Suppr超能文献

儿童新冠病毒病的胃肠道和肝脏表现:一项系统评价与荟萃分析

Gastrointestinal and Hepatic Manifestations of COVID-19 in Children: A Systematic Review and Meta-analysis.

作者信息

Padua-Zamora April P, Rey Katrina Loren R, Tan-Lim Carol Stephanie C, Gregorio Germana Emerita V

机构信息

Division of Pediatric Gastroenterology, Hepatology and Nutrition, Department of Pediatrics, Philippine General Hospital, University of the Philippines Manila.

Division of Allergy and Immunology, Department of Pediatrics, Philippine General Hospital, University of the Philippines Manila.

出版信息

Acta Med Philipp. 2024 Apr 30;58(7):54-72. doi: 10.47895/amp.v58i7.7054. eCollection 2024.

Abstract

BACKGROUND

Children with COVID-19 may present with gastrointestinal (GI) symptoms and liver dysfunction.

OBJECTIVE

To determine the type and prevalence of gastrointestinal (GI) and hepatic manifestations of COVID-19 in children and its association with severity of illness.

METHODS

A systematic literature search was done from inception until January 4, 2021 using PubMed, Cochrane Library, Google Scholar and prepublication repositories with no language restrictions. Studies that reported the demographic and clinical features of children with COVID-19 and provided data on their GI and hepatic signs and symptoms were included. Prevalence of GI and hepatic manifestations were pooled using Stata14.

RESULTS

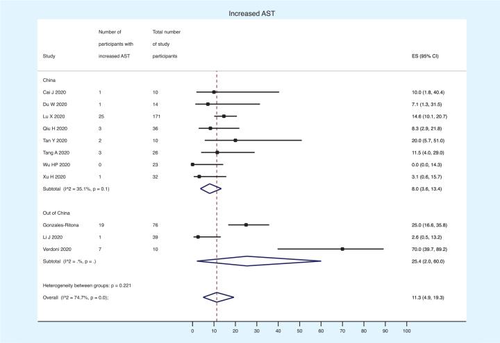
We included 58 studies with total of 4497 participants. Overall, one-third of children with COVID-19 presented with at least one GI symptom (33.8%; 95% confidence interval (CI) 23.0, 45.4; I 97.5%; 42 studies, 3327 participants) with abdominal pain, nausea or vomiting, and diarrhea each occurring in approximately 20%. Children with severe COVID-19 were more likely to present with GI symptoms (odds ratio 2.59; 95% CI 1.35, 4.99; I 24%; 4 studies, 773 participants). The pooled prevalence of elevated transaminases was 11% for both AST (11.3%, 95% CI 4.9, 19.3; I 74.7%; 11 studies, 447 participants) and ALT (11.2%, 95% CI 7.1, 16.0; I 40.8%; 15 studies, 513 participants). Hepatic findings such as jaundice (2-17%), hepatomegaly (2%) or behavioral changes (2%) from hepatic encephalopathy were variably reported by a few studies.The degree of heterogeneity was not improved on exclusion of studies with poor quality, but markedly improved on subgroup analysis according to geographical region and presence of MIS-C. Studies from China showed that children with COVID-19 had significantly lower pooled prevalence for any of the GI symptoms with low degree of heterogeneity, particularly for diarrhea, nausea/vomiting, and abdominal pain, all of which had I of 0%. Those with multisystem inflammatory syndrome in children (MIS-C) had significantly more common GI symptoms and increased transaminases than those without.

CONCLUSION

One-third of children with COVID-19 exhibit at least one GI symptom and more likely present in those with severe disease. Elevated transaminases were present in 10%. Prevalence of GI and hepatic manifestations were higher among children with MIS-C.

摘要

背景

新型冠状病毒肺炎(COVID-19)患儿可能出现胃肠道(GI)症状和肝功能障碍。

目的

确定儿童COVID-19的胃肠道(GI)和肝脏表现的类型及患病率及其与疾病严重程度的关系。

方法

从数据库建库至2021年1月4日,使用PubMed、Cochrane图书馆、谷歌学术搜索和预发表数据库进行系统文献检索,无语言限制。纳入报告COVID-19患儿人口统计学和临床特征并提供其GI和肝脏体征及症状数据的研究。使用Stata14汇总GI和肝脏表现的患病率。

结果

我们纳入了58项研究,共4497名参与者。总体而言,三分之一的COVID-19患儿至少出现一种GI症状(33.8%;95%置信区间(CI)23.0,45.4;I²97.5%;42项研究,3327名参与者),腹痛、恶心或呕吐以及腹泻的发生率均约为20%。重症COVID-19患儿更有可能出现GI症状(优势比2.59;95%CI 1.35,4.99;I²24%;4项研究,773名参与者)。谷草转氨酶(AST)(11.3%,9%CI 4.9,19.3;I²74.7%;11项研究,447名参与者)和谷丙转氨酶(ALT)(11.2%,95%CI 7.1,16.0;I²40.8%;15项研究,513名参与者)升高的汇总患病率均为11%。少数研究不同程度地报告了黄疸(2% - 17%)、肝肿大(2%)或肝性脑病引起的行为改变(2%)等肝脏表现。排除质量较差的研究后异质性程度未改善,但根据地理区域和儿童多系统炎症综合征(MIS-C)的存在进行亚组分析后显著改善。来自中国的研究表明,COVID-19患儿出现任何GI症状的汇总患病率显著较低,异质性程度低,尤其是腹泻、恶心/呕吐和腹痛,所有这些的I²均为0%。患有儿童多系统炎症综合征(MIS-C)的患儿比未患该综合征的患儿出现GI症状和转氨酶升高更为常见。

结论

三分之一的COVID-19患儿表现出至少一种GI症状,且在重症患儿中更易出现。10%的患儿转氨酶升高。MIS-C患儿的GI和肝脏表现患病率更高。

https://cdn.ncbi.nlm.nih.gov/pmc/blobs/9e27/11168955/bd1359849d1c/AMP-58-7-7054-g001.jpg

文献AI研究员

20分钟写一篇综述,助力文献阅读效率提升50倍。

立即体验

用中文搜PubMed

大模型驱动的PubMed中文搜索引擎

马上搜索

文档翻译

学术文献翻译模型,支持多种主流文档格式。

立即体验