• 文献检索
  • 文档翻译
  • 深度研究
  • 学术资讯
  • Suppr Zotero 插件Zotero 插件
  • 邀请有礼
  • 套餐&价格
  • 历史记录
应用&插件
Suppr Zotero 插件Zotero 插件浏览器插件Mac 客户端Windows 客户端微信小程序
定价
高级版会员购买积分包购买API积分包
服务
文献检索文档翻译深度研究API 文档MCP 服务
关于我们
关于 Suppr公司介绍联系我们用户协议隐私条款
关注我们

Suppr 超能文献

核心技术专利:CN118964589B侵权必究
粤ICP备2023148730 号-1Suppr @ 2026

文献检索

告别复杂PubMed语法,用中文像聊天一样搜索,搜遍4000万医学文献。AI智能推荐,让科研检索更轻松。

立即免费搜索

文件翻译

保留排版,准确专业,支持PDF/Word/PPT等文件格式,支持 12+语言互译。

免费翻译文档

深度研究

AI帮你快速写综述,25分钟生成高质量综述,智能提取关键信息,辅助科研写作。

立即免费体验

m6A修饰在阿尔茨海默病风险预测及Notch1信号通路中的作用

The role of m6A modification in the risk prediction and Notch1 pathway of Alzheimer's disease.

作者信息

Qiao Yingdan, Mei Yingna, Xia Minqi, Luo Deng, Gao Ling

机构信息

Department of Endocrinology & Metabolism, Renmin Hospital of Wuhan University, Wuhan, P.R. China.

出版信息

iScience. 2024 Jun 8;27(7):110235. doi: 10.1016/j.isci.2024.110235. eCollection 2024 Jul 19.

DOI:10.1016/j.isci.2024.110235
PMID:39040060
原文链接:https://pmc.ncbi.nlm.nih.gov/articles/PMC11261416/
Abstract

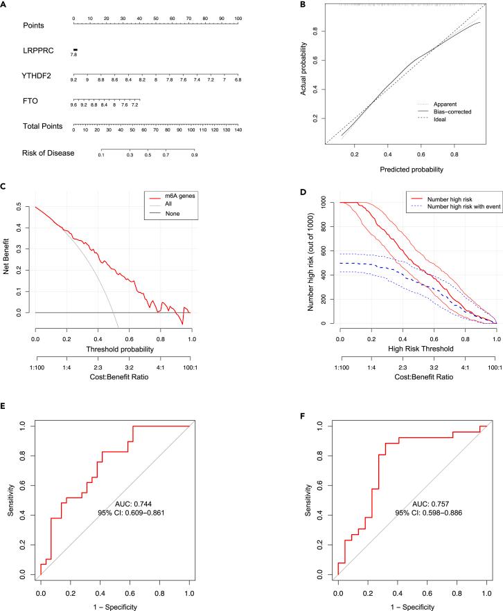
N6-methyladenosine (m6A) methylation and abnormal immune responses are implicated in neurodegenerative diseases, yet their relationship in Alzheimer's disease (AD) remains unclear. We obtained AD datasets from GEO databases and used AD mouse and cell models, observing abnormal expression of m6A genes in the AD group, alongside disruptions in the immune microenvironment. Key m6A genes (YTHDF2, LRPPRC, and FTO) selected by machine learning were associated with the Notch pathway, with FTO and Notch1 displaying the strongest correlation. Specifically, FTO expression decreased and m6A methylation of Notch1 increased in AD mouse and cell models. We further silenced FTO expression in HT22 cells, resulting in upregulation of the Notch1 signaling pathway. Additionally, increased Notch1 expression in dendritic cells heightened inflammatory cytokine secretion . These results suggest that reduced FTO expression may contribute to the pathogenesis of AD by activating the Notch1 pathway to interfere with the immune response.

摘要

N6-甲基腺苷(m6A)甲基化与异常免疫反应与神经退行性疾病有关,但其在阿尔茨海默病(AD)中的关系仍不清楚。我们从GEO数据库中获取AD数据集,并使用AD小鼠和细胞模型,观察到AD组中m6A基因表达异常,同时免疫微环境也受到破坏。通过机器学习选择的关键m6A基因(YTHDF2、LRPPRC和FTO)与Notch信号通路相关,其中FTO和Notch1的相关性最强。具体而言,在AD小鼠和细胞模型中,FTO表达降低,Notch1的m6A甲基化增加。我们进一步在HT22细胞中沉默FTO表达,导致Notch1信号通路上调。此外,树突状细胞中Notch1表达增加会增强炎性细胞因子的分泌。这些结果表明,FTO表达降低可能通过激活Notch1通路干扰免疫反应,从而促进AD的发病机制。

https://cdn.ncbi.nlm.nih.gov/pmc/blobs/d1c3/11261416/cc7ddb5ed1ff/gr10.jpg
https://cdn.ncbi.nlm.nih.gov/pmc/blobs/d1c3/11261416/0ee6817c7b83/fx1.jpg
https://cdn.ncbi.nlm.nih.gov/pmc/blobs/d1c3/11261416/4ac1d5328f88/gr1.jpg
https://cdn.ncbi.nlm.nih.gov/pmc/blobs/d1c3/11261416/66ae38f9e07b/gr2.jpg
https://cdn.ncbi.nlm.nih.gov/pmc/blobs/d1c3/11261416/5f90a82e452d/gr3.jpg
https://cdn.ncbi.nlm.nih.gov/pmc/blobs/d1c3/11261416/5bd33f11ce3f/gr4.jpg
https://cdn.ncbi.nlm.nih.gov/pmc/blobs/d1c3/11261416/47035fda98f0/gr5.jpg
https://cdn.ncbi.nlm.nih.gov/pmc/blobs/d1c3/11261416/2e080e17dd09/gr6.jpg
https://cdn.ncbi.nlm.nih.gov/pmc/blobs/d1c3/11261416/2966969d01bd/gr7.jpg
https://cdn.ncbi.nlm.nih.gov/pmc/blobs/d1c3/11261416/f7c09f04ad26/gr8.jpg
https://cdn.ncbi.nlm.nih.gov/pmc/blobs/d1c3/11261416/18b438d317d4/gr9.jpg
https://cdn.ncbi.nlm.nih.gov/pmc/blobs/d1c3/11261416/cc7ddb5ed1ff/gr10.jpg
https://cdn.ncbi.nlm.nih.gov/pmc/blobs/d1c3/11261416/0ee6817c7b83/fx1.jpg
https://cdn.ncbi.nlm.nih.gov/pmc/blobs/d1c3/11261416/4ac1d5328f88/gr1.jpg
https://cdn.ncbi.nlm.nih.gov/pmc/blobs/d1c3/11261416/66ae38f9e07b/gr2.jpg
https://cdn.ncbi.nlm.nih.gov/pmc/blobs/d1c3/11261416/5f90a82e452d/gr3.jpg
https://cdn.ncbi.nlm.nih.gov/pmc/blobs/d1c3/11261416/5bd33f11ce3f/gr4.jpg
https://cdn.ncbi.nlm.nih.gov/pmc/blobs/d1c3/11261416/47035fda98f0/gr5.jpg
https://cdn.ncbi.nlm.nih.gov/pmc/blobs/d1c3/11261416/2e080e17dd09/gr6.jpg
https://cdn.ncbi.nlm.nih.gov/pmc/blobs/d1c3/11261416/2966969d01bd/gr7.jpg
https://cdn.ncbi.nlm.nih.gov/pmc/blobs/d1c3/11261416/f7c09f04ad26/gr8.jpg
https://cdn.ncbi.nlm.nih.gov/pmc/blobs/d1c3/11261416/18b438d317d4/gr9.jpg
https://cdn.ncbi.nlm.nih.gov/pmc/blobs/d1c3/11261416/cc7ddb5ed1ff/gr10.jpg

相似文献

1
The role of m6A modification in the risk prediction and Notch1 pathway of Alzheimer's disease.m6A修饰在阿尔茨海默病风险预测及Notch1信号通路中的作用
iScience. 2024 Jun 8;27(7):110235. doi: 10.1016/j.isci.2024.110235. eCollection 2024 Jul 19.
2
The Landscape of m6A Regulators in Multiple Brain Regions of Alzheimer's Disease.阿尔茨海默病多个脑区的 m6A 调节因子全景图。
Mol Neurobiol. 2023 Sep;60(9):5184-5198. doi: 10.1007/s12035-023-03409-5. Epub 2023 Jun 5.
3
Abnormality of m6A mRNA Methylation Is Involved in Alzheimer's Disease.m6A mRNA甲基化异常与阿尔茨海默病有关。
Front Neurosci. 2020 Feb 28;14:98. doi: 10.3389/fnins.2020.00098. eCollection 2020.
4
The potential role of RNA N6-methyladenosine in primary Sjögren's syndrome.RNA N6-甲基腺苷在原发性干燥综合征中的潜在作用。
Front Med (Lausanne). 2022 Nov 16;9:959388. doi: 10.3389/fmed.2022.959388. eCollection 2022.
5
Decreased , , and in Peripheral Blood Are as Risk Factors for Rheumatoid Arthritis.外周血中 、 、 的降低可作为类风湿关节炎的危险因素。
Biomed Res Int. 2020 Aug 20;2020:5735279. doi: 10.1155/2020/5735279. eCollection 2020.
6
N6-methyladenosine methylation regulator FTO promotes oxidative stress and induces cell apoptosis in ovarian cancer.N6-甲基腺苷甲基化调节因子FTO促进卵巢癌中的氧化应激并诱导细胞凋亡。
Epigenomics. 2022 Dec;14(23):1509-1522. doi: 10.2217/epi-2022-0403. Epub 2023 Feb 22.
7
Dynamics of N6-methyladenosine modification during Alzheimer's disease development.阿尔茨海默病发展过程中N6-甲基腺苷修饰的动态变化
Heliyon. 2024 Feb 25;10(6):e26911. doi: 10.1016/j.heliyon.2024.e26911. eCollection 2024 Mar 30.
8
Novel Roles of RNA m6A Methylation Regulators in the Occurrence of Alzheimer's Disease and the Subtype Classification.RNA m6A 甲基化调控因子在阿尔茨海默病发生发展中的新作用及亚型分类
Int J Mol Sci. 2022 Sep 15;23(18):10766. doi: 10.3390/ijms231810766.
9
Influence of N6-methyladenosine (m6A) modification on cell phenotype in Alzheimer's disease.N6-甲基腺苷(m6A)修饰对阿尔茨海默病中细胞表型的影响。
PLoS One. 2023 Aug 7;18(8):e0289068. doi: 10.1371/journal.pone.0289068. eCollection 2023.
10
Immunological characterization and diagnostic models of RNA N6-methyladenosine regulators in Alzheimer's disease.阿尔茨海默病中 RNA N6-甲基腺苷调节因子的免疫特征和诊断模型。
Sci Rep. 2023 Sep 4;13(1):14588. doi: 10.1038/s41598-023-41129-x.

引用本文的文献

1
m6A modification of non‑coding RNA: Mechanisms, functions and potential values in human diseases (Review).非编码RNA的m6A修饰:机制、功能及在人类疾病中的潜在价值(综述)
Int J Mol Med. 2025 Oct;56(4). doi: 10.3892/ijmm.2025.5605. Epub 2025 Aug 8.
2
miR-137: A therapeutic candidate or a key molecular regulator in Alzheimer's disease?微小RNA-137:阿尔茨海默病的一种治疗候选物还是关键分子调节因子?
J Alzheimers Dis Rep. 2025 Jun 25;9:25424823251352166. doi: 10.1177/25424823251352166. eCollection 2025 Jan-Dec.
3
The role of m6A methylation in abdominal aortic aneurysms: Mechanisms, progress and future perspectives (Review).

本文引用的文献

1
Analyses of m6A regulatory genes and subtype classification in atrial fibrillation.心房颤动中m6A调控基因的分析及亚型分类
Front Cell Neurosci. 2023 Jun 26;17:1073538. doi: 10.3389/fncel.2023.1073538. eCollection 2023.
2
PACAP6-38 improves nitroglycerin-induced central sensitization by modulating synaptic plasticity at the trigeminal nucleus caudalis in a male rat model of chronic migraine.PACAP6-38 通过调节偏头痛慢性模型雄性大鼠三叉神经尾核内的突触可塑性改善硝酸甘油诱导的中枢敏化。
J Headache Pain. 2023 Jun 5;24(1):66. doi: 10.1186/s10194-023-01603-3.
3
The effect of gastric bypass surgery on cognitive function of Alzheimer's disease and the role of GLP1-SGLT1 pathway.
m6A甲基化在腹主动脉瘤中的作用:机制、进展与未来展望(综述)
Mol Med Rep. 2025 Jul;32(1). doi: 10.3892/mmr.2025.13564. Epub 2025 May 16.
胃旁路手术对阿尔茨海默病认知功能的影响及 GLP1-SGLT1 通路的作用。
Exp Neurol. 2023 May;363:114377. doi: 10.1016/j.expneurol.2023.114377. Epub 2023 Mar 8.
4
FTO negatively regulates the cytotoxic activity of natural killer cells.FTO 负向调节自然杀伤细胞的细胞毒性活性。
EMBO Rep. 2023 Apr 5;24(4):e55681. doi: 10.15252/embr.202255681. Epub 2023 Feb 6.
5
Biological age and environmental risk factors for dementia and stroke: Molecular mechanisms.痴呆和中风的生物学年龄及环境风险因素:分子机制
Front Aging Neurosci. 2022 Dec 22;14:1042488. doi: 10.3389/fnagi.2022.1042488. eCollection 2022.
6
The Role of Epigenetics in Neuroinflammatory-Driven Diseases.表观遗传学在神经炎症驱动性疾病中的作用。
Int J Mol Sci. 2022 Dec 2;23(23):15218. doi: 10.3390/ijms232315218.
7
Alzheimer's disease alters the transcriptomic profile of natural killer cells at single-cell resolution.阿尔茨海默病以单细胞分辨率改变自然杀伤细胞的转录组特征。
Front Immunol. 2022 Nov 2;13:1004885. doi: 10.3389/fimmu.2022.1004885. eCollection 2022.
8
Identification of diagnostic genes for both Alzheimer's disease and Metabolic syndrome by the machine learning algorithm.利用机器学习算法鉴定阿尔茨海默病和代谢综合征的诊断基因。
Front Immunol. 2022 Nov 2;13:1037318. doi: 10.3389/fimmu.2022.1037318. eCollection 2022.
9
Transcriptomic Profiling Identifies CD8 T Cells in the Brain of Aged and Alzheimer's Disease Transgenic Mice as Tissue-Resident Memory T Cells.转录组谱分析鉴定出老年和阿尔茨海默病转基因小鼠大脑中的 CD8 T 细胞为组织驻留记忆 T 细胞。
J Immunol. 2022 Oct 1;209(7):1272-1285. doi: 10.4049/jimmunol.2100737. Epub 2022 Aug 31.
10
Structural insights into molecular mechanism for N-adenosine methylation by MT-A70 family methyltransferase METTL4.MT-A70 家族甲基转移酶 METTL4 介导的 N-腺嘌呤甲基化的分子机制的结构见解。
Nat Commun. 2022 Sep 26;13(1):5636. doi: 10.1038/s41467-022-33277-x.