• 文献检索
  • 文档翻译
  • 深度研究
  • 学术资讯
  • Suppr Zotero 插件Zotero 插件
  • 邀请有礼
  • 套餐&价格
  • 历史记录
应用&插件
Suppr Zotero 插件Zotero 插件浏览器插件Mac 客户端Windows 客户端微信小程序
定价
高级版会员购买积分包购买API积分包
服务
文献检索文档翻译深度研究API 文档MCP 服务
关于我们
关于 Suppr公司介绍联系我们用户协议隐私条款
关注我们

Suppr 超能文献

核心技术专利:CN118964589B侵权必究
粤ICP备2023148730 号-1Suppr @ 2026

文献检索

告别复杂PubMed语法,用中文像聊天一样搜索,搜遍4000万医学文献。AI智能推荐,让科研检索更轻松。

立即免费搜索

文件翻译

保留排版,准确专业,支持PDF/Word/PPT等文件格式,支持 12+语言互译。

免费翻译文档

深度研究

AI帮你快速写综述,25分钟生成高质量综述,智能提取关键信息,辅助科研写作。

立即免费体验

亲水性侧链对苯并噻吩并苯并噻吩衍生物薄膜晶体管性能的影响

Impact of hydrophilic side chains on the thin film transistor performance of a benzothieno-benzothiophene derivative.

作者信息

Gicevičius Mindaugas, James Ann Maria, Reicht Lukas, McIntosh Nemo, Greco Alessandro, Fijahi Lamiaa, Devaux Félix, Mas-Torrent Marta, Cornil Jérôme, Geerts Yves Henri, Zojer Egbert, Resel Roland, Sirringhaus Henning

机构信息

Optoelectronics Group, Cavendish Laboratory, University of Cambridge JJ Thomson Avenue Cambridge CB3 0HE UK

Institute of Solid State Physics, NAWI Graz, Graz University of Technology Petersgasse 16 8010 Graz Austria.

出版信息

Mater Adv. 2024 Jul 10;5(15):6285-6294. doi: 10.1039/d4ma00594e. eCollection 2024 Jul 29.

DOI:10.1039/d4ma00594e
PMID:39081471
原文链接:https://pmc.ncbi.nlm.nih.gov/articles/PMC11284759/
Abstract

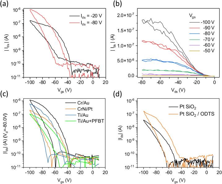
Side-chain engineering in molecular semiconductors provides a versatile toolbox for precisely manipulating the material's processability, crystallographic properties, as well as electronic and optoelectronic characteristics. This study explores the impact of integrating hydrophilic side chains, specifically oligoethylene glycol (OEG) units, into the molecular structure of the small molecule semiconductor, 2,7-bis(2(2-methoxy ethoxy)ethoxy) benzo[]benzo[4,5] thieno[2,3-] thiophene (OEG-BTBT). The investigation includes a comprehensive analysis of thin film morphology and crystallographic properties, along with the optimization of deposition parameters for improving the device performance. Despite the anticipated benefits, such as enhanced processability, our investigation into OEG-BTBT-based organic field-effect transistors (OFETs) reveals suboptimal performance marked by a low effective charge carrier mobility, a low on/off ratio, and a high threshold voltage. The study unveils bias stress effects and device degradation attributed to the high ionization energy of OEG-BTBT alongside the hydrophilic nature of the ethylene-glycol moieties, which lead to charge trapping at the dielectric interface. Our findings underscore the need for a meticulous balance between electronic properties and chemical functionalities in molecular semiconductors to achieve stable and efficient performance in organic electronic devices.

摘要

分子半导体中的侧链工程提供了一个多功能工具箱,用于精确控制材料的可加工性、晶体学性质以及电子和光电特性。本研究探讨了将亲水性侧链,特别是低聚乙二醇(OEG)单元,整合到小分子半导体2,7-双(2-(2-甲氧基乙氧基)乙氧基)苯并[1,2-b:4,5-b']二噻吩(OEG-BTBT)分子结构中的影响。该研究包括对薄膜形态和晶体学性质的全面分析,以及优化沉积参数以提高器件性能。尽管有诸如增强可加工性等预期好处,但我们对基于OEG-BTBT的有机场效应晶体管(OFET)的研究显示其性能欠佳,表现为有效电荷载流子迁移率低、开/关比低和阈值电压高。该研究揭示了由于OEG-BTBT的高电离能以及乙二醇部分的亲水性导致的偏置应力效应和器件退化,这会导致电荷在介电界面处俘获。我们的研究结果强调,在分子半导体中,电子性质和化学功能之间需要进行细致的平衡,以在有机电子器件中实现稳定和高效的性能。

https://cdn.ncbi.nlm.nih.gov/pmc/blobs/86d8/11284759/5d37a9bb5892/d4ma00594e-f5.jpg
https://cdn.ncbi.nlm.nih.gov/pmc/blobs/86d8/11284759/96226e449a5b/d4ma00594e-f1.jpg
https://cdn.ncbi.nlm.nih.gov/pmc/blobs/86d8/11284759/d5197f746895/d4ma00594e-f2.jpg
https://cdn.ncbi.nlm.nih.gov/pmc/blobs/86d8/11284759/7d0cbe1b7b61/d4ma00594e-f3.jpg
https://cdn.ncbi.nlm.nih.gov/pmc/blobs/86d8/11284759/f1098b0db99b/d4ma00594e-f4.jpg
https://cdn.ncbi.nlm.nih.gov/pmc/blobs/86d8/11284759/5d37a9bb5892/d4ma00594e-f5.jpg
https://cdn.ncbi.nlm.nih.gov/pmc/blobs/86d8/11284759/96226e449a5b/d4ma00594e-f1.jpg
https://cdn.ncbi.nlm.nih.gov/pmc/blobs/86d8/11284759/d5197f746895/d4ma00594e-f2.jpg
https://cdn.ncbi.nlm.nih.gov/pmc/blobs/86d8/11284759/7d0cbe1b7b61/d4ma00594e-f3.jpg
https://cdn.ncbi.nlm.nih.gov/pmc/blobs/86d8/11284759/f1098b0db99b/d4ma00594e-f4.jpg
https://cdn.ncbi.nlm.nih.gov/pmc/blobs/86d8/11284759/5d37a9bb5892/d4ma00594e-f5.jpg

相似文献

1
Impact of hydrophilic side chains on the thin film transistor performance of a benzothieno-benzothiophene derivative.亲水性侧链对苯并噻吩并苯并噻吩衍生物薄膜晶体管性能的影响
Mater Adv. 2024 Jul 10;5(15):6285-6294. doi: 10.1039/d4ma00594e. eCollection 2024 Jul 29.
2
Organic semiconductors based on [1]benzothieno[3,2-b][1]benzothiophene substructure.基于[1]苯并噻吩并[3,2-b][1]苯并噻吩结构的有机半导体。
Acc Chem Res. 2014 May 20;47(5):1493-502. doi: 10.1021/ar400282g. Epub 2014 May 1.
3
Consecutive thiophene-annulation approach to π-extended thienoacene-based organic semiconductors with [1]benzothieno[3,2-b][1]benzothiophene (BTBT) substructure.连续噻吩环化方法合成具有[1]苯并噻吩[3,2-b][1]苯并噻吩(BTBT)结构的π-扩展噻吩并[3,2-b]噻吩基有机半导体。
J Am Chem Soc. 2013 Sep 18;135(37):13900-13. doi: 10.1021/ja406257u. Epub 2013 Sep 6.
4
High-Performance Humidity Sensing in π-Conjugated Molecular Assemblies through the Engineering of Electron/Proton Transport and Device Interfaces.通过电子/质子传输与器件界面工程实现π共轭分子组装体中的高性能湿度传感
J Am Chem Soc. 2022 Feb 16;144(6):2546-2555. doi: 10.1021/jacs.1c10119. Epub 2022 Feb 7.
5
Investigating the Thermal Stability of Organic Thin-Film Transistors and Phototransistors Based on [1]-Benzothieno-[3,2-b]-[1]-benzothiophene Dimeric Derivatives.研究基于[1]-苯并噻吩[3,2-b]-[1]-苯并噻二唑二聚体衍生物的有机薄膜晶体管和光晶体管的热稳定性。
Chemistry. 2018 Nov 7;24(62):16595-16602. doi: 10.1002/chem.201803542. Epub 2018 Oct 17.
6
Interface engineering in high-performance low-voltage organic thin-film transistors based on 2,7-dialkyl-[1]benzothieno[3,2-b][1]benzothiophenes.基于 2,7-二烷基-[1]苯并噻吩[3,2-b][1]苯并噻吩的高性能低压有机薄膜晶体管中的界面工程。
Langmuir. 2011 Dec 20;27(24):15340-4. doi: 10.1021/la203041x. Epub 2011 Nov 18.
7
Light-responsive self-strained organic semiconductor for large flexible OFET sensing array.用于大型柔性有机场效应晶体管传感阵列的光响应自应变有机半导体。
Nat Commun. 2022 Aug 20;13(1):4912. doi: 10.1038/s41467-022-32647-9.
8
Gas Blow Coating: A Deposition Technique To Control the Crystal Morphology in Thin Films of Organic Semiconductors.气体吹拂涂层:一种控制有机半导体薄膜晶体形态的沉积技术。
ACS Omega. 2019 Jul 5;4(7):11657-11662. doi: 10.1021/acsomega.9b00835. eCollection 2019 Jul 31.
9
Asymmetric Conjugated Molecules Based on [1]Benzothieno[3,2-b][1]benzothiophene for High-Mobility Organic Thin-Film Transistors: Influence of Alkyl Chain Length.基于[1]苯并噻吩[3,2-b][1]苯并噻吩的不对称共轭分子用于高性能有机薄膜晶体管:烷基链长的影响。
ACS Appl Mater Interfaces. 2017 Oct 11;9(40):35427-35436. doi: 10.1021/acsami.7b10675. Epub 2017 Sep 29.
10
Charge-Transfer Complexes in Organic Field-Effect Transistors: Superior Suitability for Surface Doping.有机场效应晶体管中的电荷转移复合物:表面掺杂的卓越适用性。
ACS Appl Mater Interfaces. 2022 Oct 5;14(39):44632-44641. doi: 10.1021/acsami.2c09168. Epub 2022 Sep 20.

本文引用的文献

1
Transiently delocalized states enhance hole mobility in organic molecular semiconductors.瞬态离域态增强了有机分子半导体中的空穴迁移率。
Nat Mater. 2023 Nov;22(11):1361-1369. doi: 10.1038/s41563-023-01664-4. Epub 2023 Sep 14.
2
Polymorph screening at surfaces of a benzothienobenzothiophene derivative: discovering new solvate forms.苯并噻吩并苯并噻吩衍生物表面的多晶型筛选:发现新的溶剂化物形式。
Mater Horiz. 2023 Oct 2;10(10):4415-4422. doi: 10.1039/d3mh00764b.
3
Renewed Prospects for Organic Photovoltaics.有机光伏的新前景
Chem Rev. 2022 Sep 28;122(18):14180-14274. doi: 10.1021/acs.chemrev.1c00955. Epub 2022 Aug 5.
4
High-Performance Humidity Sensing in π-Conjugated Molecular Assemblies through the Engineering of Electron/Proton Transport and Device Interfaces.通过电子/质子传输与器件界面工程实现π共轭分子组装体中的高性能湿度传感
J Am Chem Soc. 2022 Feb 16;144(6):2546-2555. doi: 10.1021/jacs.1c10119. Epub 2022 Feb 7.
5
Capillary-Confinement Crystallization for Monolayer Molecular Crystal Arrays.用于单层分子晶体阵列的毛细管限域结晶
Adv Mater. 2022 Feb;34(7):e2107574. doi: 10.1002/adma.202107574. Epub 2022 Jan 2.
6
Strong Suppression of Thermal Conductivity in the Presence of Long Terminal Alkyl Chains in Low-Disorder Molecular Semiconductors.低无序分子半导体中存在长末端烷基链时热导率的强烈抑制
Adv Mater. 2021 Sep;33(37):e2008708. doi: 10.1002/adma.202008708. Epub 2021 Aug 3.
7
N-type organic thermoelectrics: demonstration of ZT > 0.3.N型有机热电材料:ZT > 0.3的证明。
Nat Commun. 2020 Nov 10;11(1):5694. doi: 10.1038/s41467-020-19537-8.
8
Evaluating Computational Shortcuts in Supercell-Based Phonon Calculations of Molecular Crystals: The Instructive Case of Naphthalene.评估分子晶体基于超胞的声子计算中的计算捷径:萘的典型案例
J Chem Theory Comput. 2020 Apr 14;16(4):2716-2735. doi: 10.1021/acs.jctc.0c00119. Epub 2020 Mar 24.
9
Organic Light-Emitting Diodes: Pushing Toward the Limits and Beyond.有机发光二极管:迈向极限及超越
Adv Mater. 2020 Sep;32(35):e1907539. doi: 10.1002/adma.201907539. Epub 2020 Mar 6.
10
Roles of interfaces in the ideality of organic field-effect transistors.界面在有机场效应晶体管理想性中的作用。
Nanoscale Horiz. 2020 Mar 2;5(3):454-472. doi: 10.1039/c9nh00694j.