdn.ncbi.nlm.nih.gov/pmc/blobs/a452/11164759/f2a7ce3f3464/11657_2024_1405_Fig4_HTML.jpg
https://cdn.ncbi.nlm.nih.gov/pmc/blobs/a452/11164759/32f0887eb05e/11657_2024_1405_Fig5_HTML.jpg
https://cdn.ncbi.nlm.nih.gov/pmc/blobs/a452/11164759/bc73324898f2/11657_2024_1405_Figa_HTML.jpg
https://cdn.ncbi.nlm.nih.gov/pmc/blobs/a452/11164759/bae7500f0784/11657_2024_1405_Fig1_HTML.jpg
https://cdn.ncbi.nlm.nih.gov/pmc/blobs/a452/11164759/915425486221/11657_2024_1405_Fig2_HTML.jpg
https://cdn.ncbi.nlm.nih.gov/pmc/blobs/a452/11164759/b4e5f066b5fd/11657_2024_1405_Fig3_HTML.jpg
https://cdn.ncbi.nlm.nih.gov/pmc/blobs/a452/11164759/f2a7ce3f3464/11657_2024_1405_Fig4_HTML.jpg
https://cdn.ncbi.nlm.nih.gov/pmc/blobs/a452/11164759/32f0887eb05e/11657_2024_1405_Fig5_HTML.jpg

相似文献

1
High muscular fitness level may positively affect bone strength and body composition in children with overweight and obesity.较高的肌肉健康水平可能对超重和肥胖儿童的骨骼强度和身体成分产生积极影响。
Arch Osteoporos. 2024 Jun 10;19(1):47. doi: 10.1007/s11657-024-01405-3.
2
Active Video Games Improve Muscular Fitness and Motor Skills in Children with Overweight or Obesity.积极的视频游戏可提高超重或肥胖儿童的肌肉健康和运动技能。
Int J Environ Res Public Health. 2022 Feb 24;19(5):2642. doi: 10.3390/ijerph19052642.
3
Muscular Fitness Mediates the Association between 25-Hydroxyvitamin D and Areal Bone Mineral Density in Children with Overweight/Obesity.肌肉健康在超重/肥胖儿童 25-羟维生素 D 与骨密度之间起中介作用。
Nutrients. 2019 Nov 14;11(11):2760. doi: 10.3390/nu11112760.
4
Interrelationship between muscle fitness in childhood and bone mineral density in adulthood: mediation analysis of muscle fitness in adulthood.儿童时期肌肉健康与成年期骨密度的相互关系:成年期肌肉健康的中介分析。
BMC Public Health. 2023 Apr 4;23(1):648. doi: 10.1186/s12889-023-15545-7.
5
Body Composition, Nutritional Profile and Muscular Fitness Affect Bone Health in a Sample of Schoolchildren from Colombia: The Fuprecol Study.身体成分、营养状况和肌肉适能对哥伦比亚学龄儿童样本骨骼健康的影响:Fuprecol研究
Nutrients. 2017 Feb 3;9(2):106. doi: 10.3390/nu9020106.
6
Fitness, body composition, and metabolic risk scores in children and adolescents: the UP&DOWN study.儿童和青少年的健康水平、身体成分和代谢风险评分:UP&DOWN 研究。
Eur J Pediatr. 2023 Feb;182(2):669-687. doi: 10.1007/s00431-022-04707-1. Epub 2022 Nov 29.
7
Physical fitness and psychological health in overweight/obese children: A cross-sectional study from the ActiveBrains project.超重/肥胖儿童的身体和心理健康:来自 ActiveBrains 项目的横断面研究。
J Sci Med Sport. 2018 Feb;21(2):179-184. doi: 10.1016/j.jsams.2017.09.019. Epub 2017 Oct 4.
8
Effects of Exercise on Body Posture, Functional Movement, and Physical Fitness in Children With Overweight/Obesity.运动对超重/肥胖儿童体态、功能性运动和身体适应性的影响。
J Strength Cond Res. 2020 Aug;34(8):2146-2155. doi: 10.1519/JSC.0000000000003655.
9
Twelve Weeks of Plyometric Training Improves Motor Performance of 7- to 9-Year-Old Boys Who Were Overweight/Obese: A Randomized Controlled Intervention.为期十二周的增强式训练可改善超重/肥胖的7至9岁男孩的运动表现:一项随机对照干预研究。
J Strength Cond Res. 2017 Aug;31(8):2091-2099. doi: 10.1519/JSC.0000000000001684.
10
Association Between Physical Fitness and Bone Strength and Structure in 3- to 5-Year-Old Children.3至5岁儿童身体素质与骨强度及结构之间的关联
Sports Health. 2020 Sep/Oct;12(5):431-440. doi: 10.1177/1941738120913645. Epub 2020 May 22.

本文引用的文献

1
Leptin levels were negatively associated with lumbar spine bone mineral content in children with overweight or obesity.瘦素水平与超重或肥胖儿童的腰椎骨矿物质含量呈负相关。
Acta Paediatr. 2022 Oct;111(10):1966-1973. doi: 10.1111/apa.16456. Epub 2022 Jul 5.
2
Obesity and Bone: A Complex Relationship.肥胖与骨骼:复杂的关系。
Int J Mol Sci. 2021 Dec 20;22(24):13662. doi: 10.3390/ijms222413662.
3
Health-Related Criterion-Referenced Cut-Points for Musculoskeletal Fitness Among Youth: A Systematic Review.青少年肌肉骨骼健康相关的标准参照切点:一项系统综述
Sports Med. 2021 Dec;51(12):2629-2646. doi: 10.1007/s40279-021-01524-8. Epub 2021 Aug 2.
4
The Bones of Children With Obesity.肥胖儿童的骨骼。
Front Endocrinol (Lausanne). 2020 Apr 24;11:200. doi: 10.3389/fendo.2020.00200. eCollection 2020.
5
Association Between Muscular Strength and Bone Health from Children to Young Adults: A Systematic Review and Meta-analysis.从儿童到青年时期肌肉力量与骨骼健康的关系:系统评价和荟萃分析。
Sports Med. 2020 Jun;50(6):1163-1190. doi: 10.1007/s40279-020-01267-y.
6
Inflammatory markers and bone mass in children with overweight/obesity: the role of muscular fitness.超重/肥胖儿童的炎症标志物与骨量:肌肉健康的作用。
Pediatr Res. 2020 Jan;87(1):42-47. doi: 10.1038/s41390-019-0572-8. Epub 2019 Sep 7.
7
The Impact of Childhood Obesity on Skeletal Health and Development.儿童肥胖对骨骼健康与发育的影响。
J Obes Metab Syndr. 2019 Mar;28(1):4-17. doi: 10.7570/jomes.2019.28.1.4. Epub 2019 Mar 30.
8
Is Muscular Fitness Associated with Future Health Benefits in Children and Adolescents? A Systematic Review and Meta-Analysis of Longitudinal Studies.肌肉健身与儿童和青少年未来的健康益处有关吗?一项对纵向研究的系统回顾和荟萃分析。
Sports Med. 2019 Jul;49(7):1079-1094. doi: 10.1007/s40279-019-01098-6.
9
Grip strength cutpoints for youth based on a clinically relevant bone health outcome.基于与临床相关的骨骼健康结果的青少年握力切点。
Arch Osteoporos. 2018 Aug 27;13(1):92. doi: 10.1007/s11657-018-0502-0.
10
Examination of muscle morphology and neuromuscular function in normal weight and overfat children aged 7-10 years.7-10 岁正常体重和超重儿童的肌肉形态和神经肌肉功能检查。
Scand J Med Sci Sports. 2018 Nov;28(11):2310-2321. doi: 10.1111/sms.13256. Epub 2018 Jul 26.