Suppr超能文献

新冠疫情后小儿呼吸道合胞病毒住院治疗及呼吸支持情况

Pediatric Respiratory Syncytial Virus Hospitalizations and Respiratory Support After the COVID-19 Pandemic.

作者信息

Winthrop Zachary A, Perez Jennifer M, Staffa Steven J, McManus Michael L, Duvall Melody G

机构信息

Department of Anesthesiology, Critical Care and Pain Medicine, Boston Children's Hospital, Boston, Massachusetts.

出版信息

JAMA Netw Open. 2024 Jun 3;7(6):e2416852. doi: 10.1001/jamanetworkopen.2024.16852.

Abstract

IMPORTANCE

After the COVID-19 pandemic, there was a surge of pediatric respiratory syncytial virus (RSV) infections, but national data on hospitalization and intensive care unit use and advanced respiratory support modalities have not been reported.

OBJECTIVE

To analyze demographics, respiratory support modes, and clinical outcomes of children with RSV infections at tertiary pediatric hospitals from 2017 to 2023.

DESIGN, SETTING, AND PARTICIPANTS: This cross-sectional study evaluated children from 48 freestanding US children's hospitals registered in the Pediatric Health Information System (PHIS) database. Patients 5 years or younger with RSV from July 1, 2017, to June 30, 2023, were included. Each season was defined from July 1 to June 30. Prepandemic RSV seasons included 2017 to 2018, 2018 to 2019, and 2019 to 2020. The postpandemic season was delineated as 2022 to 2023.

EXPOSURE

Hospital presentation with RSV infection.

MAIN OUTCOMES AND MEASURES

Data on emergency department presentations, hospital or intensive care unit admission and length of stay, demographics, respiratory support use, mortality, and cardiopulmonary resuscitation were analyzed. Postpandemic season data were compared with prepandemic seasonal averages.

RESULTS

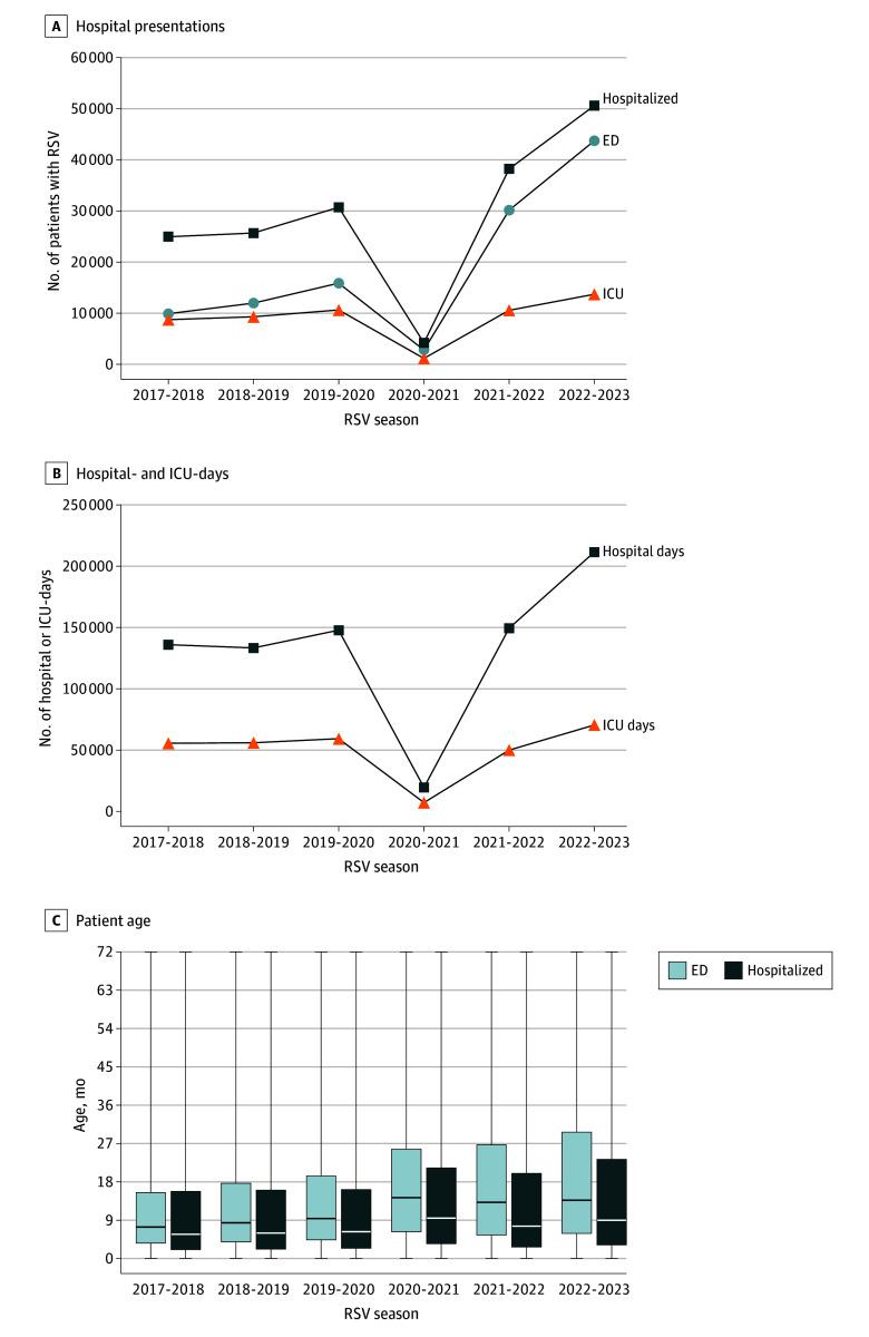
A total of 288 816 children aged 5 years or younger (median [IQR] age, 8.9 [3.3-21.5] months; 159 348 [55.2%] male) presented to 48 US children's hospitals with RSV from July 1, 2017, to June 30, 2023. Respiratory syncytial virus hospital presentations increased from 39 698 before the COVID-19 pandemic to 94 347 after the pandemic (P < .001), with 86.7% more hospitalizations than before the pandemic (50 619 vs 27 114; P < .001). In 2022 to 2023, children were older (median [IQR] age, 11.3 [4.1-26.6] months vs 6.8 [2.6-16.8] months; P < .001) and had fewer comorbidities (17.6% vs 21.8% of hospitalized patients; P < .001) than during prepandemic seasons. Advanced respiratory support use increased 70.1% in 2022 to 2023 (9094 vs 5340; P < .001), and children requiring high-flow nasal cannula (HFNC) or noninvasive ventilation (NIV) were older than during prepandemic seasons (median [IQR] age for HFNC, 6.9 [2.7-16.0] months vs 4.6 [2.0-11.7] months; for NIV, 6.0 [2.1-16.5] months vs 4.3 [1.9-11.9] months). Comorbid conditions were less frequent after the pandemic across all respiratory support modalities (HFNC, 14.9% vs 19.1%, NIV, 22.0% vs 28.5%, invasive mechanical ventilation, 30.5% vs 38.0%; P < .001).

CONCLUSIONS AND RELEVANCE

This cross-sectional study identified a postpandemic pediatric RSV surge that resulted in markedly increased hospital volumes and advanced respiratory support needs in older children with fewer comorbidities than prepandemic seasons. These clinical trends may inform novel vaccine allocation to reduce the overall burden during future RSV seasons.

摘要

重要性

在新冠疫情之后,儿科呼吸道合胞病毒(RSV)感染激增,但关于住院治疗、重症监护病房使用情况以及高级呼吸支持方式的全国性数据尚未见报道。

目的

分析2017年至2023年期间三级儿科医院中RSV感染患儿的人口统计学特征、呼吸支持模式及临床结局。

设计、设置与参与者:这项横断面研究评估了注册于儿科健康信息系统(PHIS)数据库中的48家独立的美国儿童医院的患儿。纳入2017年7月1日至2023年6月30日期间5岁及以下的RSV感染患儿。每个季节定义为7月1日至次年6月30日。疫情前的RSV季节包括2017年至2018年、2018年至2019年以及2019年至2020年。疫情后的季节界定为2022年至2023年。

暴露因素

因RSV感染就诊于医院。

主要结局与测量指标

分析了急诊科就诊、住院或重症监护病房收治情况及住院时长、人口统计学特征、呼吸支持使用情况、死亡率和心肺复苏的数据。将疫情后季节的数据与疫情前季节的平均数据进行比较。

结果

2017年7月1日至2023年6月30日期间,共有288816名5岁及以下儿童(年龄中位数[四分位间距]为8.9[3.3 - 21.5]个月;159348名[55.2%]为男性)因RSV感染就诊于48家美国儿童医院。呼吸道合胞病毒感染的医院就诊人数从新冠疫情前的39698例增加至疫情后的94347例(P < 0.001),住院人数比疫情前增加了86.7%(50619例对27114例;P < 0.001)。在2022年至2023年,患儿年龄更大(年龄中位数[四分位间距]为11.3[4.1 - 26.6]个月对6.8[2.6 - 16.8]个月;P < 0.001),合并症比疫情前季节更少(住院患者中为17.6%对21.8%;P < 0.001)。2022年至2023年高级呼吸支持的使用增加了70.1%(9094例对5340例;P < 0.001),需要高流量鼻导管(HFNC)或无创通气(NIV)的患儿比疫情前季节年龄更大(HFNC的年龄中位数[四分位间距]为6.9[2.7 - 16.0]个月对4.6[2.0 - 11.7]个月;NIV为6.0[2.1 - 16.5]个月对4.3[1.9 - 11.9]个月)。在所有呼吸支持方式中,疫情后合并症的发生率均较低(HFNC为14.9%对19.1%,NIV为22.0%对28.5%,有创机械通气为30.5%对38.0%;P < 0.001)。

结论与意义

这项横断面研究发现,疫情后儿科RSV感染激增,导致医院收治量显著增加,且与疫情前季节相比,合并症较少的大龄儿童对高级呼吸支持的需求增加。这些临床趋势可能为新型疫苗分配提供参考,以减轻未来RSV季节的总体负担。

https://cdn.ncbi.nlm.nih.gov/pmc/blobs/a23f/11177168/71329423dd41/jamanetwopen-e2416852-g001.jpg

文献检索

告别复杂PubMed语法,用中文像聊天一样搜索,搜遍4000万医学文献。AI智能推荐,让科研检索更轻松。

立即免费搜索

文件翻译

保留排版,准确专业,支持PDF/Word/PPT等文件格式,支持 12+语言互译。

免费翻译文档

深度研究

AI帮你快速写综述,25分钟生成高质量综述,智能提取关键信息,辅助科研写作。

立即免费体验