Suppr超能文献

人类逆行性遗忘与记忆巩固。

Human retrograde amnesia and memory consolidation.

作者信息

Ketonis Panayiotis P, McClelland Thomas Q, Parra Dani, Radvansky Gabriel A

机构信息

University of Notre Dame, 366 Corbett Family Hall, Notre Dame, IN, 46556, USA.

出版信息

Psychon Bull Rev. 2025 Feb;32(1):281-293. doi: 10.3758/s13423-024-02567-4. Epub 2024 Sep 4.

Abstract

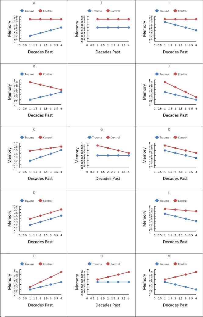
This paper reports a reassessment of published literature on the question of whether retrograde amnesia data from patients with severe trauma supports the idea that there is ongoing consolidation of long-lasting memories. That is, memory consolidation continues for decades with older memories being increasingly consolidated, and, thus, more protected from forgetting. Our analysis was limited to patients with specific traumas rather than neurodegenerative conditions that can be complicated by the additional presence of significant anterograde amnesia. These constraints were used because trauma patients have a definitive start to their amnesia allowing comparison of their memories before this event, unlike when there is an undefined amnesia onset. Our results revealed that the standard account of retrograde amnesia only fits part of the data, with more than half not conforming to this account. Specifically, damage to different brain areas was associated with different patterns of retrograde amnesia. Those cases where the standard retrograde amnesia account was held tended to involve damage to the hippocampus and temporal lobes, as expected. Future directions to better understand the influence of retrograde amnesia and memory consolidation are suggested.

摘要

本文报告了对已发表文献的重新评估,该文献探讨了重度创伤患者的逆行性遗忘数据是否支持长期记忆持续巩固这一观点。也就是说,记忆巩固会持续数十年,随着时间推移,旧记忆会得到越来越多的巩固,因此也更不容易被遗忘。我们的分析仅限于患有特定创伤的患者,而非那些可能因显著顺行性遗忘的额外存在而变得复杂的神经退行性疾病患者。采用这些限制条件是因为创伤患者的遗忘有明确的起始点,这使得我们能够比较他们在该事件之前的记忆,这与遗忘起始点不明确的情况不同。我们的结果显示,逆行性遗忘的标准解释仅适用于部分数据,超过一半的数据并不符合这一解释。具体而言,不同脑区的损伤与不同模式的逆行性遗忘相关。正如预期的那样,那些符合标准逆行性遗忘解释的病例往往涉及海马体和颞叶的损伤。本文还提出了未来更好地理解逆行性遗忘和记忆巩固影响的方向。

https://cdn.ncbi.nlm.nih.gov/pmc/blobs/27b4/11835974/729bcfc24668/13423_2024_2567_Fig1_HTML.jpg

文献检索

告别复杂PubMed语法,用中文像聊天一样搜索,搜遍4000万医学文献。AI智能推荐,让科研检索更轻松。

立即免费搜索

文件翻译

保留排版,准确专业,支持PDF/Word/PPT等文件格式,支持 12+语言互译。

免费翻译文档

深度研究

AI帮你快速写综述,25分钟生成高质量综述,智能提取关键信息,辅助科研写作。

立即免费体验