Suppr超能文献

从手指敲击测试的视频中描绘帕金森病的疾病进展。

Characterizing Disease Progression in Parkinson's Disease from Videos of the Finger Tapping Test.

出版信息

IEEE Trans Neural Syst Rehabil Eng. 2024;32:2293-2301. doi: 10.1109/TNSRE.2024.3416446. Epub 2024 Jun 26.

Abstract

INTRODUCTION

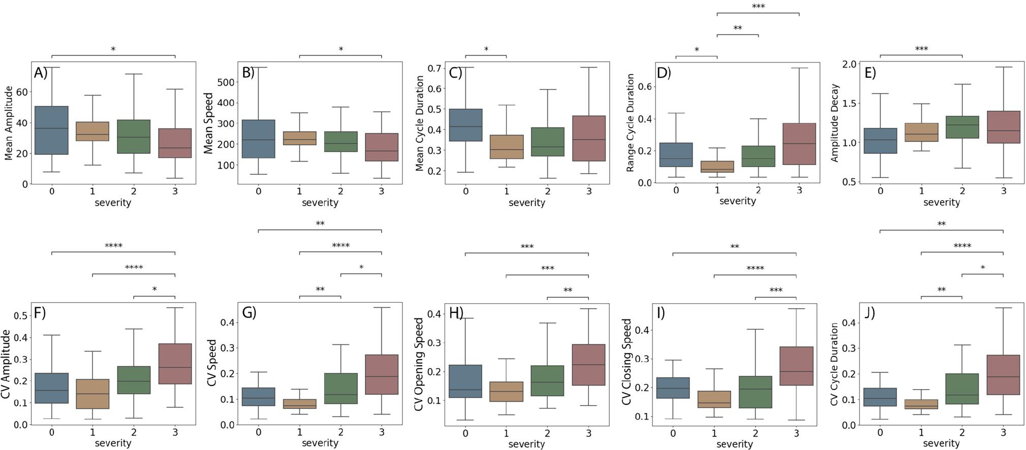
Parkinson's disease (PD) is characterized by motor symptoms whose progression is typically assessed using clinical scales, namely the Movement Disorder Society-Unified Parkinson's Disease Rating Scale (MDS-UPDRS). Despite its reliability, the scale is bounded by a 5-point scale that limits its ability to track subtle changes in disease progression and is prone to subjective interpretations. We aimed to develop an automated system to objectively quantify motor symptoms in PD using Machine Learning (ML) algorithms to analyze videos and capture nuanced features of disease progression.

METHODS

We analyzed videos of the Finger Tapping test, a component of the MDS-UPDRS, from 24 healthy controls and 66 PD patients using ML algorithms for hand pose estimation. We computed multiple movement features related to bradykinesia from videos and employed a novel tiered classification approach to predict disease severity that employed different features according to severity. We compared our video-based disease severity prediction approach against other approaches recently introduced in the literature.

RESULTS

Traditional kinematics features such as amplitude and velocity changed linearly with disease severity, while other non-traditional features displayed non-linear trends. The proposed disease severity prediction approach demonstrated superior accuracy in detecting PD and distinguishing between different levels of disease severity when compared to existing approaches.

摘要

简介

帕金森病(PD)的特征是运动症状,其进展通常使用临床量表进行评估,即运动障碍协会统一帕金森病评定量表(MDS-UPDRS)。尽管该量表具有可靠性,但它的范围仅限于 5 分制,这限制了其跟踪疾病进展中细微变化的能力,并且容易受到主观解释的影响。我们旨在开发一种使用机器学习(ML)算法的自动系统,通过分析视频并捕捉疾病进展的细微特征,客观地量化 PD 的运动症状。

方法

我们使用 ML 算法对手部姿势估计分析了来自 24 名健康对照者和 66 名 PD 患者的 Finger Tapping 测试(MDS-UPDRS 的组成部分)的视频。我们从视频中计算了与运动迟缓相关的多个运动特征,并采用了一种新的分层分类方法来预测疾病严重程度,该方法根据严重程度采用不同的特征。我们将基于视频的疾病严重程度预测方法与文献中最近引入的其他方法进行了比较。

结果

传统的运动学特征,如幅度和速度,与疾病严重程度呈线性变化,而其他非传统特征则呈现出非线性趋势。与现有的方法相比,所提出的疾病严重程度预测方法在检测 PD 和区分不同疾病严重程度方面表现出更高的准确性。

https://cdn.ncbi.nlm.nih.gov/pmc/blobs/ae17/11260436/17be7174a5ff/nihms-2005433-f0001.jpg

文献AI研究员

20分钟写一篇综述,助力文献阅读效率提升50倍。

立即体验

用中文搜PubMed

大模型驱动的PubMed中文搜索引擎

马上搜索

文档翻译

学术文献翻译模型,支持多种主流文档格式。

立即体验