Suppr超能文献

从地榆中分离得到的 3 种新的牻牛儿酮糖苷

Three New Ionone Glycosides from Maxim.

机构信息

Shaanxi Key Laboratory of Natural Products & Chemical Biology, College of Chemistry & Pharmacy, Northwest A&F University, Yangling 712100, China.

Shaanxi Jiahe Phytochemistry Company, Xi'an 710077, China.

出版信息

Molecules. 2024 May 23;29(11):2462. doi: 10.3390/molecules29112462.

Abstract

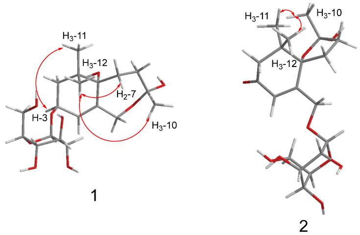
Six ionone glycosides (- and -), including three new ones, named capitsesqsides A-C (-), together with an eudesmane sesquiterpenoid glycoside () and three known triterpenoid saponins (-) were isolated from . The structures of these compounds were determined by extensive spectroscopic techniques (MS, UV, 1D-NMR, and 2D-NMR) and comparison with data reported in the literature. The absolute configurations were determined by comparison of the experimental and theoretically calculated ECD curves and LC-MS analyses after acid hydrolysis and derivatization. The anti-inflammatory activities of these compounds were evaluated in the LPS-induced RAW264.7 cells. Molecular docking demonstrated that has a favorable affinity for NLRP3 and iNOS.

摘要

从八角属植物中分离得到 6 种环酮糖苷(-和-),包括 3 种新化合物,分别命名为 capitsesqsides A-C (-),此外还分离得到 1 种桉烷型倍半萜糖苷()和 3 种已知的三萜皂苷(-)。通过 MS、UV、1D-NMR 和 2D-NMR 等光谱技术以及与文献数据的比较,确定了这些化合物的结构。通过比较实验和理论计算的 ECD 曲线以及酸水解和衍生化后的 LC-MS 分析,确定了它们的绝对构型。对这些化合物进行了 LPS 诱导的 RAW264.7 细胞的抗炎活性评价。分子对接表明,具有与 NLRP3 和 iNOS 良好的亲和力。

https://cdn.ncbi.nlm.nih.gov/pmc/blobs/03ed/11173609/88a57d21b8a2/molecules-29-02462-g001.jpg

文献检索

告别复杂PubMed语法,用中文像聊天一样搜索,搜遍4000万医学文献。AI智能推荐,让科研检索更轻松。

立即免费搜索

文件翻译

保留排版,准确专业,支持PDF/Word/PPT等文件格式,支持 12+语言互译。

免费翻译文档

深度研究

AI帮你快速写综述,25分钟生成高质量综述,智能提取关键信息,辅助科研写作。

立即免费体验