• 文献检索
  • 文档翻译
  • 深度研究
  • 学术资讯
  • Suppr Zotero 插件Zotero 插件
  • 邀请有礼
  • 套餐&价格
  • 历史记录
应用&插件
Suppr Zotero 插件Zotero 插件浏览器插件Mac 客户端Windows 客户端微信小程序
定价
高级版会员购买积分包购买API积分包
服务
文献检索文档翻译深度研究API 文档MCP 服务
关于我们
关于 Suppr公司介绍联系我们用户协议隐私条款
关注我们

Suppr 超能文献

核心技术专利:CN118964589B侵权必究
粤ICP备2023148730 号-1Suppr @ 2026

文献检索

告别复杂PubMed语法,用中文像聊天一样搜索,搜遍4000万医学文献。AI智能推荐,让科研检索更轻松。

立即免费搜索

文件翻译

保留排版,准确专业,支持PDF/Word/PPT等文件格式,支持 12+语言互译。

免费翻译文档

深度研究

AI帮你快速写综述,25分钟生成高质量综述,智能提取关键信息,辅助科研写作。

立即免费体验

全球气候近期及预计的变化可能会增加尼古丁的吸收以及患绿烟草病的风险。

Recent and projected changes in global climate may increase nicotine absorption and the risk of green tobacco sickness.

作者信息

Ziska Lewis H, Parks Robbie M

机构信息

Environmental Health Sciences, Mailman School of Public Health, Columbia University, New York, NY, USA.

出版信息

Commun Med (Lond). 2024 Aug 3;4(1):158. doi: 10.1038/s43856-024-00584-x.

DOI:10.1038/s43856-024-00584-x
PMID:39097675
原文链接:https://pmc.ncbi.nlm.nih.gov/articles/PMC11297925/
Abstract

BACKGROUND

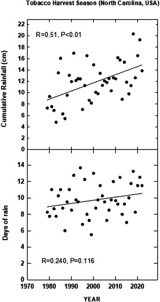
Dermal transfer of nicotine during tobacco harvest can cause green tobacco sickness (GTS), characterized by nausea, vomiting, headache and dizziness. Rainfall and high temperatures are etiological factors known to increase the prevalence of GTS. We analyzed recent and projected trends in these factors for major tobacco-growing regions to assess potential exacerbation in GTS occurrence.

METHODS

We analyzed climate parameters, including recent trends (since the 1970s) in temperature and precipitation metrics during the tobacco harvest period for Southern Brazil; Yunnan Province, China; Andhra State, India; and North Carolina, USA. We applied Shared Socio-economic Pathways (SSPs) based scenarios for Tier 1 Scenario Model Intercomparison Project (ScenarioMIP) within the Coupled Model Intercomparison Project phase 6 (CMIP6), (SSPs of 1-2.6, 3-7.0 and 5-8.5 from 2020 to 2100). Established protocol for nicotine dermal patches and temperature were used as a proxy to estimate potential nicotine absorption.

RESULTS

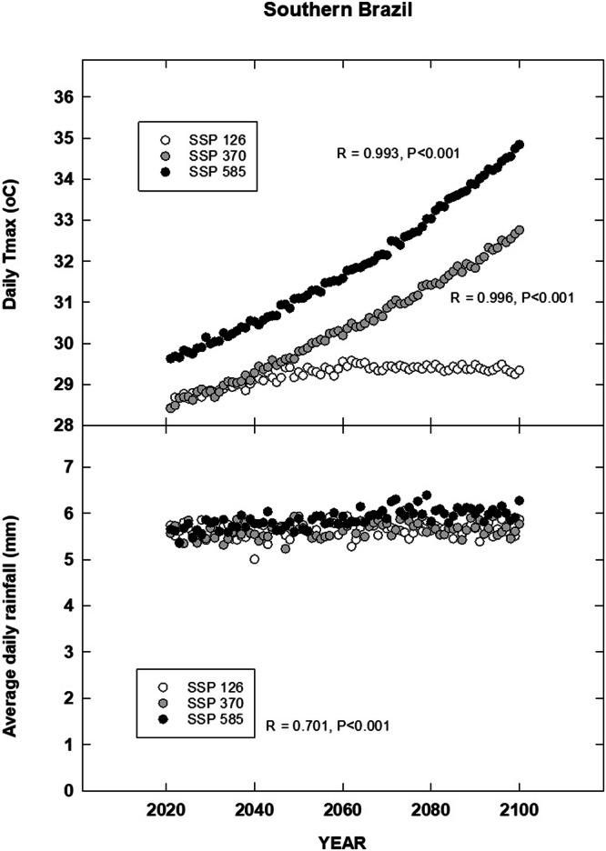
For three locations, cumulative maximum temperatures during harvest and temperature extremes rose significantly since the 1970s as did cumulative rainfall during harvest. Projected maximum temperatures at SSP 3-7.0 and 5-8.5 projections through 2100 did increase for all locations. Estimates of nicotine skin absorption with rising temperature show significant increases for both recent changes in three locations, and for all locations for SSP projections of 3-7.0 and 5-8.5 from 2020 to 2100.

CONCLUSIONS

This study across multiple continents, highlights a potential link between recent and projected anthropogenic change and potential increases in GTS risk. Under SSP 5-8.5, nicotine absorption could increase by ~50% by the end of the century, which may have widespread impacts on the incidence of GTS, especially among younger tobacco workers.

摘要

背景

烟草收获期间尼古丁的皮肤转移可导致绿烟草病(GTS),其特征为恶心、呕吐、头痛和头晕。降雨和高温是已知会增加GTS患病率的病因因素。我们分析了主要烟草种植地区这些因素的近期和预测趋势,以评估GTS发生情况的潜在恶化。

方法

我们分析了气候参数,包括巴西南部、中国云南省、印度安得拉邦和美国北卡罗来纳州烟草收获期(自20世纪70年代以来)温度和降水指标的近期趋势。我们应用了耦合模式比较计划第6阶段(CMIP6)中第1层情景模式比较项目(ScenarioMIP)基于共享社会经济路径(SSP)的情景(2020年至2100年的SSP 1-2.6、3-7.0和5-8.5)。使用既定的尼古丁皮肤贴片和温度方案作为估计潜在尼古丁吸收的替代指标。

结果

对于三个地点,自20世纪70年代以来,收获期间的累积最高温度和极端温度显著上升,收获期间的累积降雨量也显著上升。到2100年,SSP 3-7.0和5-8.5预测的所有地点的预计最高温度确实有所上升。随着温度升高,尼古丁皮肤吸收的估计显示,三个地点的近期变化以及2020年至2100年SSP 3-7.0和5-8.5预测的所有地点均显著增加。

结论

这项跨多个大陆的研究突出了近期和预测的人为变化与GTS风险潜在增加之间的潜在联系。在SSP 5-8.5情景下,到本世纪末尼古丁吸收可能增加约50%,这可能对GTS的发病率产生广泛影响,尤其是在年轻烟草工人中。

https://cdn.ncbi.nlm.nih.gov/pmc/blobs/2008/11297925/e12b9478a8df/43856_2024_584_Fig8_HTML.jpg
https://cdn.ncbi.nlm.nih.gov/pmc/blobs/2008/11297925/0ce9a97614cf/43856_2024_584_Fig1_HTML.jpg
https://cdn.ncbi.nlm.nih.gov/pmc/blobs/2008/11297925/548297d2bf33/43856_2024_584_Fig2_HTML.jpg
https://cdn.ncbi.nlm.nih.gov/pmc/blobs/2008/11297925/3b2f3e068671/43856_2024_584_Fig3_HTML.jpg
https://cdn.ncbi.nlm.nih.gov/pmc/blobs/2008/11297925/297fe9d06c38/43856_2024_584_Fig4_HTML.jpg
https://cdn.ncbi.nlm.nih.gov/pmc/blobs/2008/11297925/bf5e012e87c9/43856_2024_584_Fig5_HTML.jpg
https://cdn.ncbi.nlm.nih.gov/pmc/blobs/2008/11297925/8dfef1cc4780/43856_2024_584_Fig6_HTML.jpg
https://cdn.ncbi.nlm.nih.gov/pmc/blobs/2008/11297925/3a751484f26a/43856_2024_584_Fig7_HTML.jpg
https://cdn.ncbi.nlm.nih.gov/pmc/blobs/2008/11297925/e12b9478a8df/43856_2024_584_Fig8_HTML.jpg
https://cdn.ncbi.nlm.nih.gov/pmc/blobs/2008/11297925/0ce9a97614cf/43856_2024_584_Fig1_HTML.jpg
https://cdn.ncbi.nlm.nih.gov/pmc/blobs/2008/11297925/548297d2bf33/43856_2024_584_Fig2_HTML.jpg
https://cdn.ncbi.nlm.nih.gov/pmc/blobs/2008/11297925/3b2f3e068671/43856_2024_584_Fig3_HTML.jpg
https://cdn.ncbi.nlm.nih.gov/pmc/blobs/2008/11297925/297fe9d06c38/43856_2024_584_Fig4_HTML.jpg
https://cdn.ncbi.nlm.nih.gov/pmc/blobs/2008/11297925/bf5e012e87c9/43856_2024_584_Fig5_HTML.jpg
https://cdn.ncbi.nlm.nih.gov/pmc/blobs/2008/11297925/8dfef1cc4780/43856_2024_584_Fig6_HTML.jpg
https://cdn.ncbi.nlm.nih.gov/pmc/blobs/2008/11297925/3a751484f26a/43856_2024_584_Fig7_HTML.jpg
https://cdn.ncbi.nlm.nih.gov/pmc/blobs/2008/11297925/e12b9478a8df/43856_2024_584_Fig8_HTML.jpg

相似文献

1
Recent and projected changes in global climate may increase nicotine absorption and the risk of green tobacco sickness.全球气候近期及预计的变化可能会增加尼古丁的吸收以及患绿烟草病的风险。
Commun Med (Lond). 2024 Aug 3;4(1):158. doi: 10.1038/s43856-024-00584-x.
2
Recent and Projected Changes in Global Climate May Increase Nicotine Absorption and the Risk of Green Tobacco Sickness.全球气候的近期变化和预测变化可能会增加尼古丁吸收以及绿烟草病的风险。
Res Sq. 2024 Feb 2:rs.3.rs-3830008. doi: 10.21203/rs.3.rs-3830008/v1.
3
Green tobacco sickness in children and adolescents.儿童和青少年的绿烟草病。
Public Health Rep. 2005 Nov-Dec;120(6):602-5. doi: 10.1177/003335490512000607.
4
Evaluation of potential changes in landslide susceptibility and landslide occurrence frequency in China under climate change.评估气候变化下中国滑坡敏感性和滑坡发生频率的潜在变化。
Sci Total Environ. 2022 Dec 1;850:158049. doi: 10.1016/j.scitotenv.2022.158049. Epub 2022 Aug 18.
5
Green tobacco sickness.绿烟草病
Tob Control. 1998 Autumn;7(3):294-8. doi: 10.1136/tc.7.3.294.
6
Impact of nicotine-induced green tobacco sickness on DNA damage and the relation with symptoms and alterations of redox status in tobacco farmers.尼古丁诱导的烟草绿斑病假对 DNA 损伤的影响及与烟农症状和氧化还原状态改变的关系。
Ecotoxicol Environ Saf. 2020 Dec 15;206:111397. doi: 10.1016/j.ecoenv.2020.111397. Epub 2020 Sep 29.
7
Green Tobacco Sickness among Brazilian farm workers and genetic polymorphisms.巴西农场工人中的绿烟草病与基因多态性
BMC Res Notes. 2018 Jan 12;11(1):20. doi: 10.1186/s13104-018-3135-x.
8
Farmer health beliefs about an occupational illness that affects farmworkers: the case of green tobacco sickness.农民对一种影响农场工人的职业病的健康认知:绿烟草病的案例。
J Agric Saf Health. 2003 Feb;9(1):33-45. doi: 10.13031/2013.12348.
9
Green tobacco sickness among tobacco farmers in southern Brazil.巴西南部烟农中的绿烟病。
Am J Ind Med. 2014 Jun;57(6):726-35. doi: 10.1002/ajim.22307. Epub 2014 Feb 13.
10
Climate change multi-model projections in CMIP6 scenarios in Central Hokkaido, Japan.日本北海道中央地区 CMIP6 情景下的气候变化多模式预估。
Sci Rep. 2023 Jan 5;13(1):230. doi: 10.1038/s41598-022-27357-7.

本文引用的文献

1
An urgent need to reassess climate change and child labour in agriculture.迫切需要重新评估气候变化与农业中的童工问题。
Lancet Planet Health. 2022 Jun;6(6):e456-e457. doi: 10.1016/S2542-5196(22)00118-8. Epub 2022 May 18.
2
Child Labor in Family Tobacco Farms in Southern Brazil: Occupational Exposure and Related Health Problems.巴西南部家庭烟草农场的童工:职业暴露及相关健康问题。
Int J Environ Res Public Health. 2021 Nov 22;18(22):12255. doi: 10.3390/ijerph182212255.
3
Call for emergency action to limit global temperature increases, restore biodiversity, and protect health.
呼吁采取紧急行动,限制全球气温上升,恢复生物多样性,并保护健康。
Nutr Rev. 2021 Oct 11;79(11):1183-1185. doi: 10.1093/nutrit/nuab067.
4
Climate Change and the Amplification of Agricultural Worker Health Risks.气候变化与农业工人健康风险的加剧
J Agromedicine. 2021 Jan;26(1):15-17. doi: 10.1080/1059924X.2021.1849211. Epub 2021 Jan 25.
5
Extreme Weather and Climate Change: Population Health and Health System Implications.极端天气和气候变化:对人口健康和卫生系统的影响。
Annu Rev Public Health. 2021 Apr 1;42:293-315. doi: 10.1146/annurev-publhealth-012420-105026. Epub 2021 Jan 6.
6
Occurrence of green tobacco sickness and associated factors in farmers residing in Dom Feliciano Municipality, Rio Grande do Sul State, Southern Region of Brazil.巴西南里奥格兰德州多姆费利西亚诺市农民中绿烟病的发生及其相关因素。
Cad Saude Publica. 2020;36(8):e00122719. doi: 10.1590/0102-311x00122719. Epub 2020 Aug 17.
7
Evaluation of Heat Effects on Transdermal Nicotine Delivery In Vitro and In Silico Using Heat-Enhanced Transport Model Analysis.评价热效应对体外经皮尼古丁传递的影响及其在体内的应用:基于热增强传递模型分析。
AAPS J. 2020 Jun 2;22(4):82. doi: 10.1208/s12248-020-00457-w.
8
Heat-Related Illness Among Latinx Child Farmworkers in North Carolina: A Mixed-Methods Study.北卡罗来纳州拉丁裔童工的与热相关疾病:混合方法研究。
New Solut. 2020 Aug;30(2):111-126. doi: 10.1177/1048291120920571. Epub 2020 Apr 29.
9
Past warming trend constrains future warming in CMIP6 models.过去的变暖趋势限制了CMIP6模型中的未来变暖。
Sci Adv. 2020 Mar 18;6(12):eaaz9549. doi: 10.1126/sciadv.aaz9549. eCollection 2020 Mar.
10
A New Era of Climate Medicine - Addressing Heat-Triggered Renal Disease.气候医学的新时代——应对热引发的肾脏疾病
N Engl J Med. 2019 Aug 22;381(8):693-696. doi: 10.1056/NEJMp1907859.