• 文献检索
  • 文档翻译
  • 深度研究
  • 学术资讯
  • Suppr Zotero 插件Zotero 插件
  • 邀请有礼
  • 套餐&价格
  • 历史记录
应用&插件
Suppr Zotero 插件Zotero 插件浏览器插件Mac 客户端Windows 客户端微信小程序
定价
高级版会员购买积分包购买API积分包
服务
文献检索文档翻译深度研究API 文档MCP 服务
关于我们
关于 Suppr公司介绍联系我们用户协议隐私条款
关注我们

Suppr 超能文献

核心技术专利:CN118964589B侵权必究
粤ICP备2023148730 号-1Suppr @ 2026

文献检索

告别复杂PubMed语法,用中文像聊天一样搜索,搜遍4000万医学文献。AI智能推荐,让科研检索更轻松。

立即免费搜索

文件翻译

保留排版,准确专业,支持PDF/Word/PPT等文件格式,支持 12+语言互译。

免费翻译文档

深度研究

AI帮你快速写综述,25分钟生成高质量综述,智能提取关键信息,辅助科研写作。

立即免费体验

利用深度Q学习赋能的仿生算法提高网络安全运营中心的效率

Enhancing the Efficiency of a Cybersecurity Operations Center Using Biomimetic Algorithms Empowered by Deep Q-Learning.

作者信息

Olivares Rodrigo, Salinas Omar, Ravelo Camilo, Soto Ricardo, Crawford Broderick

机构信息

Escuela de Ingeniería Informática, Universidad de Valparaíso, Valparaíso 2362905, Chile.

Escuela de Ingeniería y Negocios, Universidad Viña del Mar, Viña del Mar 2572007, Chile.

出版信息

Biomimetics (Basel). 2024 May 21;9(6):307. doi: 10.3390/biomimetics9060307.

DOI:10.3390/biomimetics9060307
PMID:38921187
原文链接:https://pmc.ncbi.nlm.nih.gov/articles/PMC11201477/
Abstract

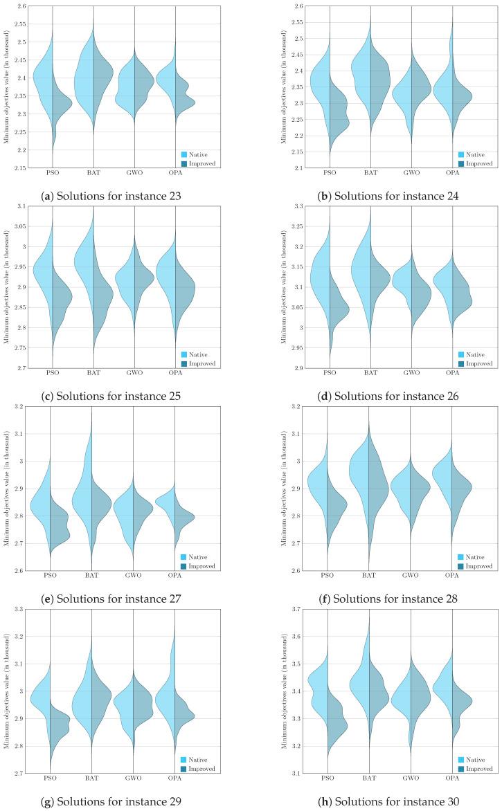
In the complex and dynamic landscape of cyber threats, organizations require sophisticated strategies for managing Cybersecurity Operations Centers and deploying Security Information and Event Management systems. Our study enhances these strategies by integrating the precision of well-known biomimetic optimization algorithms-namely Particle Swarm Optimization, the Bat Algorithm, the Gray Wolf Optimizer, and the Orca Predator Algorithm-with the adaptability of Deep Q-Learning, a reinforcement learning technique that leverages deep neural networks to teach algorithms optimal actions through trial and error in complex environments. This hybrid methodology targets the efficient allocation and deployment of network intrusion detection sensors while balancing cost-effectiveness with essential network security imperatives. Comprehensive computational tests show that versions enhanced with Deep Q-Learning significantly outperform their native counterparts, especially in complex infrastructures. These results highlight the efficacy of integrating metaheuristics with reinforcement learning to tackle complex optimization challenges, underscoring Deep Q-Learning's potential to boost cybersecurity measures in rapidly evolving threat environments.

摘要

在复杂多变的网络威胁环境中,组织需要完善的策略来管理网络安全运营中心并部署安全信息与事件管理系统。我们的研究通过将著名的仿生优化算法(即粒子群优化算法、蝙蝠算法、灰狼优化算法和逆戟鲸捕食者算法)的精确性与深度Q学习的适应性相结合,提升了这些策略。深度Q学习是一种强化学习技术,它利用深度神经网络,通过在复杂环境中反复试验来教会算法最优行动。这种混合方法旨在实现网络入侵检测传感器的高效分配与部署,同时在成本效益与基本网络安全要求之间取得平衡。全面的计算测试表明,采用深度Q学习增强后的版本显著优于其原始版本,尤其是在复杂的基础设施环境中。这些结果凸显了将元启发式算法与强化学习相结合以应对复杂优化挑战的有效性,强调了深度Q学习在快速演变的威胁环境中提升网络安全措施的潜力。

https://cdn.ncbi.nlm.nih.gov/pmc/blobs/2336/11201477/230718fe13c9/biomimetics-09-00307-g008.jpg
https://cdn.ncbi.nlm.nih.gov/pmc/blobs/2336/11201477/5056c56aabcf/biomimetics-09-00307-g001.jpg
https://cdn.ncbi.nlm.nih.gov/pmc/blobs/2336/11201477/c179e6479c1f/biomimetics-09-00307-g002.jpg
https://cdn.ncbi.nlm.nih.gov/pmc/blobs/2336/11201477/fdde2035416b/biomimetics-09-00307-g003.jpg
https://cdn.ncbi.nlm.nih.gov/pmc/blobs/2336/11201477/26f93658fc68/biomimetics-09-00307-g004.jpg
https://cdn.ncbi.nlm.nih.gov/pmc/blobs/2336/11201477/29e82a953c23/biomimetics-09-00307-g005.jpg
https://cdn.ncbi.nlm.nih.gov/pmc/blobs/2336/11201477/d89b9686f94c/biomimetics-09-00307-g006.jpg
https://cdn.ncbi.nlm.nih.gov/pmc/blobs/2336/11201477/f72db38d2883/biomimetics-09-00307-g007.jpg
https://cdn.ncbi.nlm.nih.gov/pmc/blobs/2336/11201477/230718fe13c9/biomimetics-09-00307-g008.jpg
https://cdn.ncbi.nlm.nih.gov/pmc/blobs/2336/11201477/5056c56aabcf/biomimetics-09-00307-g001.jpg
https://cdn.ncbi.nlm.nih.gov/pmc/blobs/2336/11201477/c179e6479c1f/biomimetics-09-00307-g002.jpg
https://cdn.ncbi.nlm.nih.gov/pmc/blobs/2336/11201477/fdde2035416b/biomimetics-09-00307-g003.jpg
https://cdn.ncbi.nlm.nih.gov/pmc/blobs/2336/11201477/26f93658fc68/biomimetics-09-00307-g004.jpg
https://cdn.ncbi.nlm.nih.gov/pmc/blobs/2336/11201477/29e82a953c23/biomimetics-09-00307-g005.jpg
https://cdn.ncbi.nlm.nih.gov/pmc/blobs/2336/11201477/d89b9686f94c/biomimetics-09-00307-g006.jpg
https://cdn.ncbi.nlm.nih.gov/pmc/blobs/2336/11201477/f72db38d2883/biomimetics-09-00307-g007.jpg
https://cdn.ncbi.nlm.nih.gov/pmc/blobs/2336/11201477/230718fe13c9/biomimetics-09-00307-g008.jpg

相似文献

1
Enhancing the Efficiency of a Cybersecurity Operations Center Using Biomimetic Algorithms Empowered by Deep Q-Learning.利用深度Q学习赋能的仿生算法提高网络安全运营中心的效率
Biomimetics (Basel). 2024 May 21;9(6):307. doi: 10.3390/biomimetics9060307.
2
Enhancing Intrusion Detection Systems for IoT and Cloud Environments Using a Growth Optimizer Algorithm and Conventional Neural Networks.利用增长优化器算法和传统神经网络增强物联网和云环境中的入侵检测系统。
Sensors (Basel). 2023 Apr 30;23(9):4430. doi: 10.3390/s23094430.
3
Applying Reinforcement Learning for Enhanced Cybersecurity against Adversarial Simulation.应用强化学习增强对抗性模拟的网络安全防御
Sensors (Basel). 2023 Mar 10;23(6):3000. doi: 10.3390/s23063000.
4
Sine-Cosine-Adopted African Vultures Optimization with Ensemble Autoencoder-Based Intrusion Detection for Cybersecurity in CPS Environment.基于正弦余弦自适应非洲秃鹫优化与集成自动编码器的 CPS 环境中网络安全入侵检测
Sensors (Basel). 2023 May 16;23(10):4804. doi: 10.3390/s23104804.
5
A hybrid feature weighted attention based deep learning approach for an intrusion detection system using the random forest algorithm.基于混合特征加权注意力的深度学习方法与随机森林算法在入侵检测系统中的应用。
PLoS One. 2024 May 23;19(5):e0302294. doi: 10.1371/journal.pone.0302294. eCollection 2024.
6
Proposed algorithm for smart grid DDoS detection based on deep learning.基于深度学习的智能电网分布式拒绝服务攻击检测算法
Neural Netw. 2023 Feb;159:175-184. doi: 10.1016/j.neunet.2022.12.011. Epub 2022 Dec 21.
7
A Bayesian Framework for the Analysis and Optimal Mitigation of Cyber Threats to Cyber-Physical Systems.用于分析和优化缓解对网络物理系统的网络威胁的贝叶斯框架。
Risk Anal. 2022 Oct;42(10):2275-2290. doi: 10.1111/risa.13900. Epub 2022 Mar 1.
8
Development and Validation of a Cyber-Physical System Leveraging EFDPN for Enhanced WSN-IoT Network Security.利用EFDPN增强WSN-IoT网络安全性的信息物理系统的开发与验证
Sensors (Basel). 2023 Nov 20;23(22):9294. doi: 10.3390/s23229294.
9
Attacks to Automatous Vehicles: A Deep Learning Algorithm for Cybersecurity.自动驾驶汽车攻击:网络安全的深度学习算法。
Sensors (Basel). 2022 Jan 4;22(1):360. doi: 10.3390/s22010360.
10
Influence of Human Factors on Cyber Security within Healthcare Organisations: A Systematic Review.人为因素对医疗机构网络安全的影响:系统综述。
Sensors (Basel). 2021 Jul 28;21(15):5119. doi: 10.3390/s21155119.

本文引用的文献

1
Adaptive Guided Equilibrium Optimizer with Spiral Search Mechanism to Solve Global Optimization Problems.具有螺旋搜索机制的自适应引导平衡优化器用于解决全局优化问题。
Biomimetics (Basel). 2023 Aug 23;8(5):383. doi: 10.3390/biomimetics8050383.
2
A hybrid deep learning-based intrusion detection system for IoT networks.一种用于物联网网络的基于深度学习的混合入侵检测系统。
Math Biosci Eng. 2023 Jun 13;20(8):13491-13520. doi: 10.3934/mbe.2023602.
3
Bio-Inspired Internet of Things: Current Status, Benefits, Challenges, and Future Directions.
生物启发式物联网:现状、优势、挑战及未来方向。
Biomimetics (Basel). 2023 Aug 17;8(4):373. doi: 10.3390/biomimetics8040373.
4
Bridging Locomotion and Manipulation Using Reconfigurable Robotic Limbs via Reinforcement Learning.通过强化学习利用可重构机器人肢体实现运动与操作的衔接
Biomimetics (Basel). 2023 Aug 14;8(4):364. doi: 10.3390/biomimetics8040364.
5
Biomimethics: a critical perspective on the ethical implications of biomimetics in technological innovation.仿生学:对技术创新中仿生学的伦理影响的批判性视角。
Bioinspir Biomim. 2023 Jul 26;18(5). doi: 10.1088/1748-3190/ace7a2.
6
Building an Effective Classifier for Phishing Web Pages Detection: A Quantum-Inspired Biomimetic Paradigm Suitable for Big Data Analytics of Cyber Attacks.构建用于网络钓鱼网页检测的有效分类器:一种适用于网络攻击大数据分析的量子启发式仿生范式。
Biomimetics (Basel). 2023 May 9;8(2):197. doi: 10.3390/biomimetics8020197.
7
Anomaly Detection Module for Network Traffic Monitoring in Public Institutions.公共机构网络流量监测中的异常检测模块。
Sensors (Basel). 2023 Mar 9;23(6):2974. doi: 10.3390/s23062974.
8
Broadening the Taxonomic Breadth of Organisms in the Bio-Inspired Design Process.在仿生设计过程中拓宽生物的分类广度。
Biomimetics (Basel). 2023 Jan 23;8(1):48. doi: 10.3390/biomimetics8010048.
9
Prevention of Cyber Security with the Internet of Things Using Particle Swarm Optimization.利用粒子群优化技术预防物联网的网络安全问题。
Sensors (Basel). 2022 Aug 16;22(16):6117. doi: 10.3390/s22166117.
10
Deep Q-Learning in Robotics: Improvement of Accuracy and Repeatability.机器人深度学习:提高准确性和可重复性。
Sensors (Basel). 2022 May 21;22(10):3911. doi: 10.3390/s22103911.