Suppr超能文献

评估精油对大学生的抗焦虑和放松效果:脑电图、生理指标及心理反应的对比研究

Assessing the Anxiolytic and Relaxation Effects of Essential Oil in University Students: A Comparative Study of EEG, Physiological Measures, and Psychological Responses.

作者信息

Gong Xiangfei, Yang Yujun, Xu Tong, Yao Dongsheng, Lin Shengyu, Chang Weiyin

机构信息

College of Forestry, Fujian Agriculture and Forestry University, Fuzhou, China.

Laboratory of Virtual Teaching and Research on Forest Therapy Specialty of Taiwan Strait, Fujian Agriculture and Forestry University, Fuzhou, China.

出版信息

Front Psychol. 2024 Jul 26;15:1423870. doi: 10.3389/fpsyg.2024.1423870. eCollection 2024.

Abstract

BACKGROUND

is a commercially important tree species in China, and it's also a common native tree in the forests of southern China. However, literature on the impact of essential oil (CCEO) on human psychophysiological activity is scarce. Hence, the primary objective of this study was to examine the effect of exposure to CCEO on the functioning of the human autonomic nervous system, electroencephalographic (EEG) activity, and emotional state.

METHODS

Forty-three healthy university students participated. The data collected included heart rate (HR), blood pressure (BP), pulse rate, blood oxygen saturation (SpO), electroencephalographic (EEG) activity, and the results of the Profile of Mood States (POMS) test.

RESULTS

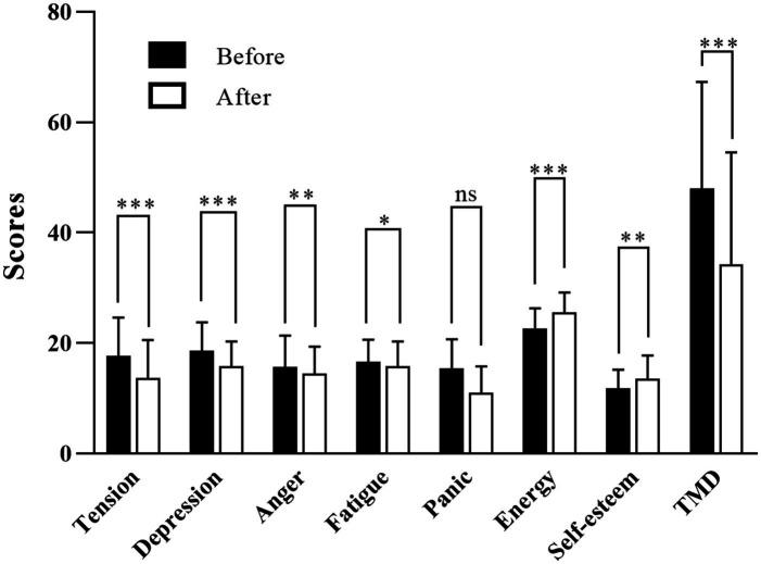
A drop in diastolic pressure (DBP) and pulse rate was also noticed after participants inhaled CCEO. Furthermore, EEG studies have demonstrated notable reductions in absolute beta (AB), absolute gamma (AG), absolute high beta (AHB), and relative gamma (RG) power spectra during exposure to CCEO. Conversely, the relative theta (RT) and power spectra values showed a significant increase. Additionally, the finding from POMS indicated that the fragrance evoked positive emotions and suppressed negative feelings.

CONCLUSION

The results suggest that exposure to CCEO may promote mental and physical relaxation, facilitate cognitive processes such as memory and attention, and enhance mood states.

摘要

背景

在中国是一种具有重要商业价值的树种,也是中国南方森林中常见的本土树种。然而,关于樟树精油(CCEO)对人类心理生理活动影响的文献较少。因此,本研究的主要目的是考察接触CCEO对人类自主神经系统功能、脑电图(EEG)活动和情绪状态的影响。

方法

43名健康大学生参与了研究。收集的数据包括心率(HR)、血压(BP)、脉搏率、血氧饱和度(SpO)、脑电图(EEG)活动以及情绪状态量表(POMS)测试结果。

结果

参与者吸入CCEO后,舒张压(DBP)和脉搏率也有所下降。此外,脑电图研究表明,在接触CCEO期间,绝对β(AB)、绝对γ(AG)、绝对高β(AHB)和相对γ(RG)功率谱显著降低。相反,相对θ(RT)和功率谱值显著增加。此外,POMS的研究结果表明,这种香味能唤起积极情绪并抑制负面情绪。

结论

结果表明,接触CCEO可能促进身心放松,有助于记忆和注意力等认知过程,并改善情绪状态。

https://cdn.ncbi.nlm.nih.gov/pmc/blobs/9c30/11312375/9237b2fb9cf1/fpsyg-15-1423870-g001.jpg

文献检索

告别复杂PubMed语法,用中文像聊天一样搜索,搜遍4000万医学文献。AI智能推荐,让科研检索更轻松。

立即免费搜索

文件翻译

保留排版,准确专业,支持PDF/Word/PPT等文件格式,支持 12+语言互译。

免费翻译文档

深度研究

AI帮你快速写综述,25分钟生成高质量综述,智能提取关键信息,辅助科研写作。

立即免费体验