Suppr超能文献

新合成烟酰胺的合成与抗菌活性

Synthesis and Antimicrobial Activity of Newly Synthesized Nicotinamides.

作者信息

Marković Bojana Anić, Marinković Aleksandar, Stanković Jelena Antić, Mijatović Stefan, Cvijetić Ilija, Simić Milena, Arandjelović Irena

机构信息

Faculty of Technology and Metallurgy, University of Belgrade, Karnegijeva 4, 11000 Belgrade, Serbia.

Faculty of Pharmacy, University of Belgrade, Vojvode Stepe 450, 11000 Belgrade, Serbia.

出版信息

Pharmaceutics. 2024 Aug 18;16(8):1084. doi: 10.3390/pharmaceutics16081084.

Abstract

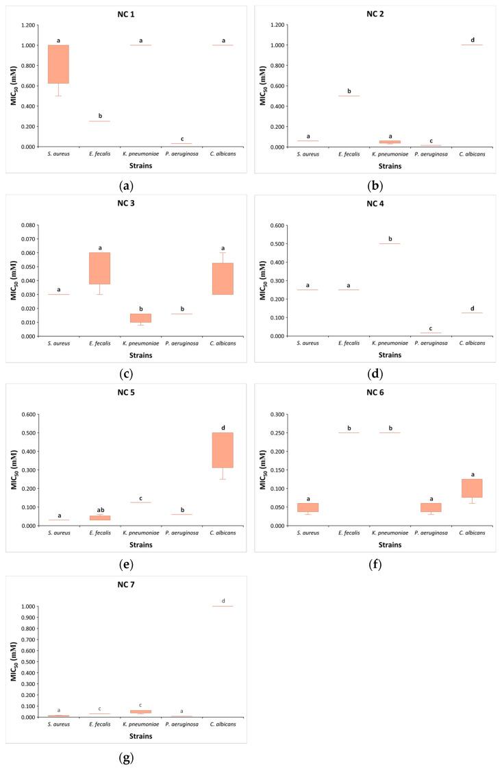
Antioxidants are promising compounds with antimicrobial activity against drug-resistant pathogens, especially when combined with conventional antimicrobials. Our study aimed to characterize the structure of nicotinamides synthesized from nicotinic acid and thiocarbohydrazones and to evaluate their antibacterial and antifungal activity. Seven nicotinic acid hydrazides (NC -) were synthesized using mono-thiocarbohydrazones with hydroxyl group substituents, along with quinolone, phenolic, and pyridine rings known for their antimicrobial activity. The in vitro antimicrobial activity of NC -, at concentrations ranging from 0.001 to 1 mM, was tested against (ATCC 6538), (ATCC 29212), (ATCC 27853), (NCIMB 9111), and (ATCC 24433) using the broth microdilution method per EUCAST 2024 guidelines. Microorganism survival percentages were calculated based on optical density, and target fishing using the PharmMapper database identified potential molecular targets. The results showed that was most susceptible to the compounds, while was the least susceptible. NC significantly inhibited and growth at 0.016 mM, while higher concentrations were required for , , and . NC was most effective against gram-positive bacteria at 0.03 mM. Only NC completely inhibited below 1 mM. NC , with the lowest concentration for 50% growth inhibition (0.016-0.064 mM), showed promising antibacterial potential against specific AMR-related proteins (bleomycin resistance protein, HTH-type transcriptional regulator QacR, and streptogramin A acetyltransferase), suggesting that this class of compounds could enhance or restore the activity of established antibiotics.

摘要

抗氧化剂是一类有前景的化合物,具有针对耐药病原体的抗菌活性,尤其是与传统抗菌药物联合使用时。我们的研究旨在表征由烟酸和硫代碳腙合成的烟酰胺的结构,并评估其抗菌和抗真菌活性。使用带有羟基取代基的单硫代碳腙以及以其抗菌活性而闻名的喹诺酮、酚类和吡啶环,合成了七种烟酸酰肼(NC -)。根据2024年欧洲抗菌药物敏感性试验委员会(EUCAST)指南,采用肉汤微量稀释法,测试了浓度范围为0.001至1 mM的NC - 对金黄色葡萄球菌(ATCC 6538)、大肠埃希菌(ATCC 29212)、肺炎克雷伯菌(ATCC 27853)、粪肠球菌(NCIMB 9111)和白色念珠菌(ATCC 24433)的体外抗菌活性。基于光密度计算微生物存活百分比,并使用PharmMapper数据库进行靶点筛选以确定潜在的分子靶点。结果表明,金黄色葡萄球菌对这些化合物最敏感,而白色念珠菌最不敏感。NC 在0.016 mM时显著抑制大肠埃希菌和肺炎克雷伯菌的生长,而对粪肠球菌、金黄色葡萄球菌和白色念珠菌则需要更高的浓度。NC 在0.03 mM时对革兰氏阳性菌最有效。只有NC 在1 mM以下完全抑制白色念珠菌。NC 的50%生长抑制最低浓度为0.016 - 0.064 mM,显示出对特定的与抗菌药物耐药性(AMR)相关蛋白(博来霉素抗性蛋白、HTH型转录调节因子QacR和链阳菌素A乙酰转移酶)有良好的抗菌潜力,表明这类化合物可以增强或恢复现有抗生素的活性。

https://cdn.ncbi.nlm.nih.gov/pmc/blobs/2291/11359232/ca624e2c6714/pharmaceutics-16-01084-sch001.jpg

文献检索

告别复杂PubMed语法,用中文像聊天一样搜索,搜遍4000万医学文献。AI智能推荐,让科研检索更轻松。

立即免费搜索

文件翻译

保留排版,准确专业,支持PDF/Word/PPT等文件格式,支持 12+语言互译。

免费翻译文档

深度研究

AI帮你快速写综述,25分钟生成高质量综述,智能提取关键信息,辅助科研写作。

立即免费体验