• 文献检索
  • 文档翻译
  • 深度研究
  • 学术资讯
  • Suppr Zotero 插件Zotero 插件
  • 邀请有礼
  • 套餐&价格
  • 历史记录
应用&插件
Suppr Zotero 插件Zotero 插件浏览器插件Mac 客户端Windows 客户端微信小程序
定价
高级版会员购买积分包购买API积分包
服务
文献检索文档翻译深度研究API 文档MCP 服务
关于我们
关于 Suppr公司介绍联系我们用户协议隐私条款
关注我们

Suppr 超能文献

核心技术专利:CN118964589B侵权必究
粤ICP备2023148730 号-1Suppr @ 2026

文献检索

告别复杂PubMed语法,用中文像聊天一样搜索,搜遍4000万医学文献。AI智能推荐,让科研检索更轻松。

立即免费搜索

文件翻译

保留排版,准确专业,支持PDF/Word/PPT等文件格式,支持 12+语言互译。

免费翻译文档

深度研究

AI帮你快速写综述,25分钟生成高质量综述,智能提取关键信息,辅助科研写作。

立即免费体验

“泌尿系统年龄”作为健康长寿的替代指标:对美国和中国基于人群的前瞻性队列研究分析

"Urological age" as a proxy of healthy longevity: analysis of prospective population-based cohorts in U.S. and China.

作者信息

Jin Yuming, Huang Weichao, Zeng Bin, Yang Lu, Wang Shengfeng, Manuel Colucci, Daniele Robesti, Deng Linghui, Leng Siqi, Hu Dan, Wang Daming, Jiang Zhongyuan, Yi Qinling, Zhang Li, Zeng Yuxiao, Zhu Wenjie, Li Sheng, Liu Xinyue, Wei Qiang, Qiu Shi

机构信息

Department of Urology, Institute of Urology and National Clinical Research Center for Geriatrics, West China Hospital, Sichuan University.

West China Biomedical Big Data Center, West China Hospital, Sichuan University.

出版信息

Int J Surg. 2025 Jan 1;111(1):502-511. doi: 10.1097/JS9.0000000000001965.

DOI:10.1097/JS9.0000000000001965
PMID:39051917
原文链接:https://pmc.ncbi.nlm.nih.gov/articles/PMC11753421/
Abstract

BACKGROUND

Assessing urinary symptoms poses a complex challenge for primary care practitioners. In evaluating urological function, authors' approach involves constructing an urological age through the analysis of laboratory parameters and indicators of the urinary system.

METHODS

Based on the National Health and Nutrition Examination Survey (NHANES), urological laboratory tests and age-related symptoms were included in the development of urological age (UA) and urological age acceleration (UAA) through the Klemera Doubal method. In relation to mortality associated with UAA, the metric was categorized into grades (0, 1, 2) as a discrete variable. The authors investigated the correlation between UAA and its grades with mortality, conducted survival analysis based on UAA grades, and explored the correlation between multi-system ageing-related disorders and UAA grades based on the NHANES and the West China Natural Population Cohort Study.

RESULTS

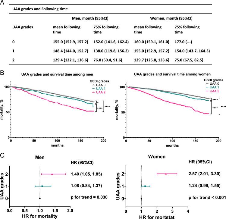
UA was related to age with the r to 0.85 in men and 0.84 in women. Each year the increase in UAA was related to higher 1% and 4% mortality for men and women. Those with UAA grades 1 and 2 were associated with more risk of mortality than individuals with UAA grade 0 (men 8% and 40%, women 24% and 157%). The advanced UAA grades kept pace with multi-system ageing. Healthy diets and lifestyle habits are associated with lower UAA.

CONCLUSION

Urological age is related to multi-system ageing and increases mortality risk, and urological age can be used to screen high-risk individuals and inform precision clinical development for ageing intervention.

摘要

背景

对初级保健从业者而言,评估泌尿系统症状是一项复杂的挑战。在评估泌尿系统功能时,作者的方法是通过分析实验室参数和泌尿系统指标来构建一个泌尿系统年龄。

方法

基于美国国家健康与营养检查调查(NHANES),通过克莱梅拉·杜巴尔方法,将泌尿系统实验室检查和与年龄相关的症状纳入泌尿系统年龄(UA)和泌尿系统年龄加速(UAA)的制定中。关于与UAA相关的死亡率,该指标被分类为等级(0、1、2)作为一个离散变量。作者研究了UAA及其等级与死亡率之间的相关性,基于UAA等级进行了生存分析,并基于NHANES和华西自然人群队列研究探讨了多系统衰老相关疾病与UAA等级之间的相关性。

结果

UA与年龄相关,男性的相关系数为0.85,女性为0.84。每年UAA的增加与男性和女性死亡率分别升高1%和4%相关。UAA等级为1和2的人群比UAA等级为0的人群具有更高的死亡风险(男性为8%和40%,女性为24%和157%)。较高的UAA等级与多系统衰老同步。健康的饮食和生活习惯与较低的UAA相关。

结论

泌尿系统年龄与多系统衰老相关并增加死亡风险,泌尿系统年龄可用于筛查高危个体并为衰老干预的精准临床发展提供依据。

https://cdn.ncbi.nlm.nih.gov/pmc/blobs/d680/11753421/996dde3994f8/js9-111-0502-g005.jpg
https://cdn.ncbi.nlm.nih.gov/pmc/blobs/d680/11753421/e01a91f3837d/js9-111-0502-g001.jpg
https://cdn.ncbi.nlm.nih.gov/pmc/blobs/d680/11753421/a60c49856e2d/js9-111-0502-g002.jpg
https://cdn.ncbi.nlm.nih.gov/pmc/blobs/d680/11753421/96ac9f19eb85/js9-111-0502-g003.jpg
https://cdn.ncbi.nlm.nih.gov/pmc/blobs/d680/11753421/62b84825f24d/js9-111-0502-g004.jpg
https://cdn.ncbi.nlm.nih.gov/pmc/blobs/d680/11753421/996dde3994f8/js9-111-0502-g005.jpg
https://cdn.ncbi.nlm.nih.gov/pmc/blobs/d680/11753421/e01a91f3837d/js9-111-0502-g001.jpg
https://cdn.ncbi.nlm.nih.gov/pmc/blobs/d680/11753421/a60c49856e2d/js9-111-0502-g002.jpg
https://cdn.ncbi.nlm.nih.gov/pmc/blobs/d680/11753421/96ac9f19eb85/js9-111-0502-g003.jpg
https://cdn.ncbi.nlm.nih.gov/pmc/blobs/d680/11753421/62b84825f24d/js9-111-0502-g004.jpg
https://cdn.ncbi.nlm.nih.gov/pmc/blobs/d680/11753421/996dde3994f8/js9-111-0502-g005.jpg

相似文献

1
"Urological age" as a proxy of healthy longevity: analysis of prospective population-based cohorts in U.S. and China.“泌尿系统年龄”作为健康长寿的替代指标:对美国和中国基于人群的前瞻性队列研究分析
Int J Surg. 2025 Jan 1;111(1):502-511. doi: 10.1097/JS9.0000000000001965.
2
Lifestyles and their relative contribution to biological aging across multiple-organ systems: Change analysis from the China Multi-Ethnic Cohort study.多器官系统中生活方式及其对生物衰老的相对贡献:来自中国多民族队列研究的变化分析
Elife. 2025 Mar 7;13:RP99924. doi: 10.7554/eLife.99924.
3
Impact of age on sleep duration and health outcomes: Evidence from four large cohort studies.年龄对睡眠时间和健康结果的影响:来自四项大型队列研究的证据。
Sleep Med. 2025 May;129:140-147. doi: 10.1016/j.sleep.2025.02.024. Epub 2025 Feb 18.
4
Associations between biological ageing and the risk of, genetic susceptibility to, and life expectancy associated with rheumatoid arthritis: a secondary analysis of two observational studies.生物衰老与类风湿关节炎风险、遗传易感性和预期寿命的关联:两项观察性研究的二次分析。
Lancet Healthy Longev. 2024 Jan;5(1):e45-e55. doi: 10.1016/S2666-7568(23)00220-9. Epub 2023 Dec 8.
5
Folic acid supplementation and malaria susceptibility and severity among people taking antifolate antimalarial drugs in endemic areas.在流行地区,服用抗叶酸抗疟药物的人群中,叶酸补充剂与疟疾易感性和严重程度的关系。
Cochrane Database Syst Rev. 2022 Feb 1;2(2022):CD014217. doi: 10.1002/14651858.CD014217.
6
Chronic kidney disease biomarkers and mortality among older adults: A comparison study of survey samples in China and the United States.慢性肾脏病生物标志物与老年人死亡率:中国和美国调查样本的比较研究。
PLoS One. 2022 Jan 12;17(1):e0260074. doi: 10.1371/journal.pone.0260074. eCollection 2022.
7
Biological age prediction and NAFLD risk assessment: a machine learning model based on a multicenter population in Nanchang, Jiangxi, China.生物学年龄预测与非酒精性脂肪性肝病风险评估:基于中国江西南昌多中心人群的机器学习模型
BMC Gastroenterol. 2025 Mar 13;25(1):172. doi: 10.1186/s12876-025-03752-y.
8
A non-invasive modifiable Healthy Ageing Nutrition Index (HANI) predicts longevity in free-living older Taiwanese.一种非侵入性可改变的健康增龄营养指数(HANI)可预测自由生活的台湾老年人的长寿。
Sci Rep. 2018 May 8;8(1):7113. doi: 10.1038/s41598-018-24625-3.
9
Associations of healthy eating patterns with biological aging: national health and nutrition examination survey (NHANES) 1999-2018.健康饮食模式与生物衰老的关联:美国国家健康和营养检查调查(NHANES)1999-2018 年。
Nutr J. 2024 Sep 28;23(1):112. doi: 10.1186/s12937-024-01017-0.
10
Development and Validation of 2 Composite Aging Measures Using Routine Clinical Biomarkers in the Chinese Population: Analyses From 2 Prospective Cohort Studies.中文译文:基于中国人群常规临床生物标志物开发和验证 2 种综合衰老指标:来自 2 项前瞻性队列研究的分析。
J Gerontol A Biol Sci Med Sci. 2021 Aug 13;76(9):1627-1632. doi: 10.1093/gerona/glaa238.

引用本文的文献

1
Long-Term High-Altitude Exposure, Accelerated Aging, and Multidimensional Aging-Related Changes.长期高原暴露、加速衰老及多维衰老相关变化
JAMA Netw Open. 2025 May 1;8(5):e259960. doi: 10.1001/jamanetworkopen.2025.9960.
2
Editorial commentary on "urological age and mortality risk: an investigation of urological age acceleration".
Int J Surg. 2025 May 1;111(5):3696-3697. doi: 10.1097/JS9.0000000000002350.

本文引用的文献

1
Analysis of the relationship between sleep-related disorder and systemic immune-inflammation index in the US population.分析美国人群中睡眠相关障碍与系统性免疫炎症指数之间的关系。
BMC Psychiatry. 2023 Oct 24;23(1):773. doi: 10.1186/s12888-023-05286-7.
2
Matrikines in kidney ageing and age-related disease.肾脏老化与年龄相关疾病中的基质细胞衍生因子
Curr Opin Nephrol Hypertens. 2023 Nov 1;32(6):551-558. doi: 10.1097/MNH.0000000000000916. Epub 2023 Aug 16.
3
From BPH to male LUTS: a 20-year journey of the EAU guidelines.从良性前列腺增生到男性下尿路症状:欧洲泌尿外科学会指南20年历程
Prostate Cancer Prostatic Dis. 2024 Mar;27(1):48-53. doi: 10.1038/s41391-023-00700-3. Epub 2023 Jul 24.
4
Cardiometabolic index is associated with urinary albumin excretion and renal function in aged person over 60: Data from NHANES 2011-2018.60 岁以上人群中心血管代谢指数与尿白蛋白排泄和肾功能的关系:来自 NHANES 2011-2018 的数据。
Int J Cardiol. 2023 Aug 1;384:76-81. doi: 10.1016/j.ijcard.2023.04.017. Epub 2023 Apr 12.
5
Modeling biological age using blood biomarkers and physical measurements in Chinese adults.基于血液生物标志物和体格测量指标构建中国成年人的生物学年龄模型。
EBioMedicine. 2023 Mar;89:104458. doi: 10.1016/j.ebiom.2023.104458. Epub 2023 Feb 7.
6
Association between sleep quality and urolithiasis among general population in Western China: a cross-sectional study.中国西部一般人群睡眠质量与尿路结石关联性的横断面研究。
BMC Public Health. 2022 Sep 20;22(1):1787. doi: 10.1186/s12889-022-14187-5.
7
European Association of Urology Guidelines on the Diagnosis and Management of Female Non-neurogenic Lower Urinary Tract Symptoms. Part 1: Diagnostics, Overactive Bladder, Stress Urinary Incontinence, and Mixed Urinary Incontinence.欧洲泌尿外科学会女性非神经源性下尿路症状诊断与管理指南。第 1 部分:诊断、膀胱过度活动症、压力性尿失禁和混合性尿失禁。
Eur Urol. 2022 Jul;82(1):49-59. doi: 10.1016/j.eururo.2022.01.045. Epub 2022 Feb 23.
8
Considerations for integrated cognitive behavioural treatment for older adults with coexisting nocturia and insomnia.考虑对同时患有夜尿症和失眠的老年患者进行综合认知行为治疗。
Age Ageing. 2022 Feb 2;51(2). doi: 10.1093/ageing/afac024.
9
STROCSS 2021: Strengthening the reporting of cohort, cross-sectional and case-control studies in surgery.STROCSS 2021:加强外科学队列研究、横断面研究和病例对照研究报告规范。
Int J Surg. 2021 Dec;96:106165. doi: 10.1016/j.ijsu.2021.106165. Epub 2021 Nov 11.
10
Depressive symptoms in individuals diagnosed with lower urinary tract symptoms suggestive of benign prostatic hyperplasia (LUTS/BPH) in middle-aged and older Chinese individuals: Results from the China Health and Retirement Longitudinal Study.中老年中国人群中被诊断为下尿路症状提示良性前列腺增生(LUTS/BPH)的个体中的抑郁症状:来自中国健康与养老追踪调查的结果。
J Affect Disord. 2022 Jan 1;296:660-666. doi: 10.1016/j.jad.2021.09.045. Epub 2021 Sep 20.