Suppr超能文献

越南亚临床型乳腺炎奶牛原奶中耐甲氧西林金黄色葡萄球菌的流行情况及基于噬菌体的生物防治

Prevalence and Phage-Based Biocontrol of Methicillin-Resistant Isolated from Raw Milk of Cows with Subclinical Mastitis in Vietnam.

作者信息

Son Hoang Minh, Duc Hoang Minh

机构信息

Department of Anatomy and Histology, Faculty of Veterinary Medicine, Vietnam National University of Agriculture, Trau Quy, Gia Lam, Hanoi 12400, Vietnam.

Laboratory of Veterinary Microbiology, Center of Research Excellence and Innovation, Vietnam National University of Agriculture, Trau Quy, Gia Lam, Hanoi 12400, Vietnam.

出版信息

Antibiotics (Basel). 2024 Jul 10;13(7):638. doi: 10.3390/antibiotics13070638.

Abstract

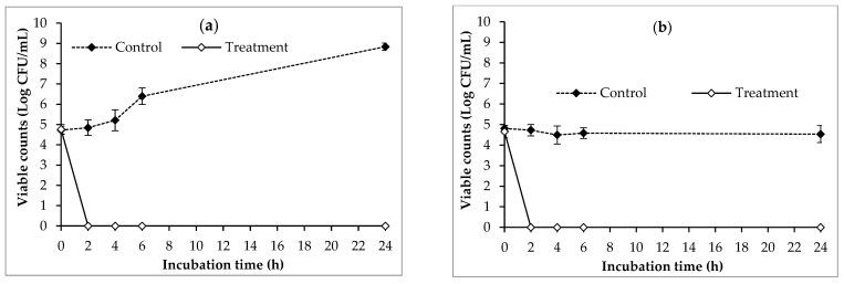
, particularly methicillin-resistant , has been recognized as a main cause of bovine mastitis and food poisoning. This study investigated the prevalence, antibiotic resistance, and phage-based biocontrol of and methicillin-resistant isolated from raw milk of cows with subclinical mastitis. The results showed that the prevalence of and methicillin-resistant was 12% (48/400) and 1.5% (6/400), respectively. The isolates were highly resistant to penicillin (72.92%), erythromycin (43.75%), and tetracycline (39.58%). Out of 48 isolates, 6 were identified as methicillin-resistant strains. Among them, one isolate was found to harbor the gene. A total of 5 phages were recovered from 50 pork and 50 chicken meat samples, 1 from pork and 4 from chicken meat samples. Phage PSA2 capable of lysing all 6 methicillin-resistant isolates was selected for characterization. The use of phage PSA2 completely inactivated methicillin-resistant SA33 in raw milk at both 24 °C and 4 °C, indicating its potential as a promising antibacterial agent in controlling methicillin-resistant in raw milk and treating bovine mastitis.

摘要

特别是耐甲氧西林的[具体细菌名称未给出],已被公认为是引起牛乳腺炎和食物中毒的主要原因。本研究调查了从患有亚临床乳腺炎的奶牛的生牛奶中分离出的[具体细菌名称未给出]和耐甲氧西林的[具体细菌名称未给出]的流行情况、抗生素耐药性以及基于噬菌体的生物防治方法。结果表明,[具体细菌名称未给出]和耐甲氧西林的[具体细菌名称未给出]的流行率分别为12%(48/400)和1.5%(6/400)。[具体细菌名称未给出]分离株对青霉素(72.92%)、红霉素(43.75%)和四环素(39.58%)具有高度耐药性。在48株[具体细菌名称未给出]分离株中,有6株被鉴定为耐甲氧西林菌株。其中,一株分离株被发现携带[具体基因名称未给出]基因。从50份猪肉和50份鸡肉样本中总共回收了5株噬菌体,1株来自猪肉样本,4株来自鸡肉样本。选择能够裂解所有6株耐甲氧西林分离株的噬菌体PSA2进行特性分析。噬菌体PSA2的使用在24℃和4℃下均能使生牛奶中的耐甲氧西林[具体细菌名称未给出]SA33完全失活,表明其在控制生牛奶中耐甲氧西林[具体细菌名称未给出]和治疗牛乳腺炎方面具有作为一种有前景的抗菌剂的潜力。

https://cdn.ncbi.nlm.nih.gov/pmc/blobs/ddbd/11273874/2eecdce28896/antibiotics-13-00638-g001.jpg

文献检索

告别复杂PubMed语法,用中文像聊天一样搜索,搜遍4000万医学文献。AI智能推荐,让科研检索更轻松。

立即免费搜索

文件翻译

保留排版,准确专业,支持PDF/Word/PPT等文件格式,支持 12+语言互译。

免费翻译文档

深度研究

AI帮你快速写综述,25分钟生成高质量综述,智能提取关键信息,辅助科研写作。

立即免费体验