Suppr超能文献

酒精、吸烟及其戒烟对多发性发育异常病变和鳞状细胞癌发生的场效应:一项长期多中心队列研究。

Field Effect of Alcohol, Cigarette Smoking, and Their Cessation on the Development of Multiple Dysplastic Lesions and Squamous Cell Carcinoma: A Long-term Multicenter Cohort Study.

作者信息

Muto Manabu, Katada Chikatoshi, Yokoyama Tetsuji, Yano Tomonori, Oda Ichiro, Ezoe Yasumasa, Tanabe Satoshi, Shimizu Yuichi, Doyama Hisashi, Koike Tomoyuki, Takizawa Kohei, Hirao Motohiro, Okada Hiroyuki, Ogata Takashi, Katagiri Atsushi, Yamanouchi Takenori, Matsuo Yasumasa, Kawakubo Hirofumi, Omori Tai, Kobayashi Nozomu, Shimoda Tadakazu, Ochiai Atsushi, Ishikawa Hideki, Baba Kiichiro, Amanuna Yusuke, Yokoyama Akira, Ohashi Shinya, Yokoyama Akira

机构信息

Department of Therapeutic Oncology, Kyoto University Graduate School of Medicine, Kyoto, Japan.

Department of Gastroenterology, Kitasato University School of Medicine, Sagamihara, Japan.

出版信息

Gastro Hep Adv. 2022 Mar 15;1(2):265-276. doi: 10.1016/j.gastha.2021.10.005. eCollection 2022.

Abstract

BACKGROUND AND AIMS

Multiple developments of squamous dysplasia and squamous cell carcinoma (SCC) in the upper aerodigestive tract have been explained by field cancerization phenomenon and were associated with alcohol and cigarette use. Second primary SCC development after curative treatment impairs patients' quality of life and survival; however, how these consumption and cessation affect field cancerization is still unknown.

METHODS

This is a multicenter cohort study including 331 patients with superficial esophageal SCC (ESCC) treated endoscopically and pooled data from 1022 healthy subjects for comparison. Physiological condition in the background esophageal mucosa was classified into 3 groups based on the number of Lugol-voiding lesions (LVLs) per endoscopic view: grade A, 0; grade B, 1-9; or grade C, ≥10 LVLs. Lifestyle surveys were conducted using a self-administered questionnaire. Patients were counseled on the need for alcohol and smoking cessation by physicians and were endoscopically surveyed every 6 months.

RESULTS

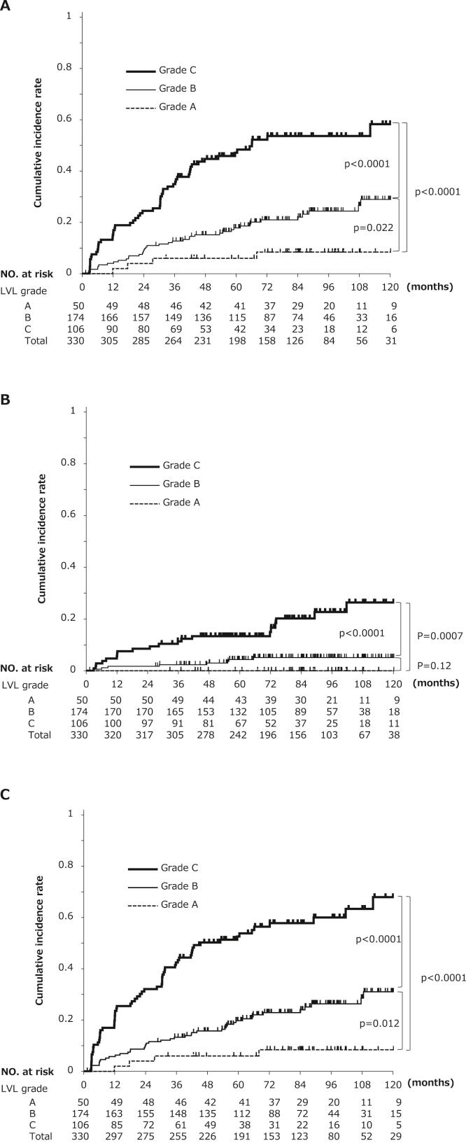
LVL grades were positively associated with alcohol drinking intensity, flushing reactions, smoking, and high-temperature food and were negatively associated with eating green and yellow vegetables and fruit. Second primary ESCC and head/neck SCC were significantly more prevalent in the grade C LVL (cumulative 5-y incidences 47.1%, 95% confidence interval [CI] = 38.0-57.2 and 13.3%, 95% CI = 8.1-21.5, respectively). Alcohol and smoking cessation significantly reduced the development of second primary ESCC (adjusted hazard ratios 0.47, 95% = CI 0.26-0.85 and 0.49, 95% CI = 0.26-0.91, respectively).

CONCLUSION

Alcohol drinking, smoking, flushing reaction, and high-temperature food were closely associated with field cancerization, and cessation of alcohol and smoking significantly reduced the risk of development of second primary cancer. UMIN Clinical Trials Registry ID:UMIN000001676.

摘要

背景与目的

上消化道鳞状上皮发育异常和鳞状细胞癌(SCC)的多发现象已通过场癌化现象得到解释,且与饮酒和吸烟有关。根治性治疗后第二原发性SCC的发生会损害患者的生活质量和生存率;然而,这些行为及其戒除如何影响场癌化仍不清楚。

方法

这是一项多中心队列研究,纳入了331例接受内镜治疗的浅表性食管鳞癌(ESCC)患者,并汇总了1022名健康受试者的数据进行比较。根据每次内镜检查时碘染色不着色病变(LVL)的数量,将背景食管黏膜的生理状况分为3组:A级,0个;B级,1 - 9个;或C级,≥10个LVL。使用自填式问卷进行生活方式调查。医生就戒酒和戒烟的必要性对患者进行了指导,并每6个月进行一次内镜检查。

结果

LVL分级与饮酒强度、脸红反应、吸烟及高温食物呈正相关,与食用绿色和黄色蔬菜及水果呈负相关。C级LVL患者中第二原发性ESCC和头颈部SCC的发生率显著更高(累积5年发病率分别为47.1%,95%置信区间[CI]=38.0 - 57.2和13.3%,95%CI = 8.1 - 21.5)。戒酒和戒烟显著降低了第二原发性ESCC的发生(调整后的风险比分别为0.47,95% = CI 0.26 - 0.85和0.49,95%CI = 0.26 - 0.91)。

结论

饮酒、吸烟、脸红反应和高温食物与场癌化密切相关,戒酒和戒烟显著降低了第二原发性癌症的发生风险。日本大学医学信息网络临床试验注册编号:UMIN000001676。

https://cdn.ncbi.nlm.nih.gov/pmc/blobs/1fe5/11308419/b1c29743cf3e/fx1.jpg

文献检索

告别复杂PubMed语法,用中文像聊天一样搜索,搜遍4000万医学文献。AI智能推荐,让科研检索更轻松。

立即免费搜索

文件翻译

保留排版,准确专业,支持PDF/Word/PPT等文件格式,支持 12+语言互译。

免费翻译文档

深度研究

AI帮你快速写综述,25分钟生成高质量综述,智能提取关键信息,辅助科研写作。

立即免费体验