• 文献检索
  • 文档翻译
  • 深度研究
  • 学术资讯
  • Suppr Zotero 插件Zotero 插件
  • 邀请有礼
  • 套餐&价格
  • 历史记录
应用&插件
Suppr Zotero 插件Zotero 插件浏览器插件Mac 客户端Windows 客户端微信小程序
定价
高级版会员购买积分包购买API积分包
服务
文献检索文档翻译深度研究API 文档MCP 服务
关于我们
关于 Suppr公司介绍联系我们用户协议隐私条款
关注我们

Suppr 超能文献

核心技术专利:CN118964589B侵权必究
粤ICP备2023148730 号-1Suppr @ 2026

文献检索

告别复杂PubMed语法,用中文像聊天一样搜索,搜遍4000万医学文献。AI智能推荐,让科研检索更轻松。

立即免费搜索

文件翻译

保留排版,准确专业,支持PDF/Word/PPT等文件格式,支持 12+语言互译。

免费翻译文档

深度研究

AI帮你快速写综述,25分钟生成高质量综述,智能提取关键信息,辅助科研写作。

立即免费体验

评估围生期暴露于 SARS-CoV-2 的新生儿神经精神运动发育,6 月龄时使用贝利 III 量表。

Assessment of newborn neuropsychomotor development born with exposure to SARS-CoV-2 in the perinatal period using the Bayley III scale at 6 months of age.

机构信息

Department of Pediatrics, Faculdade de Medicina da Universidade de São Paulo (FMUSP), São Paulo, SP, Brasil.

Postgraduate Program in Pediatrics, Department of Pediatrics, Faculdade de Medicina da Universidade de São Paulo (FMUSP), São Paulo, SP, Brasil.

出版信息

Clinics (Sao Paulo). 2024 Aug 1;79:100460. doi: 10.1016/j.clinsp.2024.100460. eCollection 2024.

DOI:10.1016/j.clinsp.2024.100460
PMID:39094549
原文链接:https://pmc.ncbi.nlm.nih.gov/articles/PMC11334819/
Abstract

OBJECTIVE

This study aimed to evaluate the Neuropsychomotor Development (NPMD) of newborns exposed to SARS-CoV-2 in the perinatal period using the Bayley III scale at 6 months of age.

METHODS

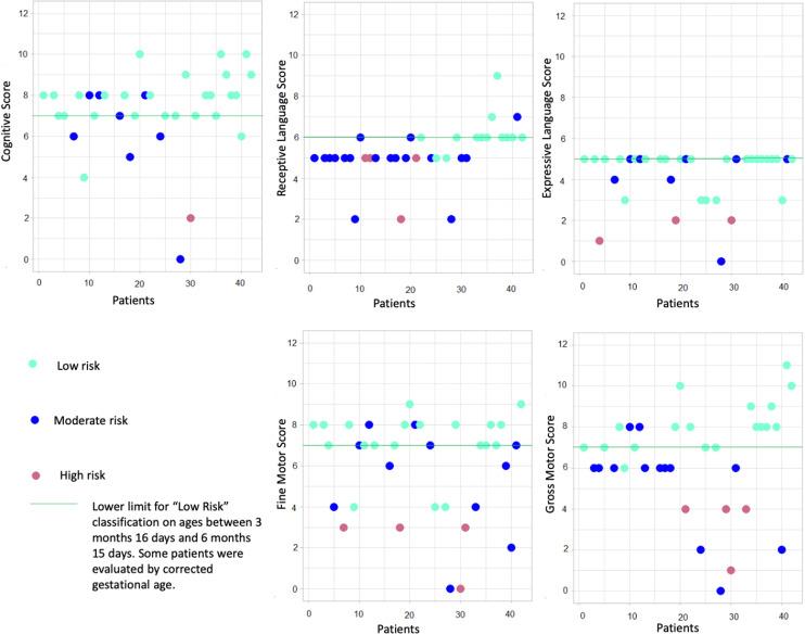
Childcare appointments were scheduled for the included newborns in the study. During the 6-month consultation, the Screening Test for Bayley III Scale and, based on it, children were classified as "low risk", "moderate risk" or "high risk" in the domains: of cognitive, receptive language, expressive language, fine motor, and gross motor. Those classified as "moderate risk"; or "high risk" received guidance about NPMD stimuli and were instructed to maintain follow-up.

RESULTS

Only 13 (37.1 %) of the newborns were classified as low risk in receptive language and 18 (51.4 %) in gross motor skills, with the domains most affected. Prematurity was a risk for cognitive incompetence (moderate risk/high-risk classification) (coefficient: 1.89, Odds Ratio = 6.7, 95 % CI 1.3‒35, p = 0.02). Lower birth weight that 2.500g had a similar effect on cognitive incompetence (coefficient: 1.9, Odds Ratio = 6.2, 95 % CI 1.2‒32.2, p = 0.02). Exclusive breastfeeding at hospital discharge (n = 8) was protective for incompetence (high risk/moderate risk) in the language domain (coefficient -2.14, OR = 0.12, 95 % CI 0.02‒0.71, p = 0.02).

CONCLUSIONS

The children included in the study must be monitored and their development monitored in order to clarify whether there is a relationship between the delay in NPMD and perinatal exposure to COVID-19, as delays were observed in these preliminary results.

摘要

目的

本研究旨在通过使用贝利 III 量表在 6 个月龄时评估围产期接触 SARS-CoV-2 的新生儿的神经心理运动发育(NPMD)。

方法

为研究中的新生儿安排了儿童保健预约。在 6 个月的咨询期间,进行了贝利 III 量表筛查测试,根据该测试,儿童在认知、接受性语言、表达性语言、精细运动和粗大运动领域被分类为“低风险”、“中风险”或“高风险”。被归类为“中风险”或“高风险”的儿童接受了 NPMD 刺激指导,并被指示保持随访。

结果

只有 13 名(37.1%)新生儿在接受性语言方面被归类为低风险,18 名(51.4%)在粗大运动技能方面被归类为低风险,这些领域受影响最大。早产儿认知能力不足(中风险/高风险分类)是一种风险(早产)(系数:1.89,优势比=6.7,95%置信区间 1.3-35,p=0.02)。出生体重低于 2500g 对认知能力不足也有类似影响(系数:1.9,优势比=6.2,95%置信区间 1.2-32.2,p=0.02)。在出院时进行纯母乳喂养(n=8)对语言领域的认知能力不足(高风险/中风险)有保护作用(系数-2.14,OR=0.12,95%置信区间 0.02-0.71,p=0.02)。

结论

必须对纳入研究的儿童进行监测,并监测其发育情况,以明确 NPMD 延迟与围产期接触 COVID-19 之间是否存在关系,因为在这些初步结果中观察到了延迟。

https://cdn.ncbi.nlm.nih.gov/pmc/blobs/eb72/11334819/c0c44cc5b3c1/gr2.jpg
https://cdn.ncbi.nlm.nih.gov/pmc/blobs/eb72/11334819/db7fa0411226/gr1.jpg
https://cdn.ncbi.nlm.nih.gov/pmc/blobs/eb72/11334819/c0c44cc5b3c1/gr2.jpg
https://cdn.ncbi.nlm.nih.gov/pmc/blobs/eb72/11334819/db7fa0411226/gr1.jpg
https://cdn.ncbi.nlm.nih.gov/pmc/blobs/eb72/11334819/c0c44cc5b3c1/gr2.jpg

相似文献

1
Assessment of newborn neuropsychomotor development born with exposure to SARS-CoV-2 in the perinatal period using the Bayley III scale at 6 months of age.评估围生期暴露于 SARS-CoV-2 的新生儿神经精神运动发育,6 月龄时使用贝利 III 量表。
Clinics (Sao Paulo). 2024 Aug 1;79:100460. doi: 10.1016/j.clinsp.2024.100460. eCollection 2024.
2
Cognitive, language and motor developmental patterns of extremely preterm children up to 2 years of age: a descriptive approach.2岁以内极早产儿的认知、语言和运动发育模式:一种描述性方法。
Front Psychol. 2025 Jul 2;16:1599390. doi: 10.3389/fpsyg.2025.1599390. eCollection 2025.
3
The effect of sample site and collection procedure on identification of SARS-CoV-2 infection.样本采集部位和采集程序对严重急性呼吸综合征冠状病毒2(SARS-CoV-2)感染鉴定的影响。
Cochrane Database Syst Rev. 2024 Dec 16;12(12):CD014780. doi: 10.1002/14651858.CD014780.
4
Early developmental intervention programmes provided post hospital discharge to prevent motor and cognitive impairment in preterm infants.出院后提供早期发育干预计划,以预防早产儿的运动和认知障碍。
Cochrane Database Syst Rev. 2024 Feb 13;2(2):CD005495. doi: 10.1002/14651858.CD005495.pub5.
5
Signs and symptoms to determine if a patient presenting in primary care or hospital outpatient settings has COVID-19.在基层医疗机构或医院门诊环境中,如果患者出现以下症状和体征,可判断其是否患有 COVID-19。
Cochrane Database Syst Rev. 2022 May 20;5(5):CD013665. doi: 10.1002/14651858.CD013665.pub3.
6
Induction of labour for improving birth outcomes for women at or beyond term.引产以改善足月及过期妊娠女性的分娩结局。
Cochrane Database Syst Rev. 2018 May 9;5(5):CD004945. doi: 10.1002/14651858.CD004945.pub4.
7
Treadmill interventions with partial body weight support in children under six years of age at risk of neuromotor delay.对有神经运动发育迟缓风险的六岁以下儿童进行的带有部分体重支持的跑步机干预。
Cochrane Database Syst Rev. 2011 Dec 7(12):CD009242. doi: 10.1002/14651858.CD009242.pub2.
8
Rapid, point-of-care antigen tests for diagnosis of SARS-CoV-2 infection.用于 SARS-CoV-2 感染诊断的快速、即时抗原检测。
Cochrane Database Syst Rev. 2022 Jul 22;7(7):CD013705. doi: 10.1002/14651858.CD013705.pub3.
9
Antiretroviral therapy (ART) for treating HIV infection in ART-eligible pregnant women.用于治疗符合抗逆转录病毒治疗条件的孕妇艾滋病毒感染的抗逆转录病毒疗法。
Cochrane Database Syst Rev. 2010 Mar 17(3):CD008440. doi: 10.1002/14651858.CD008440.
10
Antibody tests for identification of current and past infection with SARS-CoV-2.抗体检测用于鉴定 SARS-CoV-2 的现症感染和既往感染。
Cochrane Database Syst Rev. 2022 Nov 17;11(11):CD013652. doi: 10.1002/14651858.CD013652.pub2.

本文引用的文献

1
Cognitive assessment in preterms by Bayley-III: development in the first year and associated factors.早产儿的贝利 III 认知评估:第一年的发展及相关因素。
Rev Paul Pediatr. 2023 Aug 25;42:e2022164. doi: 10.1590/1984-0462/2024/42/2022164. eCollection 2023.
2
Association of Birth During the COVID-19 Pandemic With Neurodevelopmental Status at 6 Months in Infants With and Without In Utero Exposure to Maternal SARS-CoV-2 Infection.COVID-19 大流行期间出生与母婴 SARS-CoV-2 感染史的婴儿 6 个月时神经发育状况的关联。
JAMA Pediatr. 2022 Jun 1;176(6):e215563. doi: 10.1001/jamapediatrics.2021.5563. Epub 2022 Jun 6.
3
Ages and Stages Questionnaires Brazil in monitoring development in early childhood education.
《年龄与阶段问卷巴西版》在监测幼儿期教育发展方面的应用。
An Acad Bras Cienc. 2021 Nov 26;93(suppl 4):e20201838. doi: 10.1590/0001-3765202120201838. eCollection 2021.
4
An update on COVID-19 and pregnancy.关于 COVID-19 与妊娠的最新资讯。
Am J Obstet Gynecol. 2022 Feb;226(2):177-186. doi: 10.1016/j.ajog.2021.08.054. Epub 2021 Sep 14.
5
POTENTIAL RISK OF BRAIN DAMAGE AND POOR DEVELOPMENTAL OUTCOMES IN CHILDREN PRENATALLY EXPOSED TO SARS-COV-2: A SYSTEMATIC REVIEW.儿童在产前暴露于 SARS-CoV-2 下可能存在脑损伤和发育不良的风险:系统综述。
Rev Paul Pediatr. 2021 May 26;40:e2020415. doi: 10.1590/1984-0462/2022/40/2020415. eCollection 2021.
6
Maternal and Neonatal Morbidity and Mortality Among Pregnant Women With and Without COVID-19 Infection: The INTERCOVID Multinational Cohort Study.孕妇合并与不合并 COVID-19 感染的母婴发病率和死亡率:INTERCOVID 多国队列研究。
JAMA Pediatr. 2021 Aug 1;175(8):817-826. doi: 10.1001/jamapediatrics.2021.1050.
7
Families With Children With Neurodevelopmental Disorders During COVID-19: A Scoping Review.COVID-19 期间伴有神经发育障碍儿童的家庭:范围综述。
J Pediatr Psychol. 2021 Jun 3;46(5):514-525. doi: 10.1093/jpepsy/jsab029.
8
Neonatal SARS-CoV-2 infection.新生儿严重急性呼吸综合征冠状病毒2型感染
Clinics (Sao Paulo). 2020 Jun 3;75:e1996. doi: 10.6061/clinics/2020/e1996.
9
Effect of coronavirus disease 2019 (COVID-19) on maternal, perinatal and neonatal outcome: systematic review.新型冠状病毒病 2019(COVID-19)对孕产妇、围生期和新生儿结局的影响:系统评价。
Ultrasound Obstet Gynecol. 2020 Jul;56(1):15-27. doi: 10.1002/uog.22088.
10
Evidence and possible mechanisms of rare maternal-fetal transmission of SARS-CoV-2.SARS-CoV-2 罕见母婴垂直传播的证据及可能机制。
J Clin Virol. 2020 Jul;128:104447. doi: 10.1016/j.jcv.2020.104447. Epub 2020 May 18.