Suppr超能文献

遵循 EAT-柳叶刀饮食与抑郁和焦虑的发生。

Adherence to the EAT-Lancet diet and incident depression and anxiety.

机构信息

Department of Epidemiology and Biostatistics, School of Public Health, Suzhou Medical College of Soochow University, Suzhou, China.

Department of Clinical Sciences Malmö, Lund University, Malmö, Sweden.

出版信息

Nat Commun. 2024 Jul 3;15(1):5599. doi: 10.1038/s41467-024-49653-8.

Abstract

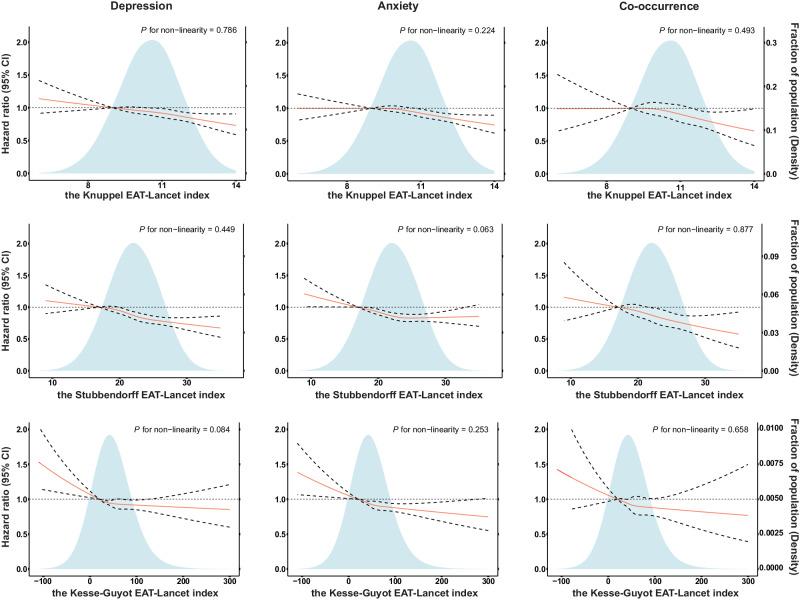
High-quality diets have been increasingly acknowledged as a promising candidate to counter the growing prevalence of mental health disorders. This study aims to investigate the prospective associations of adhering to the EAT-Lancet reference diet with incident depression, anxiety and their co-occurrence in 180,446 UK Biobank participants. Degrees of adherence to the EAT-Lancet diet were translated into three different diet scores. Over 11.62 years of follow-up, participants in the highest adherence group of the Knuppel EAT-Lancet index showed lower risks of depression (hazard ratio: 0.806, 95% CI: 0.730-0.890), anxiety (0.818, 0.751-0.892) and their co-occurrence (0.756, 0.624-0.914), compared to the lowest adherence group. The corresponding hazard ratios (95% CIs) were 0.711 (0.627-0.806), 0.765 (0.687-0.852) and 0.659 (0.516-0.841) for the Stubbendorff EAT-Lancet index, and 0.844 (0.768-0.928), 0.825 (0.759-0.896) and 0.818 (0.682-0.981) for the Kesse-Guyot EAT-Lancet diet index. Our findings suggest that higher adherence to the EAT-Lancet diet is associated with lower risks of incident depression, anxiety and their co-occurrence.

摘要

高质量的饮食越来越被认为是对抗心理健康障碍日益流行的有希望的候选方法。本研究旨在调查在 180446 名英国生物库参与者中,遵循 EAT-Lancet 参考饮食与抑郁、焦虑及其共病的前瞻性关联。对 EAT-Lancet 饮食的依从程度被转化为三种不同的饮食评分。在超过 11.62 年的随访中,Knuppel EAT-Lancet 指数最高依从组的参与者抑郁(风险比:0.806,95%CI:0.730-0.890)、焦虑(0.818,0.751-0.892)及其共病(0.756,0.624-0.914)的风险较低,与最低依从组相比。相应的风险比(95%CI)分别为 0.711(0.627-0.806)、0.765(0.687-0.852)和 0.659(0.516-0.841),对于 Stubbendorff EAT-Lancet 指数,和 0.844(0.768-0.928)、0.825(0.759-0.896)和 0.818(0.682-0.981)对于 Kesse-Guyot EAT-Lancet 饮食指数。我们的研究结果表明,更高的 EAT-Lancet 饮食依从性与较低的抑郁、焦虑及其共病的发病风险相关。

https://cdn.ncbi.nlm.nih.gov/pmc/blobs/0287/11222463/a40fb0c9a6b7/41467_2024_49653_Fig1_HTML.jpg

文献检索

告别复杂PubMed语法,用中文像聊天一样搜索,搜遍4000万医学文献。AI智能推荐,让科研检索更轻松。

立即免费搜索

文件翻译

保留排版,准确专业,支持PDF/Word/PPT等文件格式,支持 12+语言互译。

免费翻译文档

深度研究

AI帮你快速写综述,25分钟生成高质量综述,智能提取关键信息,辅助科研写作。

立即免费体验