• 文献检索
  • 文档翻译
  • 深度研究
  • 学术资讯
  • Suppr Zotero 插件Zotero 插件
  • 邀请有礼
  • 套餐&价格
  • 历史记录
应用&插件
Suppr Zotero 插件Zotero 插件浏览器插件Mac 客户端Windows 客户端微信小程序
定价
高级版会员购买积分包购买API积分包
服务
文献检索文档翻译深度研究API 文档MCP 服务
关于我们
关于 Suppr公司介绍联系我们用户协议隐私条款
关注我们

Suppr 超能文献

核心技术专利:CN118964589B侵权必究
粤ICP备2023148730 号-1Suppr @ 2026

文献检索

告别复杂PubMed语法,用中文像聊天一样搜索,搜遍4000万医学文献。AI智能推荐,让科研检索更轻松。

立即免费搜索

文件翻译

保留排版,准确专业,支持PDF/Word/PPT等文件格式,支持 12+语言互译。

免费翻译文档

深度研究

AI帮你快速写综述,25分钟生成高质量综述,智能提取关键信息,辅助科研写作。

立即免费体验

克隆性造血相关基因突变影响 AML 患者造血干细胞移植后急性移植物抗宿主病。

Clonal Hematopoiesis-Associated Gene Mutations Affect Acute Graft-Versus-Host Disease After Hematopoietic Stem Cell Transplantation in AML Patients.

机构信息

Department of Hematology, The Fifth Medical Centre, Chinese PLA General Hospital, Beijing, China (mainland).

School of Medicine, Nankai University, Tianjin, China (mainland).

出版信息

Ann Transplant. 2024 Jul 2;29:e943688. doi: 10.12659/AOT.943688.

DOI:10.12659/AOT.943688
PMID:38952007
原文链接:https://pmc.ncbi.nlm.nih.gov/articles/PMC11299484/
Abstract

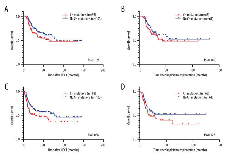
BACKGROUND The relationship between clonal hematopoiesis (CH)-associated gene mutations and allogeneic hematopoietic stem cell transplantation (allo-HSCT) has been extensively studied since next-generation sequencing (NGS) technology became widely available. However, research has mainly focused on the relationship between donor CH mutations and transplant prognosis, and research into the relationship between CH mutations in the recipient and acute graft-versus-host disease (aGVHD) is lacking. MATERIAL AND METHODS We analyzed NGS results and their correlation with aGVHD and prognosis in 196 AML patients undergoing allo-HSCT. RESULTS A total of 93 (47.4%) patients had CH mutations. The most frequently mutated genes were DNMT3A (28 of 196; 14.3%), TET2 (22 of 196; 11.2%), IDH1 (15 of 196; 7.7%), IDH2 (14 of 196; 7.1%), and ASXL1 (13 of 196; 6.6%). The incidence of aGVHD was higher in patients older than 45 years old with DTA mutations (DNMT3A, TET2 or ASXL1). DNMT3A mutation but not with TET2 or ASXL1 mutation was an independent risk factor for aGVHD in patients receiving allo-HSCT older than 45 years old. With a median follow-up of 42.7 months, CH mutations were not associated with overall survival and leukemia-free survival. CONCLUSIONS DNMT3A mutation, but not TET2 or ASXL1 mutation, was associated with higher incidence of aGVHD.

摘要

背景

自下一代测序(NGS)技术广泛应用以来,人们对克隆性造血(CH)相关基因突变与异基因造血干细胞移植(allo-HSCT)之间的关系进行了广泛研究。然而,研究主要集中在供体 CH 突变与移植预后之间的关系,而关于受者 CH 突变与急性移植物抗宿主病(aGVHD)之间的关系的研究则较少。

材料与方法

我们分析了 196 例接受 allo-HSCT 的 AML 患者的 NGS 结果及其与 aGVHD 和预后的相关性。

结果

共有 93 例(47.4%)患者存在 CH 突变。最常突变的基因是 DNMT3A(196 例中有 28 例;14.3%)、TET2(196 例中有 22 例;11.2%)、IDH1(196 例中有 15 例;7.7%)、IDH2(196 例中有 14 例;7.1%)和 ASXL1(196 例中有 13 例;6.6%)。年龄大于 45 岁且存在 DTA 突变(DNMT3A、TET2 或 ASXL1)的患者 aGVHD 发生率更高。年龄大于 45 岁接受 allo-HSCT 的患者中,DNMT3A 突变而非 TET2 或 ASXL1 突变是 aGVHD 的独立危险因素。中位随访 42.7 个月后,CH 突变与总生存和无白血病生存无关。

结论

DNMT3A 突变而非 TET2 或 ASXL1 突变与更高的 aGVHD 发生率相关。

https://cdn.ncbi.nlm.nih.gov/pmc/blobs/1858/11299484/cd038f01185a/anntransplant-29-e943688-g004.jpg
https://cdn.ncbi.nlm.nih.gov/pmc/blobs/1858/11299484/1ac53b5d578d/anntransplant-29-e943688-g001.jpg
https://cdn.ncbi.nlm.nih.gov/pmc/blobs/1858/11299484/cfcc27bc6cdf/anntransplant-29-e943688-g002.jpg
https://cdn.ncbi.nlm.nih.gov/pmc/blobs/1858/11299484/fe0c832ef9cc/anntransplant-29-e943688-g003.jpg
https://cdn.ncbi.nlm.nih.gov/pmc/blobs/1858/11299484/cd038f01185a/anntransplant-29-e943688-g004.jpg
https://cdn.ncbi.nlm.nih.gov/pmc/blobs/1858/11299484/1ac53b5d578d/anntransplant-29-e943688-g001.jpg
https://cdn.ncbi.nlm.nih.gov/pmc/blobs/1858/11299484/cfcc27bc6cdf/anntransplant-29-e943688-g002.jpg
https://cdn.ncbi.nlm.nih.gov/pmc/blobs/1858/11299484/fe0c832ef9cc/anntransplant-29-e943688-g003.jpg
https://cdn.ncbi.nlm.nih.gov/pmc/blobs/1858/11299484/cd038f01185a/anntransplant-29-e943688-g004.jpg

相似文献

1
Clonal Hematopoiesis-Associated Gene Mutations Affect Acute Graft-Versus-Host Disease After Hematopoietic Stem Cell Transplantation in AML Patients.克隆性造血相关基因突变影响 AML 患者造血干细胞移植后急性移植物抗宿主病。
Ann Transplant. 2024 Jul 2;29:e943688. doi: 10.12659/AOT.943688.
2
Donor Clonal Hematopoiesis and Recipient Outcomes After Transplantation.供者克隆性造血与移植后受者结局
J Clin Oncol. 2022 Jan 10;40(2):189-201. doi: 10.1200/JCO.21.02286. Epub 2021 Nov 18.
3
Pilot Study of Donor-Engrafted Clonal Hematopoiesis Evolution and Clinical Outcomes in Allogeneic Hematopoietic Cell Transplantation Recipients Using a National Registry.供者嵌合性造血的演变及其在异基因造血细胞移植受者中的临床结局的初步研究:基于国家注册库的研究
Transplant Cell Ther. 2023 Oct;29(10):640.e1-640.e8. doi: 10.1016/j.jtct.2023.07.021. Epub 2023 Jul 28.
4
Prognostic impact of clonal hematopoiesis mutations at complete molecular remission in acute myeloid leukemia with NPM1 mutation.NPM1 突变的急性髓系白血病完全分子缓解时克隆性造血突变的预后影响。
J Cancer Res Clin Oncol. 2024 Oct 18;150(10):465. doi: 10.1007/s00432-024-05999-6.
5
Donor clonal hematopoiesis increases risk of acute graft versus host disease after matched sibling transplantation.供者克隆性造血会增加亲缘全相合造血干细胞移植后急性移植物抗宿主病的风险。
Leukemia. 2022 Jan;36(1):257-262. doi: 10.1038/s41375-021-01312-3. Epub 2021 Jun 16.
6
Acute myeloid leukemia derived from lympho-myeloid clonal hematopoiesis.源自淋巴-髓系克隆性造血的急性髓系白血病。
Leukemia. 2017 Jun;31(6):1286-1295. doi: 10.1038/leu.2016.345. Epub 2016 Nov 24.
7
Impact of the variant allele frequency of ASXL1, DNMT3A, JAK2, TET2, TP53, and NPM1 on the outcomes of patients with newly diagnosed acute myeloid leukemia.ASXL1、DNMT3A、JAK2、TET2、TP53 和 NPM1 变异等位基因频率对新发急性髓系白血病患者结局的影响。
Cancer. 2020 Feb 15;126(4):765-774. doi: 10.1002/cncr.32566. Epub 2019 Nov 19.
8
[Prognostic Value of DTA Mutations in Patients with Newly Diagnosed Acute Myeloid Leukemia].[新诊断急性髓系白血病患者中DTA突变的预后价值]
Zhongguo Shi Yan Xue Ye Xue Za Zhi. 2024 Aug;32(4):993-998. doi: 10.19746/j.cnki.issn.1009-2137.2024.04.003.
9
Allogeneic hematopoietic stem cell transplantation could improve the survival of acute myeloid leukemia patients with ASXL1 mutations.异基因造血干细胞移植可改善 ASXL1 突变的急性髓系白血病患者的生存。
Hematology. 2021 Dec;26(1):340-347. doi: 10.1080/16078454.2021.1905356.
10
Symptomatic Heart Failure and Clonal Hematopoiesis-Related Mutations in Patients With Acute Myeloid Leukemia.症状性心力衰竭与急性髓系白血病患者中克隆性造血相关突变。
Am J Cardiol. 2024 Sep 1;226:9-17. doi: 10.1016/j.amjcard.2024.06.033. Epub 2024 Jul 6.

引用本文的文献

1
The interaction between common genetic mutations in AML and the immune landscape: mechanisms and implications for immune response.急性髓系白血病常见基因突变与免疫格局之间的相互作用:免疫反应的机制及意义
Front Immunol. 2025 Aug 11;16:1635111. doi: 10.3389/fimmu.2025.1635111. eCollection 2025.

本文引用的文献

1
Clonal Hematopoiesis and Its Impact on Human Health.克隆性造血及其对人类健康的影响。
Annu Rev Med. 2023 Jan 27;74:249-260. doi: 10.1146/annurev-med-042921-112347. Epub 2022 Nov 30.
2
Distinct Tumor Necrosis Factor Alpha Receptors Dictate Stem Cell Fitness versus Lineage Output in Dnmt3a-Mutant Clonal Hematopoiesis.DNMT3A 突变克隆性造血中的不同肿瘤坏死因子-α受体决定干细胞适应性与谱系输出。
Cancer Discov. 2022 Dec 2;12(12):2763-2773. doi: 10.1158/2159-8290.CD-22-0086.
3
Diagnosis and management of AML in adults: 2022 recommendations from an international expert panel on behalf of the ELN.
成人 AML 的诊断与治疗:ELN 专家组代表发布的 2022 年国际专家建议
Blood. 2022 Sep 22;140(12):1345-1377. doi: 10.1182/blood.2022016867.
4
Donor T cell DNMT3a regulates alloreactivity in mouse models of hematopoietic stem cell transplantation.供体细胞 T 细胞中的 DNMT3a 调控造血干细胞移植小鼠模型中的同种异体反应。
J Clin Invest. 2022 Jul 1;132(13). doi: 10.1172/JCI158047.
5
Early detection and intervention of clonal hematopoiesis for preventing hematological malignancies.克隆性造血的早期检测与干预以预防血液系统恶性肿瘤。
Cancer Lett. 2022 Jul 10;538:215691. doi: 10.1016/j.canlet.2022.215691. Epub 2022 Apr 23.
6
Level of unique T cell clonotypes is associated with clonal hematopoiesis and survival in patients with lymphoma undergoing ASCT.独特T细胞克隆型水平与接受自体造血干细胞移植的淋巴瘤患者的克隆性造血及生存相关。
Bone Marrow Transplant. 2022 Apr;57(4):674-677. doi: 10.1038/s41409-022-01580-2. Epub 2022 Feb 5.
7
Implications of Clonal Hematopoiesis for Precision Oncology.克隆性造血对精准肿瘤学的影响。
JCO Precis Oncol. 2020 Nov;4:639-646. doi: 10.1200/PO.20.00144.
8
Donor Clonal Hematopoiesis and Recipient Outcomes After Transplantation.供者克隆性造血与移植后受者结局
J Clin Oncol. 2022 Jan 10;40(2):189-201. doi: 10.1200/JCO.21.02286. Epub 2021 Nov 18.
9
Clonal hematopoiesis and its emerging effects on cellular therapies.克隆性造血及其对细胞治疗的新影响。
Leukemia. 2021 Oct;35(10):2752-2758. doi: 10.1038/s41375-021-01337-8. Epub 2021 Jul 2.
10
Donor clonal hematopoiesis increases risk of acute graft versus host disease after matched sibling transplantation.供者克隆性造血会增加亲缘全相合造血干细胞移植后急性移植物抗宿主病的风险。
Leukemia. 2022 Jan;36(1):257-262. doi: 10.1038/s41375-021-01312-3. Epub 2021 Jun 16.