Mansour Basel, Gauld James W
Department of Chemistry and Biochemistry, University of Windsor, Windsor, Ontario N9B 3P4, Canada.
ACS Omega. 2024 Jun 22;9(26):28556-28563. doi: 10.1021/acsomega.4c02531. eCollection 2024 Jul 2.
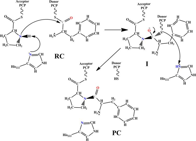
Nonribosomal peptide synthetases (NRPSs) are important enzymes that synthesize an array of nongenetically encoded peptides. The latter have diverse physicochemical properties and roles. NRPSs are modular enzymes in which, for example, the condensation (C-) domain catalyzes the formation of amide bonds. The NRPS tyrocidine synthetase from is responsible for synthesizing the cyclic-peptide antibiotic tyrocidine. The first step is formation of an amide bond between a proline and phenylalanine which is catalyzed by a C-domain. In this study, a multiscale computational approach (molecular dynamics and QM/MM) has been used to investigate substrate binding and catalytic mechanism of the C-domain of tyrocidine synthetase. Overall, the mechanism is found to proceed through three exergonic steps in which an active site Histidine, His222, acts as a base and acid. First, His222 acts as a base to facilitate nucleophilic attack of the prolyl nitrogen at the phenylalanyl's carbonyl carbon. This is also the rate-limiting step with a free energy barrier of 38.8 kJ mol. The second step is collapse of the resulting tetrahedral intermediate with cleavage of the S-C bond between the phenylalanyl and its Ppant arm, along with formation of the above amide bond. Meanwhile, the now protonated His222 imidazole has rotated toward the newly formed thiolate of the Ppant arm. In the final step, His222 acts as an acid, protonating the thiolate and regenerating a neutral His222. The overall mechanism is found to be exergonic with the final product complex being 46.3 kJ mol lower in energy than the initial reactant complex.
非核糖体肽合成酶(NRPSs)是合成一系列非基因编码肽的重要酶。后者具有多样的物理化学性质和作用。NRPSs是模块化酶,例如,缩合(C-)结构域催化酰胺键的形成。来自[具体来源未给出]的NRPS短杆菌酪肽合成酶负责合成环肽抗生素短杆菌酪肽。第一步是脯氨酸和苯丙氨酸之间酰胺键的形成,这由C-结构域催化。在本研究中,采用了一种多尺度计算方法(分子动力学和QM/MM)来研究短杆菌酪肽合成酶C-结构域的底物结合和催化机制。总体而言,该机制通过三个放能步骤进行,其中活性位点组氨酸His222充当碱和酸。首先,His222充当碱,促进脯氨酰氮对苯丙氨酰羰基碳的亲核攻击。这也是限速步骤,自由能垒为38.8 kJ/mol。第二步是所得四面体中间体的坍塌,伴随着苯丙氨酰与其Ppant臂之间S-C键的断裂,以及上述酰胺键的形成。同时,现在质子化的His222咪唑已向新形成的Ppant臂硫醇盐旋转。在最后一步中,His222充当酸,使硫醇盐质子化并再生中性His222。发现整个机制是放能的,最终产物复合物的能量比初始反应物复合物低46.3 kJ/mol。