Wu Xiao, Li Na, Dong Zeng, Yin Qin, Zhou Tong, Zhu Lixiang, Yan Hanxi, Chen Ziping, Zhai Kefeng
School of Biological and Food Engineering, Suzhou University, Suzhou 234000, China.
Engineering Research Center for Development and High Value Utilization of Genuine Medicinal Materials in North Anhui Province, Suzhou 234000, China.
Foods. 2024 Jul 29;13(15):2393. doi: 10.3390/foods13152393.
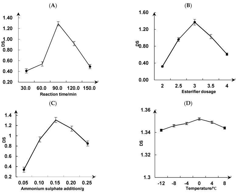
In this study, polysaccharides were extracted at a rate of 87.5% ± 1.5% from native dandelion roots, and the dandelion root polysaccharides (DRPs) were then chemically modified to obtain sulfated polysaccharides (SDRPs) with a degree of substitution of 1.49 ± 0.07. The effects of modification conditions, physicochemical characterizations, structural characteristics, antioxidant properties, hypoglycemic activity, and proliferative effects on probiotics of DRP derivatives were further investigated. Results showed that the optimum conditions for sulfation of DRPs included esterification reagents (concentrated sulfuric acid: -butanol) ratio of 3:1, a reaction temperature of 0 °C, a reaction time of 1.5 h, and the involvement of 0.154 g of ammonium sulfate. The DRPs and SDRPs were composed of six monosaccharides, including mannose, glucosamine, rhamnose, glucose, galactose, and arabinose. Based on infrared spectra, the peaks of the characteristic absorption bands of S=O and C-O-S appeared at 1263 cm and 836 cm. Compared with DRPs, SDRPs had a significantly lower relative molecular mass and a three-stranded helical structure. NMR analysis showed that sulfated modification mainly occurred on the hydroxyl group at C6. SDRPs underwent a chemical shift to higher field strength, with their characteristic signal peaking in the region of 1.00-1.62 ppm. Scanning electron microscopy (SEM) analysis indicated that the surface morphology of SDRPs was significantly changed. The structure of SDRPs was finer and more fragmented than DRPs. Compared with DRPs, SDRPs showed better free radical scavenging ability, higher Fechelating ability, and stronger inhibition of α-glucosidase and α-amylase. In addition, SDRPs had an excellent promotional effect on the growth of 10665 and . Therefore, this study could provide a theoretical basis for the development and utilization of DRPs.
在本研究中,从天然蒲公英根中提取出多糖,提取率为87.5%±1.5%,然后对蒲公英根多糖(DRP)进行化学修饰,以获得取代度为1.49±0.07的硫酸化多糖(SDRP)。进一步研究了修饰条件、物理化学表征、结构特征、抗氧化性能、降血糖活性以及DRP衍生物对益生菌的增殖作用。结果表明,DRP硫酸化的最佳条件包括酯化试剂(浓硫酸:正丁醇)比例为3:1、反应温度为0℃、反应时间为1.5小时以及加入0.154克硫酸铵。DRP和SDRP由六种单糖组成,包括甘露糖、氨基葡萄糖、鼠李糖、葡萄糖、半乳糖和阿拉伯糖。基于红外光谱,S=O和C-O-S的特征吸收带峰分别出现在1263厘米和836厘米处。与DRP相比,SDRP的相对分子质量显著较低,且具有三股螺旋结构。核磁共振分析表明,硫酸化修饰主要发生在C6位的羟基上。SDRP发生了向更高场强的化学位移,其特征信号在1.00 - 1.62 ppm区域达到峰值。扫描电子显微镜(SEM)分析表明,SDRP的表面形态发生了显著变化。SDRP的结构比DRP更精细、更碎片化。与DRP相比,SDRP表现出更好的自由基清除能力、更高的铁螯合能力以及更强的α-葡萄糖苷酶和α-淀粉酶抑制作用。此外,SDRP对10665和的生长具有优异的促进作用。因此,本研究可为DRP的开发利用提供理论依据。