• 文献检索
  • 文档翻译
  • 深度研究
  • 学术资讯
  • Suppr Zotero 插件Zotero 插件
  • 邀请有礼
  • 套餐&价格
  • 历史记录
应用&插件
Suppr Zotero 插件Zotero 插件浏览器插件Mac 客户端Windows 客户端微信小程序
定价
高级版会员购买积分包购买API积分包
服务
文献检索文档翻译深度研究API 文档MCP 服务
关于我们
关于 Suppr公司介绍联系我们用户协议隐私条款
关注我们

Suppr 超能文献

核心技术专利:CN118964589B侵权必究
粤ICP备2023148730 号-1Suppr @ 2026

文献检索

告别复杂PubMed语法,用中文像聊天一样搜索,搜遍4000万医学文献。AI智能推荐,让科研检索更轻松。

立即免费搜索

文件翻译

保留排版,准确专业,支持PDF/Word/PPT等文件格式,支持 12+语言互译。

免费翻译文档

深度研究

AI帮你快速写综述,25分钟生成高质量综述,智能提取关键信息,辅助科研写作。

立即免费体验

高血清半乳糖凝集素-3水平作为接受血液透析患者外周动脉疾病的潜在生物标志物。

High Serum Galectin-3 Level as a Potential Biomarker of Peripheral Artery Disease in Patients Undergoing Hemodialysis.

作者信息

Chiu Liang-Te, Hsu Bang-Gee, Lai Yu-Hsien, Wang Chih-Hsien, Tsai Jen-Pi

机构信息

Division of Nephrology, Department of Internal Medicine, Dalin Tzu Chi Hospital, Buddhist Tzu Chi Medical Foundation, 62247 Chiayi, Taiwan.

Division of Nephrology, Department of Internal Medicine, Hualien Tzu Chi Hospital, Buddhist Tzu Chi Medical Foundation, 97010 Hualien, Taiwan.

出版信息

Rev Cardiovasc Med. 2024 Mar 29;25(4):124. doi: 10.31083/j.rcm2504124. eCollection 2024 Apr.

DOI:10.31083/j.rcm2504124
PMID:39076571
原文链接:https://pmc.ncbi.nlm.nih.gov/articles/PMC11263986/
Abstract

BACKGROUND

Galectin-3 is implicated in the pathogenesis of inflammation and atherosclerosis. Peripheral arterial disease (PAD), characterized by a reduced ankle-brachial index (ABI), is a prognostic marker for mortality in patients on hemodialysis. We investigated the relationship between serum galectin-3 levels and PAD in patients undergoing regular hemodialysis.

METHODS

We carried out a cross-sectional study at a medical center, involving 92 participants. Serum galectin-3 levels were assessed by a commercially available enzyme-linked immunosorbent assay. ABI measurement was done with an automatic device based on oscillometry. Participants were categorized into two groups, normal and low ABI, based on a 0.9 cut-off point.

RESULTS

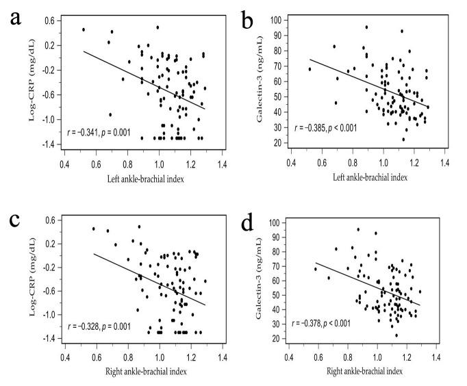
Eighteen patients (19.6%) exhibited a low ABI. In individuals with low ABIs, we observed a greater prevalence of diabetes mellitus, elevated serum C-reactive protein (CRP) levels, increased galectin-3 levels, and lower serum creatinine levels. Furthermore, serum galectin-3 levels (odds ratio [OR]: 1.056, 95% confidence interval [CI]: 1.003-1.112, = 0.037) and CRP (per 0.1 mg/dL increment, OR: 1.195, 95% CI: 1.032-1.383, = 0.017) were identified as independent predictors of PAD. Serum galectin-3 and log-transformed CRP levels were also independently and significantly negatively correlated with the left and right ABI values.

CONCLUSIONS

Serum galectin-3 levels correlate with PAD in patients undergoing maintenance hemodialysis.

摘要

背景

半乳糖凝集素-3与炎症和动脉粥样硬化的发病机制有关。外周动脉疾病(PAD)以踝臂指数(ABI)降低为特征,是血液透析患者死亡率的一个预后指标。我们研究了定期血液透析患者血清半乳糖凝集素-3水平与PAD之间的关系。

方法

我们在一家医疗中心进行了一项横断面研究,涉及92名参与者。血清半乳糖凝集素-3水平通过市售的酶联免疫吸附测定法进行评估。ABI测量使用基于示波法的自动设备进行。根据0.9的截断点,参与者被分为两组,即正常ABI组和低ABI组。

结果

18名患者(19.6%)表现出低ABI。在低ABI个体中,我们观察到糖尿病患病率更高、血清C反应蛋白(CRP)水平升高、半乳糖凝集素-3水平升高以及血清肌酐水平降低。此外,血清半乳糖凝集素-3水平(比值比[OR]:1.056,95%置信区间[CI]:1.003 - 1.112,P = 0.037)和CRP(每增加0.1 mg/dL,OR:1.195,95% CI:1.032 - 1.383,P = 0.017)被确定为PAD的独立预测因素。血清半乳糖凝集素-3和经对数转换的CRP水平也与左右ABI值独立且显著负相关。

结论

维持性血液透析患者的血清半乳糖凝集素-3水平与PAD相关。

https://cdn.ncbi.nlm.nih.gov/pmc/blobs/2932/11263986/cf364237206a/2153-8174-25-4-124-g2.jpg
https://cdn.ncbi.nlm.nih.gov/pmc/blobs/2932/11263986/0a009185401a/2153-8174-25-4-124-g1.jpg
https://cdn.ncbi.nlm.nih.gov/pmc/blobs/2932/11263986/cf364237206a/2153-8174-25-4-124-g2.jpg
https://cdn.ncbi.nlm.nih.gov/pmc/blobs/2932/11263986/0a009185401a/2153-8174-25-4-124-g1.jpg
https://cdn.ncbi.nlm.nih.gov/pmc/blobs/2932/11263986/cf364237206a/2153-8174-25-4-124-g2.jpg

相似文献

1
High Serum Galectin-3 Level as a Potential Biomarker of Peripheral Artery Disease in Patients Undergoing Hemodialysis.高血清半乳糖凝集素-3水平作为接受血液透析患者外周动脉疾病的潜在生物标志物。
Rev Cardiovasc Med. 2024 Mar 29;25(4):124. doi: 10.31083/j.rcm2504124. eCollection 2024 Apr.
2
Differences in galectin-3, a biomarker of fibrosis, between participants with peripheral artery disease and participants with normal ankle-brachial index.外周动脉疾病患者与踝臂指数正常者之间纤维化生物标志物半乳糖凝集素-3的差异。
Vasc Med. 2016 Oct;21(5):437-444. doi: 10.1177/1358863X16644059. Epub 2016 May 7.
3
Serum osteoprotegerin level is positively associated with peripheral artery disease in patients with peritoneal dialysis.血清护骨素水平与腹膜透析患者外周动脉疾病呈正相关。
Ren Fail. 2020 Nov;42(1):131-136. doi: 10.1080/0886022X.2020.1714654.
4
High serum resistin levels are associated with peripheral artery disease in the hypertensive patients.高血压患者血清抵抗素水平升高与外周动脉疾病相关。
BMC Cardiovasc Disord. 2017 Mar 15;17(1):80. doi: 10.1186/s12872-017-0517-2.
5
High serum leptin level is associated with peripheral artery disease in adult peritoneal dialysis patients.高血清瘦素水平与成年腹膜透析患者的外周动脉疾病相关。
Tzu Chi Med J. 2018 Apr-Jun;30(2):85-89. doi: 10.4103/tcmj.tcmj_8_18.
6
Ankle brachial index for the diagnosis of lower limb peripheral arterial disease.踝臂指数用于诊断下肢外周动脉疾病。
Cochrane Database Syst Rev. 2016 Sep 14;9(9):CD010680. doi: 10.1002/14651858.CD010680.pub2.
7
Positive correlation of serum indoxyl sulfate level with peripheral arterial disease in hemodialysis patients.血清吲哚硫酸水平与血液透析患者外周动脉疾病呈正相关。
Vascular. 2022 Oct;30(5):928-933. doi: 10.1177/17085381211039941. Epub 2021 Aug 18.
8
Abdominal obesity is associated with peripheral artery disease in hemodialysis patients.腹型肥胖与血液透析患者外周动脉疾病相关。
PLoS One. 2013 Jun 28;8(6):e67555. doi: 10.1371/journal.pone.0067555. Print 2013.
9
Association of hyperleptinemia with peripheral arterial disease in hypertensive patients.高血压患者高瘦素血症与外周动脉疾病的关联。
Tzu Chi Med J. 2017 Jul-Sep;29(3):148-153. doi: 10.4103/tcmj.tcmj_56_17.
10
Association of albumin-creatinine ratio and cystatin C with change in ankle-brachial index: the Multi-Ethnic Study of Atherosclerosis (MESA).白蛋白-肌酐比值和胱抑素C与踝臂指数变化的关联:动脉粥样硬化多民族研究(MESA)
Am J Kidney Dis. 2015 Jan;65(1):33-40. doi: 10.1053/j.ajkd.2014.05.014. Epub 2014 Jul 3.

引用本文的文献

1
Increased Serum Sclerostin Level Is a Risk Factor for Peripheral Artery Disease in Patients with Hypertension.血清硬化蛋白水平升高是高血压患者外周动脉疾病的一个危险因素。
Medicina (Kaunas). 2025 Jul 1;61(7):1204. doi: 10.3390/medicina61071204.

本文引用的文献

1
YAP-galectin-3 signaling mediates endothelial dysfunction in angiotensin II-induced hypertension in mice.YAP-galectin-3 信号通路介导血管紧张素Ⅱ诱导的高血压小鼠的血管内皮功能障碍。
Cell Mol Life Sci. 2023 Jan 11;80(2):38. doi: 10.1007/s00018-022-04623-5.
2
Serum Galectin-3 levels and all-cause and cardiovascular mortality in maintenance hemodialysis patients: a prospective cohort study.血清半乳糖凝集素-3 水平与维持性血液透析患者的全因和心血管死亡率:一项前瞻性队列研究。
BMC Nephrol. 2022 Jan 3;23(1):5. doi: 10.1186/s12882-021-02636-z.
3
Galectin-3 is linked to peripheral artery disease severity, and urinary excretion is associated with long-term mortality.
半乳糖凝集素-3 与外周动脉疾病严重程度相关,其尿排泄与长期死亡率相关。
Atherosclerosis. 2022 Jan;341:7-12. doi: 10.1016/j.atherosclerosis.2021.11.016. Epub 2021 Nov 27.
4
Combining Pulse Wave Velocity With Galectin-3 to Predict Mortality and Cerebrovascular and Cardiovascular Events in Hemodialysis Patients.结合脉搏波速度与半乳糖凝集素-3预测血液透析患者的死亡率、脑血管和心血管事件
Front Med (Lausanne). 2020 Oct 20;7:579021. doi: 10.3389/fmed.2020.579021. eCollection 2020.
5
Additional prognostic value of toe-brachial index beyond ankle-brachial index in hemodialysis patients.在血液透析患者中,相较于踝肱指数,足趾肱指数具有额外的预后价值。
BMC Nephrol. 2020 Aug 20;21(1):353. doi: 10.1186/s12882-020-01991-7.
6
Fibrosis and Inflammatory Markers and Long-Term Risk of Peripheral Artery Disease: The ARIC Study.纤维化和炎症标志物与外周动脉疾病的长期风险:ARIC 研究。
Arterioscler Thromb Vasc Biol. 2020 Sep;40(9):2322-2331. doi: 10.1161/ATVBAHA.120.314824. Epub 2020 Jul 23.
7
Galectin-3: A New Biomarker for Atherosclerosis Management.半乳糖凝集素-3:动脉粥样硬化管理的新型生物标志物。
Angiology. 2020 Nov;71(10):966. doi: 10.1177/0003319720941763. Epub 2020 Jul 17.
8
Negative correlation of serum adiponectin level with peripheral artery occlusive disease in hemodialysis patients.血液透析患者血清脂联素水平与外周动脉闭塞性疾病的负相关性。
Tzu Chi Med J. 2019 Apr 2;32(1):70-74. doi: 10.4103/tcmj.tcmj_19_19. eCollection 2020 Jan-Mar.
9
Serum osteoprotegerin level is positively associated with peripheral artery disease in patients with peritoneal dialysis.血清护骨素水平与腹膜透析患者外周动脉疾病呈正相关。
Ren Fail. 2020 Nov;42(1):131-136. doi: 10.1080/0886022X.2020.1714654.
10
US Renal Data System 2019 Annual Data Report: Epidemiology of Kidney Disease in the United States.美国肾脏数据系统2019年年报:美国肾脏疾病流行病学
Am J Kidney Dis. 2020 Jan;75(1 Suppl 1):A6-A7. doi: 10.1053/j.ajkd.2019.09.003. Epub 2019 Nov 5.