• 文献检索
  • 文档翻译
  • 深度研究
  • 学术资讯
  • Suppr Zotero 插件Zotero 插件
  • 邀请有礼
  • 套餐&价格
  • 历史记录
应用&插件
Suppr Zotero 插件Zotero 插件浏览器插件Mac 客户端Windows 客户端微信小程序
定价
高级版会员购买积分包购买API积分包
服务
文献检索文档翻译深度研究API 文档MCP 服务
关于我们
关于 Suppr公司介绍联系我们用户协议隐私条款
关注我们

Suppr 超能文献

核心技术专利:CN118964589B侵权必究
粤ICP备2023148730 号-1Suppr @ 2026

文献检索

告别复杂PubMed语法,用中文像聊天一样搜索,搜遍4000万医学文献。AI智能推荐,让科研检索更轻松。

立即免费搜索

文件翻译

保留排版,准确专业,支持PDF/Word/PPT等文件格式,支持 12+语言互译。

免费翻译文档

深度研究

AI帮你快速写综述,25分钟生成高质量综述,智能提取关键信息,辅助科研写作。

立即免费体验

雄性美洲貂()在精细空间尺度上栖息地选择模式的季节性变化。

Seasonal shifts in the habitat selection patterns of male American Marten () at a fine spatial scale.

作者信息

Viau Julie-Pier, Sigouin Daniel, St-Laurent Martin-Hugues

机构信息

Centre for Forest Research, Département de Biologie, Chimie et Géographie, Université du Québec à Rimouski, 300 allée des Ursulines, Rimouski, QC G5L 3A1, Canada.

Parks Canada, Forillon National Park, 1501 boul. Forillon, Gaspé, QC G4X 6M1, Canada.

出版信息

J Mammal. 2024 May 7;105(4):740-751. doi: 10.1093/jmammal/gyae048. eCollection 2024 Aug.

DOI:10.1093/jmammal/gyae048
PMID:39081268
原文链接:https://pmc.ncbi.nlm.nih.gov/articles/PMC11285161/
Abstract

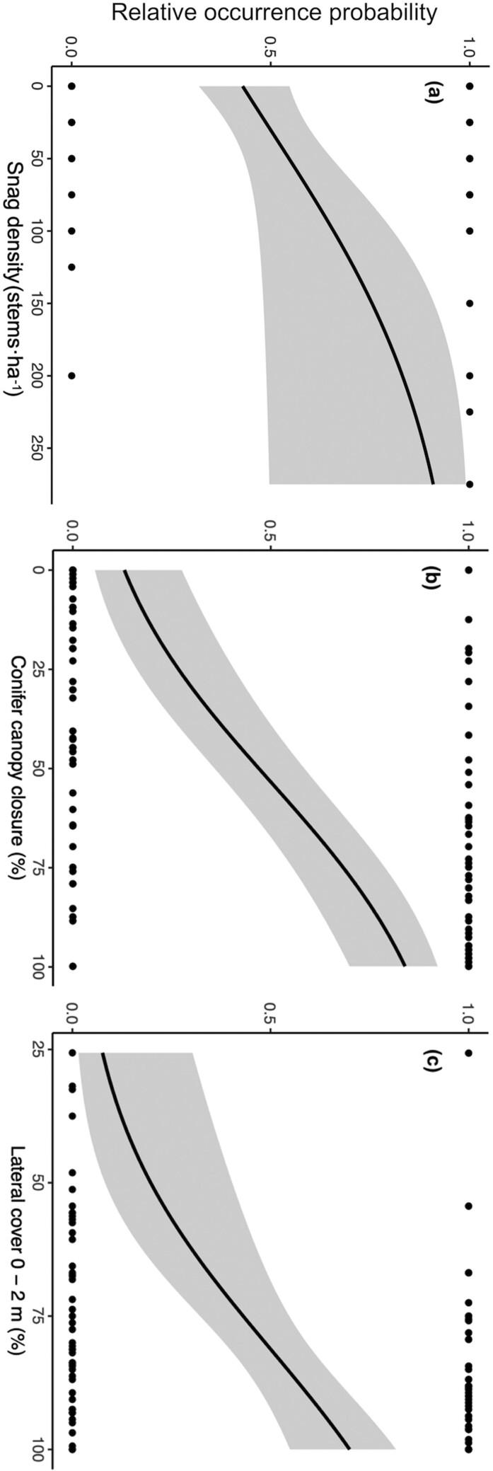
Old-growth forests harbor a large amount of complex structural features that result in a wide array of wildlife habitats. However, intensive forest management is gradually converting old-growth forest into younger, even-aged stands, reducing structural complexity and threatening the persistence of old-growth-dependent species. Maintaining elements of complex stand structure is critical to the conservation of old-growth forest specialists that use different habitat components at different periods of their annual cycle, and it requires a comprehensive understanding of seasonal variation in the habitat needs of these species. However, difficulties in observing free-ranging animals have sometimes limited our ability to assess such variations in habitat requirements, especially for small, elusive species. To address this, we used GPS telemetry collars to describe fine-scale habitat selection patterns of 6 male American Martens () during 2 contrasting periods of the year (snow-free, from mid-April to mid-November; snow-covered, from mid-November to mid-April), an objective formerly hard to achieve using conventional VHF telemetry. We used resource selection functions conducted at the fourth order of selection to compare habitat characteristics found at the sites used by martens (GPS locations, = 100) to those found on an equal number of available sites (random points, = 100) within each individual seasonal home range. We conducted vegetation surveys on these 200 sites to describe habitat and built candidate models representing different concurrent hypotheses. Our results showed that proxies of prey availability, predator avoidance, and thermal constraints were the primary factors influencing marten habitat selection during both periods, although their respective importance differed between periods. Martens selected sites with a high density of large-diameter snags (≥30·ha), high conifer canopy closure (≥53%), and a dense lateral cover (≥81%) during the snow-free period, but selected sites with a high volume of coarse woody debris (≥64 m·ha) and high conifer canopy closure (≥48%) during the snow-covered period. Our results highlight the importance of contrasting seasonal changes in habitat selection patterns of small carnivores and may help maintain structural attributes in the landscape that are suitable for male American Martens.

摘要

原始森林拥有大量复杂的结构特征,从而形成了各种各样的野生动物栖息地。然而,高强度的森林管理正逐渐将原始森林转变为更年轻的同龄林分,降低了结构复杂性,并威胁到依赖原始森林生存的物种的延续。维持复杂林分结构的要素对于保护那些在其年度周期的不同时期利用不同栖息地组成部分的原始森林特有物种至关重要,这需要全面了解这些物种栖息地需求的季节性变化。然而,观察自由活动动物的困难有时限制了我们评估栖息地需求这种变化的能力,尤其是对于小型、难以捉摸的物种。为了解决这个问题,我们使用全球定位系统遥测项圈来描述6只雄性美洲貂在一年中两个对比时期(无雪期,从4月中旬到11月中旬;积雪期,从11月中旬到4月中旬)的精细尺度栖息地选择模式,这一目标以前使用传统甚高频遥测很难实现。我们使用在选择的第四个层次上进行的资源选择函数,将貂所使用的地点(全球定位系统位置,n = 100)的栖息地特征与每个个体季节性家域内数量相等的可用地点(随机点,n = 100)的栖息地特征进行比较。我们在这200个地点进行了植被调查以描述栖息地,并构建了代表不同同时存在假设的候选模型。我们的结果表明,猎物可获得性、躲避捕食者和热限制的指标是两个时期影响貂栖息地选择的主要因素,尽管它们各自的重要性在不同时期有所不同。在无雪期,貂选择大直径残干密度高(≥30·公顷)、针叶树冠郁闭度高(≥53%)和侧向覆盖茂密(≥81%)的地点,但在积雪期选择粗木质残体体积大(≥64立方米·公顷)和针叶树冠郁闭度高(≥48%)的地点。我们的结果突出了小型食肉动物栖息地选择模式中对比季节性变化的重要性,并可能有助于维持景观中适合雄性美洲貂的结构属性。

https://cdn.ncbi.nlm.nih.gov/pmc/blobs/eb7c/11285161/673935c741e0/gyae048_fig3.jpg
https://cdn.ncbi.nlm.nih.gov/pmc/blobs/eb7c/11285161/0fd7bcceba67/gyae048_fig2.jpg
https://cdn.ncbi.nlm.nih.gov/pmc/blobs/eb7c/11285161/673935c741e0/gyae048_fig3.jpg
https://cdn.ncbi.nlm.nih.gov/pmc/blobs/eb7c/11285161/0fd7bcceba67/gyae048_fig2.jpg
https://cdn.ncbi.nlm.nih.gov/pmc/blobs/eb7c/11285161/673935c741e0/gyae048_fig3.jpg

相似文献

1
Seasonal shifts in the habitat selection patterns of male American Marten () at a fine spatial scale.雄性美洲貂()在精细空间尺度上栖息地选择模式的季节性变化。
J Mammal. 2024 May 7;105(4):740-751. doi: 10.1093/jmammal/gyae048. eCollection 2024 Aug.
2
Describing vegetation characteristics used by two rare forest-dwelling species: Will established reserves provide for coastal marten in Oregon?描述两种罕见的森林栖息物种所使用的植被特征:威尔森established 保护区能否为俄勒冈沿海貂提供栖息地?
PLoS One. 2019 Jan 31;14(1):e0210865. doi: 10.1371/journal.pone.0210865. eCollection 2019.
3
Site occupancy by American martens and fishers in temperate deciduous forests of Québec.魁北克温带落叶林中美洲貂和渔貂的栖息地占用情况。
J Mammal. 2022 Dec 9;104(1):159-170. doi: 10.1093/jmammal/gyac092. eCollection 2023 Feb.
4
Post-fire movements of Pacific marten (Martes caurina) depend on the severity of landscape change.太平洋貂(Martes caurina)火灾后的活动取决于景观变化的严重程度。
Mov Ecol. 2021 Oct 9;9(1):49. doi: 10.1186/s40462-021-00286-2.
5
Spatiotemporal variation in resource selection: insights from the American marten (Martes americana).资源选择中的时空变化:来自美洲貂(Martes americana)的见解。
Ecol Appl. 2014;24(6):1434-44. doi: 10.1890/13-1510.1.
6
Spatial Niche Segregation of Sympatric Stone Marten and Pine Marten--Avoidance of Competition or Selection of Optimal Habitat?同域分布的石貂和松貂的空间生态位分离——是避免竞争还是选择最优栖息地?
PLoS One. 2015 Oct 7;10(10):e0139852. doi: 10.1371/journal.pone.0139852. eCollection 2015.
7
Predicted distribution of a rare and understudied forest carnivore: Humboldt marten ().一种珍稀且研究不足的森林食肉动物的预测分布:洪堡貂( )。
PeerJ. 2021 Jul 21;9:e11670. doi: 10.7717/peerj.11670. eCollection 2021.
8
A long-term assessment of the variability in winter use of dense conifer cover by female white-tailed deer.对雌性白尾鹿冬季利用茂密针叶林覆盖的变异性进行的长期评估。
PLoS One. 2013 Jun 13;8(6):e65368. doi: 10.1371/journal.pone.0065368. Print 2013.
9
Annual and seasonal changes in diets of martens: evidence from stable isotope analysis.貂类饮食的年度和季节性变化:来自稳定同位素分析的证据。
Oecologia. 1997 Jul;111(2):280-291. doi: 10.1007/s004420050236.
10
Habitat-mediated variation in predation risk by the American marten.栖息地介导的美洲貂捕食风险变化
Ecology. 2008 Aug;89(8):2273-80. doi: 10.1890/07-1428.1.

本文引用的文献

1
Forest degradation drives widespread avian habitat and population declines.森林退化导致广泛的鸟类栖息地和种群减少。
Nat Ecol Evol. 2022 Jun;6(6):709-719. doi: 10.1038/s41559-022-01737-8. Epub 2022 Apr 28.
2
Fine-scale foraging habitat selection by two diving central place foragers in the Northeast Atlantic.东北大西洋两种潜水中心地觅食者的精细觅食栖息地选择
Ecol Evol. 2021 Aug 24;11(18):12349-12363. doi: 10.1002/ece3.7934. eCollection 2021 Sep.
3
Seasonal and daily shifts in behavior and resource selection: how a carnivore navigates costly landscapes.
季节性和每日行为及资源选择变化:一种肉食动物如何在代价高昂的环境中导航。
Oecologia. 2020 Oct;194(1-2):87-100. doi: 10.1007/s00442-020-04754-1. Epub 2020 Sep 16.
4
Ecosystem decay exacerbates biodiversity loss with habitat loss.生态系统衰退随着栖息地丧失加剧了生物多样性丧失。
Nature. 2020 Aug;584(7820):238-243. doi: 10.1038/s41586-020-2531-2. Epub 2020 Jul 29.
5
Unraveling fine-scale habitat use for secretive species: When and where toads are found when not breeding.揭开隐秘物种的精细生境利用之谜:非繁殖期蟾蜍的出没时间和地点。
PLoS One. 2018 Oct 8;13(10):e0205304. doi: 10.1371/journal.pone.0205304. eCollection 2018.
6
2016 Guidelines of the American Society of Mammalogists for the use of wild mammals in research and education.美国哺乳动物学会2016年关于在研究和教育中使用野生哺乳动物的指南。
J Mammal. 2016 Jun 9;97(3):663-688. doi: 10.1093/jmammal/gyw078. Epub 2016 May 28.
7
Evaluation of micro-GPS receivers for tracking small-bodied mammals.用于追踪小型哺乳动物的微型全球定位系统接收器的评估
PLoS One. 2017 Mar 16;12(3):e0173185. doi: 10.1371/journal.pone.0173185. eCollection 2017.
8
The future of large old trees in urban landscapes.城市景观中大型古树的未来。
PLoS One. 2014 Jun 18;9(6):e99403. doi: 10.1371/journal.pone.0099403. eCollection 2014.
9
The biodiversity of species and their rates of extinction, distribution, and protection.物种的生物多样性及其灭绝率、分布和保护。
Science. 2014 May 30;344(6187):1246752. doi: 10.1126/science.1246752.
10
Practical guidance on characterizing availability in resource selection functions under a use-availability design.在使用-可得性设计下,对资源选择函数中可得性进行描述的实用指南。
Ecology. 2013 Jul;94(7):1456-63. doi: 10.1890/12-1688.1.