Suppr超能文献

超声辅助芬顿反应诱导表面重构赋予镍/铁层状双氢氧化物高效的水和有机物电氧化性能。

Ultrasonic-assisted Fenton reaction inducing surface reconstruction endows nickel/iron-layered double hydroxide with efficient water and organics electrooxidation.

作者信息

Sun Shanfu, Wang Tianliang, Liu Ruiqi, Sun Zhenchao, Hao Xidong, Wang Yinglin, Cheng Pengfei, Shi Lei, Zhang Chunfu, Zhou Xin

机构信息

School of Aerospace Science and Technology, Xidian University, Xi'an 710126, PR China.

School of Aerospace Science and Technology, Xidian University, Xi'an 710126, PR China.

出版信息

Ultrason Sonochem. 2024 Oct;109:107027. doi: 10.1016/j.ultsonch.2024.107027. Epub 2024 Aug 12.

Abstract

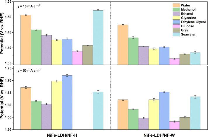
Nickel/iron-layered double hydroxide (NiFe-LDH) tends to undergo an electrochemically induced surface reconstruction during the water oxidation in alkaline, which will consume excess electric energy to overcome the reconstruction thermodynamic barrier. In the present work, a novel ultrasonic wave-assisted Fenton reaction strategy is employed to synthesize the surface reconstructed NiFe-LDH nanosheets cultivated directly on Ni foam (NiFe-LDH/NF-W). Morphological and structural characterizations reveal that the low-spin states of Ni (te) and Fe (te) on the NiFe-LDH surface partially transform into high-spin states of Ni (te) and Fe (te) and formation of the highly active species of NiFeOOH. A lower surface reconstruction thermodynamic barrier advantages the electrochemical process and enables the NiFe-LDH/NF-W electrode to exhibit superior electrocatalytic water oxidation activity, which delivers 10 mA cm merely needing an overpotential of 235 mV. Besides, surface reconstruction endows NiFe-LDH/NF-W with outstanding electrooxidation activities for organic molecules of methanol, ethanol, glycerol, ethylene glycol, glucose, and urea. Ultrasonic-assisted Fenton reaction inducing surface reconstruction strategy will further advance the utilization of NiFe-LDH catalyst in water and organics electrooxidation.

摘要

镍铁层状双氢氧化物(NiFe-LDH)在碱性条件下的水氧化过程中容易发生电化学诱导的表面重构,这将消耗额外的电能来克服重构的热力学势垒。在本工作中,采用一种新型的超声波辅助芬顿反应策略,合成了直接生长在泡沫镍上的表面重构的NiFe-LDH纳米片(NiFe-LDH/NF-W)。形态和结构表征表明,NiFe-LDH表面的低自旋态Ni(te)和Fe(te)部分转变为高自旋态的Ni(te)和Fe(te),并形成了高活性物种NiFeOOH。较低的表面重构热力学势垒有利于电化学过程,使NiFe-LDH/NF-W电极表现出优异的电催化水氧化活性,仅需235 mV的过电位就能提供10 mA cm 的电流密度。此外,表面重构赋予NiFe-LDH/NF-W对甲醇、乙醇、甘油、乙二醇、葡萄糖和尿素等有机分子出色的电氧化活性。超声波辅助芬顿反应诱导表面重构策略将进一步推动NiFe-LDH催化剂在水和有机物电氧化中的应用。

https://cdn.ncbi.nlm.nih.gov/pmc/blobs/ce9f/11382215/b2230a4d50e6/ga1.jpg

文献检索

告别复杂PubMed语法,用中文像聊天一样搜索,搜遍4000万医学文献。AI智能推荐,让科研检索更轻松。

立即免费搜索

文件翻译

保留排版,准确专业,支持PDF/Word/PPT等文件格式,支持 12+语言互译。

免费翻译文档

深度研究

AI帮你快速写综述,25分钟生成高质量综述,智能提取关键信息,辅助科研写作。

立即免费体验